2021.05.19 - [2024 고급물리학] - [고급물리학] 자체 유도와 상호 유도
[고급물리학] 자체 유도와 상호 유도
2021.05.17 - [2024 고급물리학] - [고급물리학] 전자기 유도와 유도 기전력 [고급물리학] 전자기 유도와 유도 기전력2021.05.06 - [2024 고급물리학] - [고급물리학] 자기장에 관한 법칙 {비오 사바르 법칙,
gooseskin.tistory.com
학습 목표
- 교류 전기의 발생 원리를 이해하고, 교류 기전력의 주기적 변화를 예측할 수 있다.
- 용량 리액턴스와 유도 리액턴스의 뜻을 알고 계산할 수 있다.
- 교류 회로인 LC 회로와 RLC 회로에서 전기 진동과 공진을 이해하고, 이것이 활용된 예를 들 수 있다.
- 교류의 특성으로 나타나는 용량 리액턴스와 유도 리액턴스를 정의하고, 교류 회로에서 임피던스를 계산할 수 있다.
판서 조직도

1. 교류 발생의 원리


자기장 내부의 폐회로를 회전시키면 패러데이의 법칙에 의해 유도 기전력이 만들어지고 회로에 유도 전류가 흐르게 됩니다. 이때 유도 전류의 크기와 방향이 주기적으로 변하는, 교류의 형태를 띠게 되는데요. 유도 전류, 유도 기전력이 교류의 형태를 띠는 이유를 살펴봅시다.


2. 교류 회로
1) 저항만 연결된 교류 회로

저항만 연결한 교류 회로에선 저항 양단에 걸리는 전위차와 저항에 흐르는 전류의 주기가 같습니다. 달리 말하면 아래 그래프와 같이 전압과 전류의 시간에 따른 변화 추이가 같아요. 이러한 시간에 따른 변화 타이밍을 '위상'이라고 합니다. 따라서 저항만 연결된 교류 회로에서 전압과 전류의 위상은 동일합니다.


실효값(=제곱 평균 제곱근)

2) 축전기만 연결된 교류 회로

축전기만 연결된 교류 회로에서는 전류의 위상이 전압의 위상보다 90 º 만큼 앞섭니다.


축전기의 용량 리액턴스는 회로에서 저항 역할을 하는 물리량입니다. 용량 리액턴스는 전기 용량과 각진동수에 반비례해요. 따라서 축전기의 용량 리액턴스는 저주파 전류(=진동수가 작음)일 때 커지므로 저주파 전류를 차단시키고, 고주파 전류(진동수가 큼)를 통과시킵니다. 따라서 이러한 회로는 고음(=진동수가 큰 소리)을 강조하는 트위터 스피커에 활용돼요.
축전기에서의 전력
축전기에서의 전력을 정의할게요.

이는 축전기에서는 평균적으로 전기 에너지가 소모되지 않음을 의미합니다. 달리 말하면 에너지가 저장된다는 뜻이죠.
3) 코일만 연결된 교류 회로

코일만 연결된 교류 회로에서는 전류의 위상이 전압의 위상보다 90 º 만큼 뒤쳐집니다.


코일의 유도 리액턴스 역시 회로에서 저항 역할을 하는 물리량입니다. 유도 리액턴스는 전기 용량과 각진동수에 비례해요. 코일의 유도 리액턴스는 고주파 전류일 때 커지므로 고주파 전류를 차단시키고, 저주파 전류를 통과시킵니다. 따라서 이러한 회로는 저음을 강조하는 베이스 스피커에 활용돼요.
코일에서의 전력
코일의 경우에도 축전기에서와 마찬가지로 한 주기 동안 전력의 제곱 평균 제곱근 값이 0이 되므로, 코일에서 전기 에너지가 소모되지 않고 저장됩니다.
3. 공진 회로
1) RLC 직렬 회로

저항과 코일 및 축전기가 교류 전원에 직렬로 연결되어 있는 경우, '키르히호프 제1법칙'에 따라 회로의 모든 점에서 흐르는 전류의 크기와 위상이 동일합니다. 하지만 각 소자 양단의 전위차의 크기와 위상은 다릅니다.
① 저항 양단의 전위차 위상

RLC 직렬 회로에 흐르는 전류의 위상을 편의상 0 º로 둘게요. 전체 전류의 위상이 곧 저항에 흐르는 전류의 위상이며(by 키르히호프 제1법칙), 저항에는 어떠한 리액턴스도 없기에 저항에서의 전류 위상과 전위차의 위상은 같습니다.
② 축전기와 코일 양단의 전위차 위상
축전기 양단의 전위차 위상은 전류에 90 º 뒤쳐지고 코일 양단의 전위차 위상은 전류에 90 º 앞섭니다.

③ 전원 기전력의 위상
각 소자 양단의 전위차의 알짜 벡터가 곧 전체 기전력의 크기와 방향입니다.

④ 전원 기전력의 위상과 전류의 위상 비교, 임피던스, 공진 주파수
전체 기전력과 회로에 흐르는 전류의 위상 차이는 다음과 같습니다.

예시로 든 상황에서는 유도 리액턴스가 용량 리액턴스보다 더 컸으므로 전류의 위상이 전체 기전력의 위상보다 뒷서고 있음을 확인하세요. 반대 상황이었다면 전류의 위상이 전체 기전력의 위상보다 앞서게 됩니다.
만약 용량 리액턴스와 유도 리액턴스가 같은 값이었다면 임피던스는 최소가 됩니다. 따라서 최대 전류가 흐르게 돼요. 이처럼 전류값이 최대가 되는 현상을 '공진'이라고 하며 그때의 주파수를 '공진 주파수'라 합니다.

