2021.05.20 - [2024 고급물리학] - [고급물리학] 교류 발전과 공진 회로
[고급물리학] 교류 발전과 공진 회로
2021.05.19 - [2024 고급물리학] - [고급물리학] 자체 유도와 상호 유도 [고급물리학] 자체 유도와 상호 유도2021.05.17 - [2024 고급물리학] - [고급물리학] 전자기 유도와 유도 기전력 [고급물리학] 전자
gooseskin.tistory.com
학습 목표
- 전자기파의 파동 방정식을 유도하고, 맥스웰 방정식의 과학사적 의미에 대해 토의할 수 있다.
- 전자기파의 발생 원리를 이해하고, 전자기파의 성질과 종류를 구별할 수 있다.
물리학 전개도

전하 주위에 전기장이 정의되고, 전하가 움직여 전류가 흐를 때 그 주위에 자기장이 정의되기 때문에 전자기장이 존재하기 위해서는 전하가 필요하다고 여겨졌습니다. 그러나 패러데이의 '전자기 유도'와 맥스웰의 '변위 전류'는 전자기장을 전하와 상관없이 개별적으로 존재하는 독립적인 개체로 재조명했고, 전기와 자기의 상호작용, '전자기파'란 전자기적 파동을 예상하는 데 일조합니다.
판서 조직도

1. 수정된 암페어 법칙
1) 변위 전류의 의의
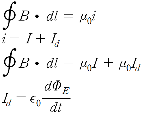
암페어 법칙은 임의의 폐곡선에 대한 자기장의 선적분과 그 폐곡선으로 둘러싸인 임의의 면을 통과하는 전류 사이의 관계를 나타냅니다.

암페어 법칙은 전류가 흐를 때만 주변에 자기장이 만들어진다는 것을 보여줘요. 하지만 맥스웰은 전류가 흐르지 않아도 자기장이 형성될 수 있음을 알아냅니다. 바로 전기장의 변화가 자기장을 유도한다는 사실을 알아낸 거죠. 이처럼 전기장의 변화를 전류로 간주하기 위해 나온 개념이 '변위 전류'입니다.

축전기의 두 도체판 사이로는 전자가 이동하지 않습니다. 다시 말해 축전기 사이에 전류가 흐르지 않죠. 그럼에도 축전기 사이에 자기장이 형성됩니다. 그 이유는 도체판에서의 방전과 충전에 따른 전기장의 변화가 자기장을 생성하기 때문이에요. 그때의 전기장 변화를 전류로 간주할 수 있으며, 이를 '변위 전류 Id'라 합니다.
2) 변위 전류의 크기

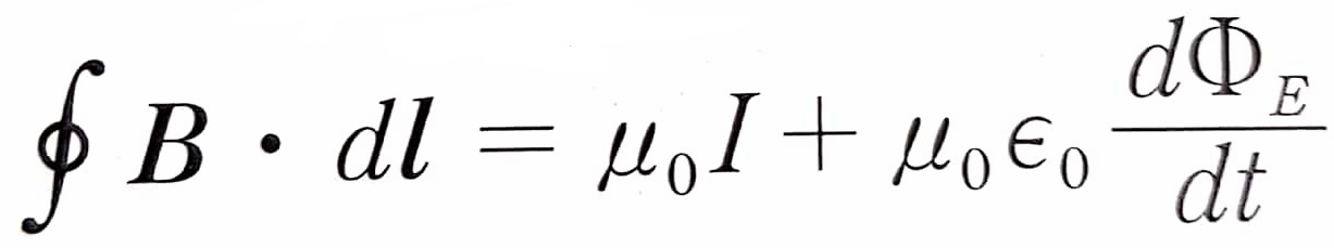
3) 암페어 법칙의 수정
맥스웰은 암페어 법칙에 변위 전류 항을 포함하여 식을 수정합니다.


