2021.05.17 - [2024 고급물리학] - [고급물리학] 전자기 유도와 유도 기전력
[고급물리학] 전자기 유도와 유도 기전력
2021.05.06 - [2024 고급물리학] - [고급물리학] 자기장에 관한 법칙 {비오 사바르 법칙, 암페어 법칙} [고급물리학] 자기장에 관한 법칙 {비오 사바르 법칙, 암페어 법칙}학습 목표비오 사바르 법칙을
gooseskin.tistory.com
학습 목표
자체 유도 기전력을 설명하고, 이와 관련된 회로도를 분석할 수 있다.
판서 조직도

1. 자체 유도
1) 자체 인덕턴스

위 회로에 전류가 흐르면 회로의 코일을 통과하는 자기 선속이 생깁니다. 이때 전류가 변하면 자기 선속도 변하게 되고, 변화하는 자기 선속은 회로에 유도 기전력을 생성합니다. 이 현상을 '자체 유도'라고 해요.


전류 변화에 대한 자체 유도 효과의 크기를 나타내는 물리량으로 자체 유도 계수 또는 자체 인덕턴스라 불리는 비례 상수 L을 사용합니다.
솔레노이드의 자체 인덕턴스



이처럼 자체 인덕턴스는 감은 횟수, 길이, 면적과 같은 코일의 물리적 형태에만 의존합니다.
2) LR 회로
① 스위치를 닫는 경우

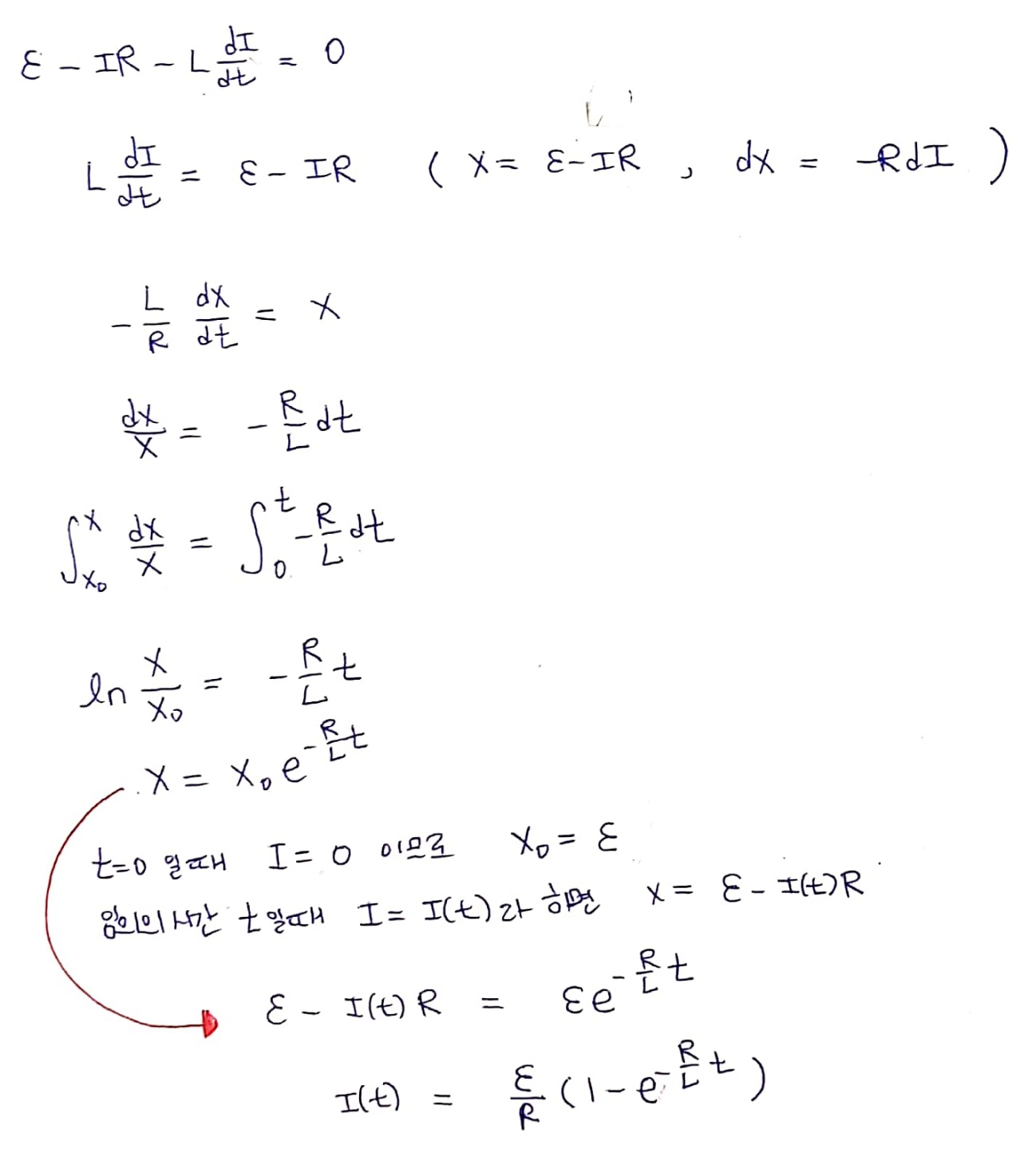
그림과 같이 전지, 스위치, 저항, 코일이 직렬로 연결된 회로를 'LR 직렬 회로'라고 합니다. 스위치를 닫으면 전지의 기전력에 의해 전류가 흐르기 시작하면서 코일에 자체 유도에 의한 유도 기전력이 발생합니다. 이에 전류의 증가는 방해를 받아요. 코일 없이 전지(V)와 저항(R)만을 연결한 일반적인 회로에서는 스위치를 닫는 순간 V/R만큼의 전류가 흐르지만, 코일이 연결된 경우에는 전류가 0에서 V/R 까지 천천히 증가합니다. 전류의 변화를 키르히호프 법칙을 적용하여 정량적으로 살펴봅시다.

