해당 차시 학습지 파일
학습 목표
- 보어의 수소 원자 모형과 현대적 원자 모형의 차이를 설명할 수 있다.
- 전자의 위치와 운동량을 동시에 정확하게 측정할 수 없다는 불확정성 원리를 이해한다.
- 불확정성 원리를 바탕으로 고전적 수소 원자 모형의 한계를 설명할 수 있다.
끊임없이 타인에게 나를 증명하는 것으로 내 존재가 확인된다면 나는 이미 타인의 식민지다.
우리는 자존을 밖에서 찾고 누군가에게 요청하기도 합니다. 하지만 자존은 속으로부터 쌓아나가는 것임을, 우리는 사실 알고 있어요. 사실 자존은 세상에 내보일 필요가 없습니다. 이상순이 의자를 만들며 의자 바닥 부분을 공들여 마무리하는 걸 보고 이효리는 "보이지도 않고 아무도 모르는 부분을 뭘 그렇게 공들여"라고 핀잔했는데 뒤이은 이상순의 대답이 참 멋있었습니다.
"내가 알잖아."
자존은 이런 거예요. 자존에 타인은 필요 없습니다. 내가 아는 나만의 완성도를 쌓아나가는 행위. 그 자존을 채우는 방법, 오늘 공부할 물리학이 가르쳐 줍니다.
물리학의 흐름

자연은 뉴턴의 운동 방정식으로 설명이 잘 되는 듯했으나 자세히 보면 그렇지 않음이 차차 드러나게 됩니다. 지극히 작은 세상에서는 뉴턴의 결정론적 관점이 비집고 들어갈 틈이 없었어요. 그러한 미시 세계의 작동 원리를 설명하기 위한 양자 역학의 마지막 퍼즐 조각인 불확정성 원리에 대해 공부하는 시간입니다.
1. '톰슨 - 러더퍼드 - 보어'까지의 원자 모형 변천사
1) 아인슈타인이 입증한 돌턴의 원자론
날씨에 대한 돌턴의 관심이 원자론의 근원이었습니다. 특히 '비'에 유별난 관심을 보였죠. 영국 북서부는 다른 지역보다 습해요. 돌턴은 이슬비가 내리는 호수로 종종 산책하러 나갔는데, 습도가 얼마나 높았는지 이런 의문을 떠올리곤 했습니다. "이 축축한 공기 속에 습기가 더 흡수될 여지가 남아 있을까?" 돌턴을 원자론으로 이끈 것은 바로 이 질문이었어요. 그러나 19세기 초에는 돌턴을 포함해서 원자를 본 사람이 아무도 없었습니다. 원자를 보여주는 초강력 현미경은 그로부터 거의 200년이 지난 21세기에 발명되었거든요.
원자의 존재를 입증한 브라운 운동
돌턴의 아이디어는 시대를 너무 앞서갔기 때문에 정당한 대접을 받지 못했습니다. 그 후로 원자론은 거의 100년 동안 묻혀 오다가 아인슈타인에 의해 마침내 정설로 자리 잡게 돼요.

물리학의 한쪽 진영에서는 모든 물질이 원자로 이루어져 있다고 주장하고, 반대 진영에서는 원자란 상상의 산물일 뿐이며 실제로 모든 물질은 최소 단위 없이 연속적인 구성이라고 주장했습니다. 그러나 아인슈타인은 물 위에서의 꽃가루 움직임을 통해 후자의 주장을 반박했어요. 만약 물이 연속적인 물질이라면, 꽃가루에 작용하는 힘은 사방에서 똑같이 상쇄되어 꽃가루는 가만히 있어야 합니다. 하지만 실제로 꽃가루는 끊임없이 불규칙하게 흔들립니다. 이는 물질이 연속체가 아니라 작은 입자들로 나뉘어 있다는 사실, 즉 불연속적인 구조로 이루어져 있음을 보여줍니다. 아인슈타인은 이를 토대로 원자의 존재를 입증합니다.
2) 원자를 쪼개다, 전자를 발견한 톰슨