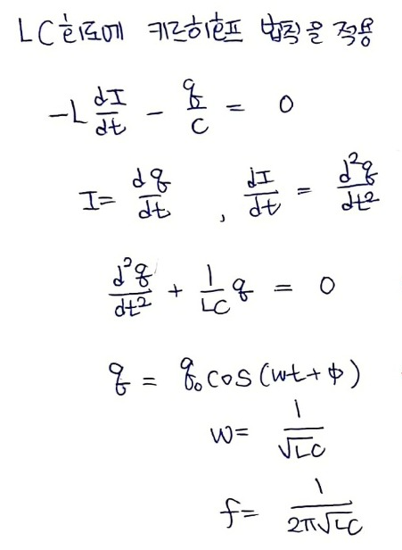
2) LC 회로

축전기와 코일만 연결돼 있는 회로를 'LC 회로'라고 합니다. 축전기가 완충된 상태에서 스위치를 닫으면 다음과 같은 전자기적 진동 현상이 발생해요.
https://javalab.org/lc_oscillator/
LC 진동 회로 - 자바실험실
LC 진동 회로 충전시킨 커패시터(축전기)에 인덕터(코일)를 연결해주면 전기적인 진동이 일어납니다. 충전되었던 커패시터가 방전되면서 인덕터에 자기장의 변화가 생깁니다. 이 자기장의 변화
javalab.org


축전기가 방전되면서 코일에 전류가 흐르게 됩니다. 그동안 코일에 자체 유도에 의한 기전력이 발생하는데요.
이때 축전기 양단의 고전위 위치와 코일 양단의 고전위 위치가 반대입니다. 가령 축전기의 왼쪽 극판이 고전위이면 코일의 오른쪽 부분이 고전위가 됩니다.

시간이 흘러 축전기에서 모든 전하가 방전됨에 따라 축전기에 저장되어 있던 에너지가 코일에 저장됩니다.

전류가 최댓값을 찍는 순간 코일에 흐르는 전류가 서서히 감소하게 됨에 따라 또다시 코일에 자체 유도가 발생하게 되고, 전류의 감소를 방해하기 위해 코일의 왼쪽 부분이 고전위가 됩니다. 축전기 양단의 고전위 위치와 코일 양단의 고전위 위치가 반대이기 때문에 이 경우에는 축전기의 오른쪽 부분이 고전위가 됩니다. 이로써 코일에 저장되었던 에너지가 다시 축전기에 저장됩니다.

이처럼 축전기의 방전과 충전에 따른 코일에서의 자체 유도 발생과 축전기 양단의 전위차와 코일에서의 기전력 방향이 반대라는 현상의 반복이 전자기적 진동을 일으킵니다. 만약 회로의 저항이 0이라면 이 진동은 영원히 유지돼요. 이 진동수는 다음과 같이 정의됩니다.

① 에너지 보존 법칙

LC 회로에서 전자기 에너지는 축전기에서의 전기장 형태, 코일에서의 자기장 형태로 전환되며 두 소자 사이에서 왕복합니다. 앞서 코일과 축전기에서는 한 주기 동안 전력의 제곱 평균 제곱근 값이 0, 즉 소모되는 전자기 에너지가 일절 없었기에 축전기의 전기 에너지와 코일의 자기 에너지 합은 항상 보존됩니다.
② LC 회로의 공명


외부에서 주기적으로 가해지는 힘의 진동수가 진동하는 계의 고유 진동수에 가까워질 때 진동의 진폭이 더욱 커지는 현상을 '공명'이라고 합니다. 적절한 타이밍에 그네를 밀어줄 때, 그네가 더욱 큰 진폭으로 움직이는 경우가 공명에 해당돼요. 마찬가지로 LC 회로의 자체 진동수와 맞는 교류 전원을 연결해 주면 회로에 흐르는 전류값이 최대가 됩니다. 이때의 진동수를 '공명 진동수'라고 하고, 그 크기는 LC 회로의 진동수입니다.

초록을 거머쥔 우리는 - 잔나비
https://www.youtube.com/watch?v=29OEHqiUrkI
어느덧 나무가 초록빛으로 물들어가는 5월이 왔습니다. 5월 이맘 때는 중간고사와 체육대회 및 졸업앨범 촬영 등등 바빴던 학교 행사들이 속속 마무리되면서 뭔가 풀어지고 마음이 붕 뜨는 시기 같더라고요. 그럴 때일수록 함께하는 사람이 필요합니다. 때때로 나약해져서 기쁨을 기다릴 새도 없이 지쳐갈 때, 서로가 서로의 버팀목이 되어 위로와 격려의 말을 주고받으면 포기하고 싶다가도 큰 용기를 얻게 됩니다.
공명(共鳴), 같은 결끼리 맞대었을 때 비롯되는 함께의 힘이 엄청났듯이 공감(共感)에서 피어나는 배려의 힘 역시 강력합니다. 우리가 타인을 배려하는 것은 공감하기 때문이지, 동정하기 때문이 아니에요. 동정이 아닌 공감에서 비롯된 배려로 서로가 서로에게 초록의 나무가 되어주어야 하는 이유, 초록을 거머쥔 우리이기에.
오늘도 물리를 통해 인생을 배웁니다.
'2024 고급물리학' 카테고리의 다른 글
| [고급물리학] 파동의 중첩에 따른 간섭과 회절 (1) | 2024.05.23 |
|---|---|
| [고급물리학] 변위 전류와 맥스웰 방정식 (0) | 2024.05.20 |
| [고급물리학] 자체 유도와 상호 유도 (2) | 2024.05.09 |
| [고급물리학] 전자기 유도와 유도 기전력 (0) | 2024.05.08 |
| [고급물리학] 자기장에 관한 법칙 {비오 사바르 법칙, 암페어 법칙} (6) | 2024.05.01 |