이 식을 그래프로 표현하면 다음과 같습니다.

이처럼 LR 직렬 회로에서는 스위치를 닫고 전류가 최댓값으로 가기까지 어느 정도의 딜레이가 있습니다. 오랜 시간이 지나 코일에 전류 변화가 없어지면 더 이상 자체 유도 효과가 생기지 않아요. 이 말은 곧 회로에 전지와 저항만 연결된 것과 같다는 뜻입니다. 이때부터는 코일이 그저 도선에 지나지 않게 돼요.
② 스위치를 여는 경우
이제 반대의 경우, 닫혀 있던 스위치를 열었을 때 전류의 변화를 시간에 대한 함수로 표현해 봅시다.


전류 I가 흐르는데, 갑자기 도선이 끊겨 전류가 '순간적으로' 0이 되면 I는 작을지라도 dI/dt가 매우 크기 때문에 강한 역기전력이 생겨납니다. 따라서 콘센트에서 전기 플러그를 빼는 순간 스파크가 튀는 거예요.
2. 상호 유도

한 코일에서의 전류 변화가 이웃한 코일에 유도 기전력을 만드는 현상을 '상호 유도'라 합니다. 1차 코일의 전류가 변하면 1차 코일이 만드는 자기장 B1이 변하고, 그에 따라 2차 코일을 지나는 자기선속이 변하여 2차 코일에 유도 기전력이 생성됩니다.

이때 M과 M'은 같습니다. 앞서 자체 인덕턴스가 코일의 물리적 형태에만 의존했듯이, 상호 인덕턴스 역시 두 코일의 물리적 관계에만 의존하는 물리량입니다. 두 코일의 물리적 관계는 어떤 관점으로 보든 변하지 않으므로 M과 M'은 같을 수밖에 없어요.
상호 유도 계수 구하기
그림과 같은 중심축을 갖는 2개의 솔레노이드가 겹쳐 있는 모습입니다. 두 솔레노이드의 단면적은 A로 같습니다.

코일 2에 전류가 흐른다고 가정한다면 코일 1을 지나는 자기 선속을 정의하기가 어렵습니다. 코일 1을 지나는 자기장이 불균일하기 때문이죠. 따라서 전류가 코일 1에 흐른다고 가정하는 게 낫습니다. 그렇게 맘대로 바꿔도 되는 이유는 M과 M'가 같기 때문이에요.

거위의 꿈 - 인순이
https://www.youtube.com/watch?v=8PuD5pQ64QQ
목표라는 태양을 바라보며 걷는 자에겐 시련이라는 그림자가 뒤따르기 마련입니다. 모름지기 시련이란 외부의 무언가에서 비롯되는 것으로 여겨지죠. 그러나 그림자가 물체 스스로에서 비롯되듯이 시련 역시 나 스스로에 기인합니다. 마치 코일에 흐르는 전류 스스로가 자신의 흐름에 태클을 거는 '자체 유도' 현상과도 같죠.


나에게서 기인한 시련이기에 시련은 그 어느 누구도 아닌 나 스스로가 거두어야 합니다. 그렇기에 하늘은 스스로 돕는 자를 돕습니다. 시련에 얻어맞아 아래로 내려가는 동안을 뿌리를 잡아가는 시간으로 만들지, 아래로 가라앉으며 침몰하는 시간으로 내버려둘지는 온전히 나 하기 나름입니다. 오늘도 물리를 통해 인생을 배웁니다.
'2024 고급물리학' 카테고리의 다른 글
| [고급물리학] 변위 전류와 맥스웰 방정식 (0) | 2024.05.20 |
|---|---|
| [고급물리학] 교류 발전과 공진 회로 (1) | 2024.05.14 |
| [고급물리학] 전자기 유도와 유도 기전력 (0) | 2024.05.08 |
| [고급물리학] 자기장에 관한 법칙 {비오 사바르 법칙, 암페어 법칙} (6) | 2024.05.01 |
| [고급물리학] 키르히호프의 법칙 (2) | 2024.04.22 |