해당 차시 학습지 파일
학습 목표
- 볼록 렌즈에서 상이 맺히는 과정을 도식을 이용하여 설명할 수 있다.
- 초점과 상의 관계를 정량적으로 구할 수 있다.
세상에는 우리가 듣지 못하는 것들이 많습니다. 우리가 보지 못하는 것들도 많고요. 그러나 공기는 온갖 정보를 머금고 있습니다. 우리는 그저 그것을 듣고 볼 수 있는 올바른 길을 찾으면 그만입니다. 렌즈를 통과하며 공기를 가르는 빛의 길을 추적하는 뉴턴의 기하광학의 원리와 함께 그와 같은 결을 공유하는 삶의 철학을 배우는 시간입니다.
물리학 I과 물리학 II의 연결고리

마트 상품의 고유 정보가 바코드에 입력돼 있듯이 바코드처럼 생긴 불연속 스펙트럼에 입력돼 있는 별들의 고유 정보는 분광기를 통해 리딩됨으로써, 우리는 직접 가지 않고도 별들의 구성 성분을 파악할 수 있게 됐습니다. 도플러 효과는 이러한 별들의 바코드에 별 자체의 정보뿐만이 아니라 우주가 끊임없이 팽창한다는 정보까지 담고 있음을 알게 해 주었고요. 이를 통해 인류는 태초의 우주, 빅뱅을 논할 수 있게 되었습니다.
이 모든 우주적 스케일에 대한 탐구는 밤하늘을 떠도는 천체들의 동역학적인 행태에 대한 선현들의 호기심에서 기인한 것이라 말해도 과언이 아니에요. 그러한 호기심의 갈증을 해소시켜 준 것은 빛의 파동적 성질인 굴절을 활용한 망원경이었습니다.
1. 볼록 렌즈의 광선 추적에 의한 상
1) 초점
렌즈에 입사하는 광선이 굴절하여 렌즈의 맞은편에 위치한 한 점으로 모이게 되는데 이 점을 초점이라 합니다. 볼록 렌즈에 평행하게 입사한 빛은 초점을 향해 모입니다.

2) 작도 규칙
- 평행하게 입사한 광선은 렌즈를 지나 초점을 향해 나아간다.
- 초점을 지나는 광선은 렌즈를 지나 축과 평행하게 나아간다.
- 렌즈의 중심을 지나는 광선은 쭉 직진한다.
① 초점 바깥쪽의 물체

② 초점 위에 있는 물체

③ 초점 안쪽의 물체

이 경우에는 렌즈를 지나는 각 광선들이 서로 만나지 않고 발산합니다. 따라서 상이 맺어질 수 없는 구조예요. 그러나 분명히 물체의 상은 인식되거든요. 이때 인식되는 상은 굴절 광선이 지나가는 방향의 맞은편으로 연장한 점선들이 수렴하는 위치에 맺어집니다.
연장선을 점선으로 그린 이유는 점선은 빛이 실제로 지나는 선이 아니기 때문에 실선과 구별하기 위함입니다. 이때 연장선이 만나 맺어진 상을 허상이라고 합니다. 반대로 빛이 실제로 지나는 실선이 만나 맺어진 상을 실상이라고 합니다.
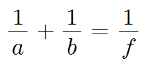
2. 렌즈 공식


a = 렌즈 중심에서 물체까지의 거리, b = 렌즈 중심에서 상까지의 거리, f = 렌츠 초점 거리
b가 양수 값이 나오면 물체의 상은 실상이고, 음수 값이 나오면 물체의 상은 허상입니다.
배율

h = 물체의 수직 높이, h' = 상의 수직 높이
배율이 +이면 정립상(=똑바로 서 있는 상), -이면 도립상(=거꾸로 서 있는 상)입니다.
렌즈에 의한 상에는 두 가지, 실상과 허상이 있습니다. 실상은 실제로 지나는 빛이 만들어 내는 상으로, 눈으로 확인할 수 있는 구체적 결과이자 사실입니다. 우리의 삶 속에서 실상이란 노력 끝에 얻은 성취, 직접 경험한 사건들이에요. 그것은 분명히 존재하며 우리를 단단히 지탱해 줍니다. 반면에 허상은 실제로 지나는 빛이 아닌 연장된 빛이 빚어내는 가짜지만, 우리는 분명 그것을 인식해요. 허상은 삶에서 꿈, 기대, 믿음과 같은 것들에 가깝습니다. 손으로 잡을 수는 없지만, 우리를 움직이게 하고 미래를 그리게 하며 희망을 키워줍니다. 비록 실재하지 않더라도, 허상은 삶에 분명한 의미와 힘을 더합니다.
이처럼 삶은 실상과 허상 어느 하나만으로는 완성되지 않습니다. 실상과 허상 모두가 인식되듯, 우리의 인생 또한 현실과 꿈, 경험과 믿음이 함께 어우러질 때 더욱 풍요로워집니다. 그러므로 우리는 실상과 허상 모두를 존중하며, 그 속에서 자신만의 길을 찾아 나아가야 합니다.
COLOR - NCT WISH
https://www.youtube.com/watch?v=jOidQwlKzwg&list=RDjOidQwlKzwg&start_radio=1
투명한 빛 위로 무지개가 뜨면, 천 개의 색깔을 외칠래
투명한 빛이 빚어낸 일곱 색깔의 향연을 우리는 무지개라고 부릅니다. 하지만 무지개는 단지 일곱 빛깔로만 이루어져 있지 않아요. 그 사이사이에는 수많은 색들이 숨어 있고, 우리의 상상과 해석에 따라 무한히 확장될 수 있습니다. 허상은 바로 그 빈틈을 채워 주는 힘입니다. 실재하는 일곱 색만 바라보는 데서 멈추지 않고, 사이사이 빈틈의 색까지 볼 수 있는 눈과 마음을 가진 사람만이 천 개의 색깔을 외칠 수 있어요. 그런 이가 나만의 무늬와 빛깔로 자신의 길을 색칠해가는 사람이 됩니다. NCT WISH의 COLOR를 들으며, 오늘도 물리를 통해 인생을 배웁니다.
'물리학II 클립' 카테고리의 다른 글
| 입자의 파동적인 성질, 물질파 (5) | 2022.09.26 |
|---|---|
| 양자 역학 탄생의 신호탄, 광전 효과 (0) | 2022.09.22 |
| 도플러 효과 (2) | 2022.09.14 |
| 파동의 회절 (4) | 2022.08.25 |
| 영의 이중슬릿 실험으로 알아보는 빛의 간섭 (0) | 2022.08.22 |