음극선에 매료된 톰슨은 그 정체를 밝히기로 마음먹었습니다. 당시 과학계에서는 음극선의 정체를 놓고 두 가지 주장이 대립하고 있었는데, 한쪽 진영은 음극선이 라디오파나 빛, 또는 X선 같은 전자기파의 일종이라고 주장했고, 다른 진영은 이온처럼 음전하를 띤 입자의 흐름이라고 주장했어요. 이에 톰슨은 자기장을 이용해 음극선의 질량을 측정함으로써 음극선이 '원자보다 훨씬 작으면서 음전하를 띠는 입자'임을 주장합니다. 톰슨은 '더 이상 쪼갤 수 없는 원자'보다 더 근본적인 무언가를 엿보게 된 거예요.

톰슨의 주장에 따르면 원자 내부에 양전하가 균일하게 분포되어 있고, 그 속에 전자가 건포도처럼 박혀있습니다.
3) 원자를 쪼개다2, 원자핵을 발견한 러더퍼드

러더퍼드는 자신의 스승 톰슨의 원자모형에 근거하여 실험을 합니다. 금박에 알파 입자(=헬륨 원자핵)를 쏘면서 금의 원자 구조를 규명하려고 했죠. 예상했던 대로 대부분의 알파 입자들은 마치 빈 공간을 지나가듯 금박을 그대로 통과했죠. 그러나 몇 개의 알파 입자들은 아주 큰 각도로 산란될 뿐만 아니라 심지어 어떤 것은 아예 반대 방향으로 반사되기도 했습니다. 알파 입자의 속력은 2천 만 m/s에 육박했고, 알파 입자는 전자 질량의 약 8,000배에 달할 정도로 무거운데도 불구하고요. 러더퍼드는 이 실험에 충격을 받은 후로는 한동안 출근도 하지 않고 자택에 두문불출하면서 실험결과를 수없이 되새겨 보았습니다.


러더퍼드는 산란각 데이터를 통해 알파 입자가 큰 각도로 산란되기 위해서는 강력한 전기력이 알파 입자에 작용해야 한다는 사실을 알게 됩니다. 이에 러더퍼드는 원자의 양전하가 원자의 가운데에 집중돼야 한다고 봤고, 이를 원자핵이라 정의했죠. 그리고 원자핵 주위를 전자가 공전하는 궤도 모형으로 원자의 구조를 설명합니다. 그에 따르면 원자는 건포도가 박힌 파운드 케익이 아니라, 작은 태양계와 비슷합니다. '지구의 공전'이 '태양-지구 간 만유인력에 기인하듯' 전자의 공전은 전자-원자핵 간 전기력에서 비롯된다는 식입니다.
러더퍼드 원자 모형의 한계

그러나 다음 문제점들에 봉착하게 됩니다. 러더퍼드 원자모형에 따르면 전자는 가속 운동을 합니다. 원운동은 방향이 계속 바뀌기 때문에 속도가 변하는, 가속도 운동이죠? 전자기학에 따르면 가속 운동하는 전하는 전자기파를 방출해요. 전자기파의 방출은 에너지의 손실을 의미합니다. 결국 원운동을 하며 에너지를 잃어가는 전자는 원자핵과 만나게 되는데, 이는 원자의 붕괴를 의미합니다. 그러나 실제로 원자는 굉장히 안정적입니다.
게다가 전하가 가속 운동을 한다면 전자기파가 연속적으로 방출되기 때문에 원자 내에서 방출 및 흡수되는 빛의 분포가 연속적(=연속 스펙트럼)이어야 합니다. 그러나 실제로 관측되는 빛의 분포는 불연속적(=불연속 선 스펙트럼)이에요. 러더퍼드의 원자 모형으로는 이러한 두 가지 문제점이 설명되지 않기에 새로운 원자 모형이 필요해졌습니다.

