학습 목표
- 비오 사바르 법칙을 이용하여 전류에 의한 자기장을 예측할 수 있다.
- 암페어의 법칙을 이용하여 직선 전류에 의한 자기장을 구할 수 있다.
물리학 전개도

전기장의 원인은 전하이고, 자기장의 원인은 전류입니다. '비오 사바르 법칙'은 쿨롱 법칙의 자기장 버전, '암페어 법칙'은 가우스 법칙의 자기장 버전이라고 생각하시면 됩니다.
1. 비오 사바르 법칙
비오 사바르 법칙은 미소 전류(=작게 쪼갠 전류 조각)가 임의의 위치에 만드는 자기장의 방향과 크기를 다음과 같이 표현합니다.

전기장의 세기가 거리의 제곱에 반비례하는 것처럼 자기장 역시 그 세기가 거리의 제곱에 반비례합니다. 그런 측면에서 비오 사바르 법칙은 쿨롱 법칙과 유사합니다만 차이점 또한 있습니다.


그림은 도선의 미소 길이 ds에 흐르는 전류 I (=미소 전류 조각)가 P와 P' 지점에 만드는 자기장 dB를 나타낸 것입니다.

미소 전류 조각 'Ids'이 P 지점에 만드는 자기장은 오른손 법칙에 의해 지면 앞으로 나오는 방향을 향하며, P' 지점에 만드는 자기장은 지면 뒤로 들어가는 방향을 향합니다.

2. 비오 사바르 법칙의 적용
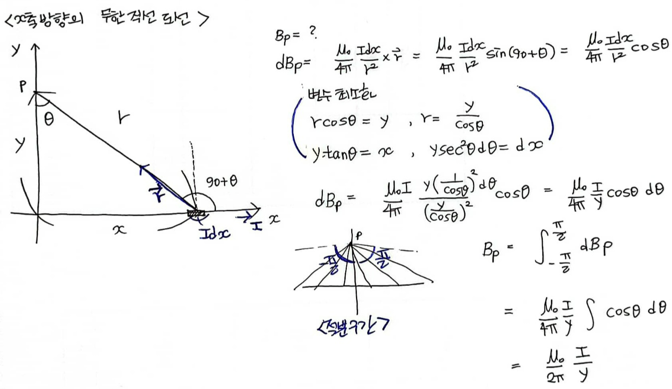
1) 직선 전류에 의한 자기장

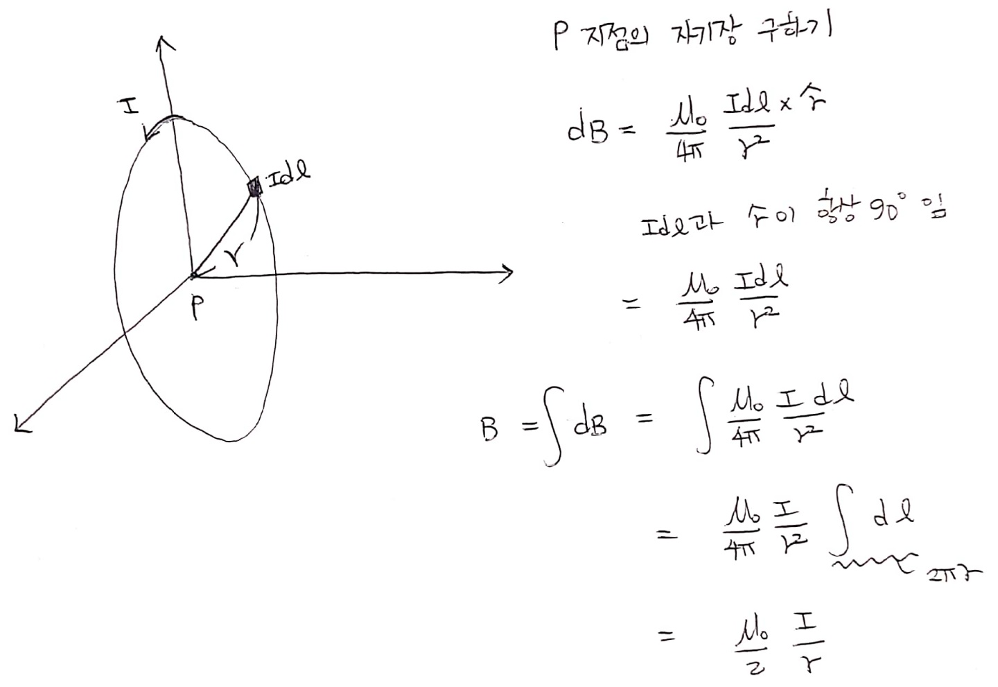
2) 원형 전류가 중심에 만드는 자기장

3. 암페어 법칙

임의의 닫힌 고리(=암페어 고리)를 설정한 후, 고리 경로를 따라 자기장을 적분한 값 (∮B·dl)은 고리에 의해 만들어지는 면을 통과하는 알짜 전류에 의해 결정됩니다. μ₀는 상수로써 진공에서의 투자율입니다.
4. 암페어 법칙의 적용
1) 무한 직선 전류에 의한 자기장

앞서 비오 사바르 법칙으로 구한 것과 같은 결과입니다. 복잡한 적분을 하지 않고도 똑같은 답을 구해내는 암페어 법칙의 간결하고 깔끔함. 암페어 법칙은 사랑입니다.
2) 원통형 전류에 의한 자기장

3) 솔레노이드 내부의 자기장
길이가 무한히 길고, 전선의 간격이 좁은 이상적인 솔레노이드의 경우를 가정할게요. 이 경우에는 솔레노이드 내부의 자기장은 완전히 균일하며, 외부 자기장은 0입니다. 아래 그림과 같이 솔레노이드에 직사각형 암페어 고리를 설정합시다.


4) 토로이드 내부의 자기장
토로이드는 원형의 솔레노이드입니다. 그림처럼 토로이드와 같은 중심을 갖는 반지름 r인 원을 암페어 고리로 설정할게요. 토로이드의 총 감은 횟수를 N이라 할 때 r인 지점의 자기장 세기를 암페어 법칙으로 구해봅시다.

연애소설 - 에픽하이
https://www.youtube.com/watch?v=BrFBdIkK99Y

우리 한때 자석 같았다는 건
한쪽만 등을 돌리면 멀어진다는 거였네.



전기장과 자기장, 서로가 서로의 다른 모습을 90º 인 곳에 남겨두었듯이 우리는 상대방을 바라보는 각도를 조금만 바꿔볼 줄 아는 여유가 필요합니다. 누구나 후져요. 상대방의 후짐에 실망하여 180 º 배척하는 것보다는 90 º 의 여지를 남겨두고, 상대에게 보지 못했던 다른 면을 살필 줄 아는 시크한 사람이 되어 보아요.
'2024 고급물리학' 카테고리의 다른 글
| [고급물리학] 자체 유도와 상호 유도 (2) | 2024.05.09 |
|---|---|
| [고급물리학] 전자기 유도와 유도 기전력 (0) | 2024.05.08 |
| [고급물리학] 키르히호프의 법칙 (2) | 2024.04.22 |
| [고급물리학] 축전기 (3) | 2024.04.16 |
| [고급물리학] 전기장과 가우스 법칙 (1) | 2024.04.15 |