아인슈타인이 특수상대성이론을 만든 이후로부터 10년 간의 노력을 거쳐 일반상대성이론으로 확장하는 동안, 속된 말로 아인슈타인이 시공간에 정신이 팔려있었던 덕분에 유럽의 젊은 과학자들은 빛과 원자의 상호작용 문제를 차분히 들여다볼 기회를 누릴 수 있었다는 생각도 듭니다. 아인슈타인이 그 유명한 우주방정식을 발표한 1913년, 덴마크의 젊은 이론가 닐스 보어는 원자-빛 상호작용에 관한 혁신적인 모델을 세상에 발표합니다.
2. 보어의 원자 모형
보어는 꿈에서 본 태양계의 모습을 참조하여 원자 구조 이론을 완성했다고 합니다. 태양계의 지구, 화성, 목성 등 각 행성들이 정해진 궤도에서만 공전하듯이 원자 내의 전자도 정해진 궤도에서만 공전을 하고, 행성들이 각 궤도에서 안정적인 원운동을 하듯이 전자도 해당 궤도에서 에너지를 잃지 않고 안정적인 궤도 운동을 한다는 통찰을 꿈에서 얻은 거죠.
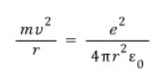
1) 원자의 안정성

전자와 원자핵과의 전기적인 인력이 구심력으로 작용하여 전자는 원자핵 주위를 원운동 합니다. 전자의 전하량과 질량이 각각 e, m이고 핵을 중심으로 r만큼 떨어져 v의 속력으로 회전하고 있다면 밑의 식을 만족해요.

여기서부터 중요합니다. 보어만의 통찰이 개입된 가정이기 때문이죠. 여기서부터 가장 기본적인 수소 원자에 한해서 설명을 할게요.
보어의 가정

보어는 빛에 적용했던, 그래서 어마어마한 성공을 거두었던 양자화 가설을 이번엔 전자의 원운동에 적용해 보기로 마음먹습니다. 보어가 과감하게 도입한 각운동량의 양자화 가설에 따르면 전자는 원형 철로를 달리는 기차처럼 자신에게 할당된 궤도만을 돌 수 있고, 그 궤도 운동에서 기인한 각운동량은 플랑크 상수의 특별한 배수를 갖습니다. 더 나아가 이 궤도에서 원운동 하는 전자는 전자기파의 방출 없이 항상 안정됨을 가정했고요.
① 전자의 궤도 정량적 정의

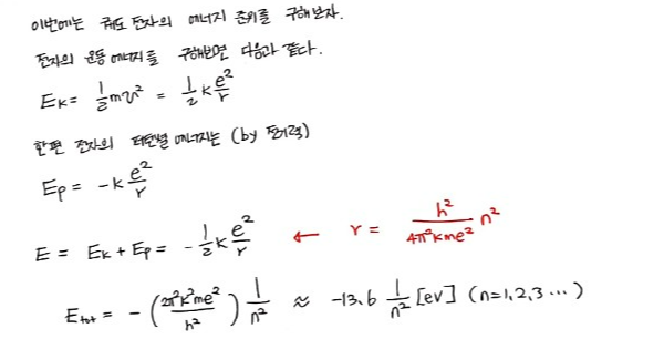
② 전자의 궤도 에너지 준위 정량적 정의

전기 퍼텐셜 에너지의 기준점은 원자핵 중심으로부터 무한대인 곳이기 때문에 궤도 전자의 총에너지는 음의 값을 가집니다. 에너지가 음의 값이라는 건 전자가 원자핵에 속박돼 있다는 걸 의미해요. 식에 따르면 바닥상태, n=1의 전자를 수소 원자로부터 탈출시키기 위해서(=이온화시키기 위해서) 13.6eV만큼의 에너지가 필요합니다. 이는 실제 수소 원자의 이온화 에너지와 완벽히 일치합니다. 꿈에서 얻은 통찰로 시작된 원자 모형으로 유도되는 결괏값이 실재와 완전히 똑같다는 면에서 정말 dreams come true!
2) 원자의 선 스펙트럼 설명, 전자의 궤도 전이

정상 궤도는 그림처럼 띄엄띄엄 존재하는데, '궤도 자체가 불연속적'이다 보니 '전자의 에너지값도 덩달아 불연속적'이에요. 이처럼 원자 내의 전자는 궤도에 따라 특정한 에너지를 갖게 되는데, 이를 에너지 양자화라고 합니다. 전자는 한 궤도에서 다른 궤도로 전이할 수 있으며 이때 두 궤도에서의 총 에너지 차이만큼의 에너지를 갖는 광자를 방출하거나 흡수합니다.

△E = En - Em = hf (f: 방출되거나 흡수된 광자의 진동수)
궤도가 불연속적이고, 에너지도 불연속적이다 보니 에너지를 머금은 빛 역시 불연속적입니다. 그렇기에 원자 내에서 방출 또는 흡수되는 빛의 분포 또한 불연속적입니다.

물질파로 설명하는 보어의 가정
보어가 각운동량 양자화 조건을 제시하고 약 10년이 지나, 드브로이는 물질파 개념을 활용하여 밑도 끝도 없던 보어의 가정을 그럴듯한 이론으로 변모시킵니다. 관악기에서 특정 파장만이 공명할 수 있듯이, 전자의 파동 역시 원자핵 주변 궤도를 따라 정상파 조건이 맞을 때만 존재할 수 있다고 본 거예요. 이렇게 해서 드브로이는 보어가 제안했던 안정 궤도의 물리적 이유를 설명합니다.


https://javalab.org/ko/matter_wave/
물질파와 드브로이의 원자 모형 - 자바실험실
원자 모형 원자는 어떤 모양을 하고 있을까요? 너무 작아서 볼 수 없는 원자가 눈에 보인다면 어떤 모양을 하고 있을지 나타낸 것을 원자 모형이라고 합니다. 원자 모형은 아래와 같이 변천되어
javalab.org
3. 현대의 원자 모형과 불확정성 원리
1) 전자 구름 모형
'전자가 원자핵 주위를 궤도를 그리며 돈다.'는 말은 이미지를 떠올리기에는 편리하지만, 정확한 표현은 아닙니다. 왜냐하면 원자 속 전자들의 운동은 역학의 일반적인 법칙을 따르지 않고, 양자 역학의 규칙을 따르기 때문이에요. 양자 역학의 규칙은 파동의 확률적인 성질에 기반을 둡니다. 그렇다 보니 원자 속 전자의 운동은 파동의 확률적 분포로 추상화됩니다.


잉크 한 방울이 투명한 물로 가득 찬 유리잔 속에서 확산되어 마침내 유리잔 전체를 채우는 과정을 상상해 봅시다. 잉크 방울은 어디 있을까요? 누군가 이런 질문을 한다면 대답은 분명해요. 잉크 방울은 유리잔 전체에 퍼져 있습니다. 이와 비슷하게 전자들은 원자핵 주변에 존재 확률의 지도를 그리며 분포하는 오비탈 형태로 퍼져 있습니다.

2) 하이젠베르크의 불확정성 원리
이처럼 전자는 잉크처럼 퍼져 있는 파동적 성질을 지니고 있기에 전자의 위치를 콕 집어 말할 수 없습니다. 하이젠베르크는 기술이 아무리 발달한다고 해도 미시 입자의 위치와 운동량을 동시에 정확하게 측정하는 것은 불가능하다고 하였습니다. 이것을 '불확정성 원리'라고 해요. 위치와 운동량의 부정확성을 각각 △x, △p라고 하면 불확정성 원리는 다음의 식으로 표현됩니다.


① 불확정성 원리의 예시

위 그림을 보고 "파동은 정확하게 어디에 있는가?"라고 묻는 것은 어리석어요. 파동이란 시공간에 쭉 퍼져 있는 형태이기 때문입니다. 반면 파동의 파장을 묻는다면 "2m 정도 되지 않겠나"라는 적절한 답을 줄 수 있습니다.

즉, 파장이 명확한 경우, 드브로이 관계식에 의해 운동량 또한 명확하므로 운동량 부정확도 △p는 0이 됩니다. 반면에 파동의 위치가 부정확하기 때문에 위치 부정확도 △x는 ∞이 됩니다.

하지만 펄스의 경우, 위치가 명확한 값으로 측정되어 위치 부정확도 △x가 0이 되지만, 펄스는 주기적이지 않기에 파장이 정의되지 않아 드브로이 관계식에 따라 운동량 또한 명확한 값으로 정의되지 않습니다. 따라서 이 경우에는 운동량 부정확도 △p가 ∞이 됩니다.
② 불확정성 원리의 예시

파장이 짧은 빛일수록 분해능이 우수하기 때문에 입자의 위치가 정확히 판별 (△x=0) 됩니다. 그러나 빛의 파장이 짧을수록 광자의 운동량이 크기 때문에 광자와 충돌하게 되는 입자의 운동량 부정확도 또한 커져요. (△p=∞) 이와 반대로 운동량을 정확히 측정하기 위해 파장이 긴 빛을 입사하면 (△p=0), 분해능이 저하되어 입자의 위치가 정확히 판별되지 않습니다. (△x=∞)
③ 불확정성 원리의 예시
그림은 운동량의 크기가 p인 전자가 폭이 △y인 단일 슬릿에 입사하는 것을 나타낸 것입니다. △py는 슬릿을 통과하는 전자의 y축 방향 운동량 부정확도예요. 전자는 파동적인 성질을 가지므로 단일 슬릿을 통과하면 스크린에 회절 무늬를 남깁니다.


분해능 식에 따르면 D(=△y) 정도 이내의 거리는 구별하지 못합니다.


각 원자마다 원자핵의 전하량이 다르고, 그에 따라 전자의 수도 제각각입니다. 그러다 보니 정상 궤도들의 상태도 원자마다 천차만별이죠. 따라서 원자마다 고유한 정상 궤도들을 가지게 되며 그에 따라 전자 궤도 전이 시 방출되는 빛이 해당 원자의 정체성을 시각적으로 드러내는 속성이 될 수 있습니다. 다시 말해 원자는 빛을 방출함으로써 자신의 정체성을 드러내요.

하얀 바탕에 세로로 그어진 다양한 검은 줄로 이루어진 바코드. 바코드엔 해당 상품의 정보가 입력되어 있어요. 이 정보는 빛을 비춤으로써 드러나게 되죠. 얼핏 보면 원자의 선 스펙트럼과 비슷해 보입니다. 스스로 빛을 밝힘으로써 자신을 드러내는 원자와 달리, 바코드는 누군가가 비추는 빛, 타인에 의해 자신이 정의됩니다.
똑같은 세로줄이지만 색이 없는 바코드 선과 색이 있는 스펙트럼 선. 이처럼 타인에 귀속되느냐, 주체적이냐의 차이로 인해 색의 유무가 결정되는 거 같아요.
바코드 - 하온&빈첸
https://www.youtube.com/watch?v=YLAKEOW8HB8
삶이란 흐르는 오케스트라 우리는 마에스트로
다양한 악기들의 협주 속, 그 관계의 균형을 조율하여 오케스트라를 지휘하는 마에스트로처럼 내 삶을 조율하는 주체는 타인이 아닌 나 자신이어야 합니다. 어느 누구도 아닌 나 자신이 내 삶의 마에스트로가 되어야 나만의 고유한 빛깔이 삶 속에 묻어 나오는 법입니다.
별들은 서로가 빛나는 것을 알지만, 서로를 부러워하지는 않습니다. 우리 또한 별처럼 각자 조금씩 다르게 빛나는 존재. 즉, 나는 나대로 찬란한 빛을 가진 사람입니다. 그러니 타인의 눈길에 기대어 흔들릴 이유도 없고, 누군가의 방식에 나를 끼워 맞출 필요도 없습니다. 중요한 것은 내가 알고 있는 나, 내가 스스로 세워가는 내 삶의 완성도입니다. 그것이 바로 주체적으로 살아간다는 뜻이고, 나를 타인의 식민지가 아닌 온전한 ‘나’로 존재하게 만드는 힘입니다. 하온과 빈첸의 바코드를 들으며, 오늘도 물리를 통해 인생을 배웁니다.
'물리학II 클립' 카테고리의 다른 글
| 입자의 파동적인 성질, 물질파 (5) | 2022.09.26 |
|---|---|
| 양자 역학 탄생의 신호탄, 광전 효과 (0) | 2022.09.22 |
| 볼록 렌즈에 의한 상의 형성 (0) | 2022.09.20 |
| 도플러 효과 (2) | 2022.09.14 |
| 파동의 회절 (4) | 2022.08.25 |