내용 체크 문제
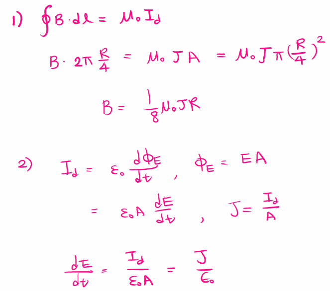
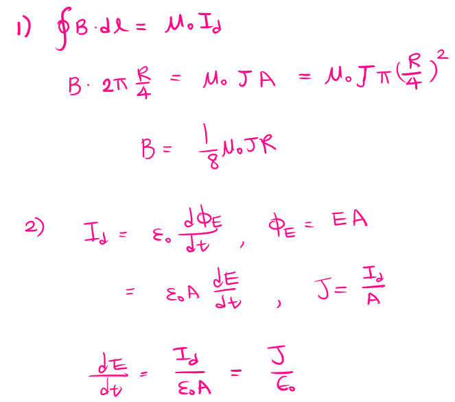
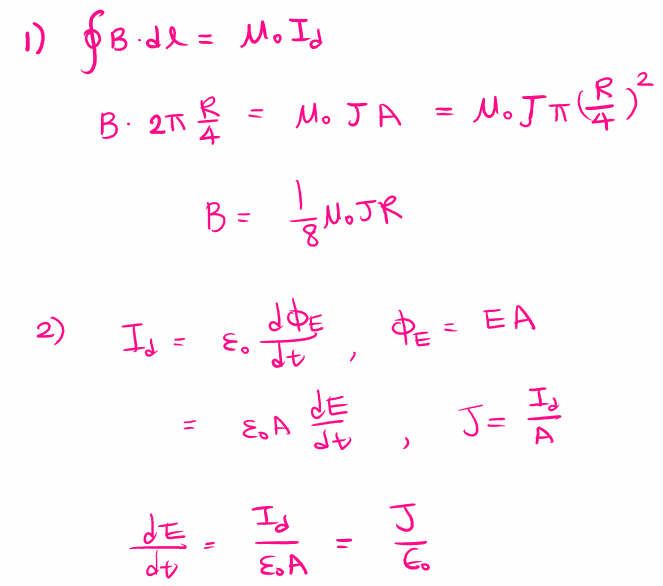
원형 극판의 지름이 R인 평행판 축전기가 대전되면 극판 사이에서 변위 전류의 전류 밀도 크기는 J로 균일하다. (극판 면적 A일 때, 전류밀도 J=I/A )
(1) 극판 사이에서 대칭축으로부터 R/4인 곳에 생기는 자기장의 크기
(2) 극판 사이에서 dE/dt

패러데이와 맥스웰의 발견이 가지는 의의

패러데이의 '전자기 유도'와 맥스웰의 '변위 전류'는 전자기장의 본질에 대한 중요한 함의를 갖고 있습니다.
이전까지는 전자기장이 존재하기 위해 전하가 필요하다고 생각했어요. 전하 주위에 전기장이 정의되고, 전하가 움직여야 주위에 자기장이 정의되기 때문이죠.
그러나 패러데이의 '전자기 유도'는 전하와 관계없이, 전기장의 원인이 자기장이고, 맥스웰의 '변위 전류'는 전하의 움직임과 관계없이, 자기장의 원인이 전기장임을 알려주었습니다. 즉, 패러데이와 맥스웰의 발견으로 전기장과 자기장은 서로가 서로의 원인이자 결과인 뫼비우스의 띠와 같은 존재로써, 전자기장은 전하와는 별개로 항상 존재하는 독립적 개체임이 알려진 셈이죠.
2. 맥스웰 방정식
1) 맥스웰 방정식의 의미
맥스웰은 쿨롱, 가우스, 앙페르, 패러데이가 발견한 전자기 법칙들을 수학적으로 체계화하여 통일된 형태, 맥스웰 방정식을 만들었습니다.
① 전기장에 대한 가우스 법칙

위 식은 전기력선들이 양전하에서 시작되어 음전하에서 끝나는 것을 의미하며 전하 밀도가 만드는 전기장에 관한 내용을 담고 있습니다.
② 자기장에 대한 가우스 법칙

위 식은 자기장 B를 폐곡면에 대해 면적분한 값이 항상 0이라는 것을 보여줍니다. 이는 자기 홀극이 존재하지 않음을 의미합니다. 쉽게 말하면 자석의 두 극은 절대로 분리가 되지 않아요.
③ 패러데이 법칙

위 식은 전자기 유도에 의해 변화하는 자기장이 전기장을 만든다는 내용을 담고 있습니다.
④ 수정된 암페어 법칙

위 식은 암페어 법칙에 변위 전류 항을 추가하여 완성된 식으로 패러데이 법칙과 대칭을 이룹니다.
2) 맥스웰의 전자기파 예측
잔잔한 연못 위에 돌이 첨벙 떨어지면 주변으로 물결이 이는 걸 볼 수 있습니다. 이는 돌이 야기한 수면의 왜곡(=진동)이 갖는 에너지가 파동의 형태로 퍼져 나가기 때문이에요.

전하 주위, 전기적 공간의 왜곡이 전기적 현상을 일으켰고 그 현상이 나타나는 공간을 '전기장'이라 일컫습니다. 움직이는 전하 주위에선 전기적 공간의 왜곡이 일으키는 복합적인 작용이 자기적 현상으로 나타났고, 그 자기적 현상이 나타나는 공간을 '자기장'이라 일컫습니다. 맥스웰은 전하에 의한 전기장과 자기장의 왜곡이 공간으로 퍼져 나가는 형태가 있을 것이라 보았어요.


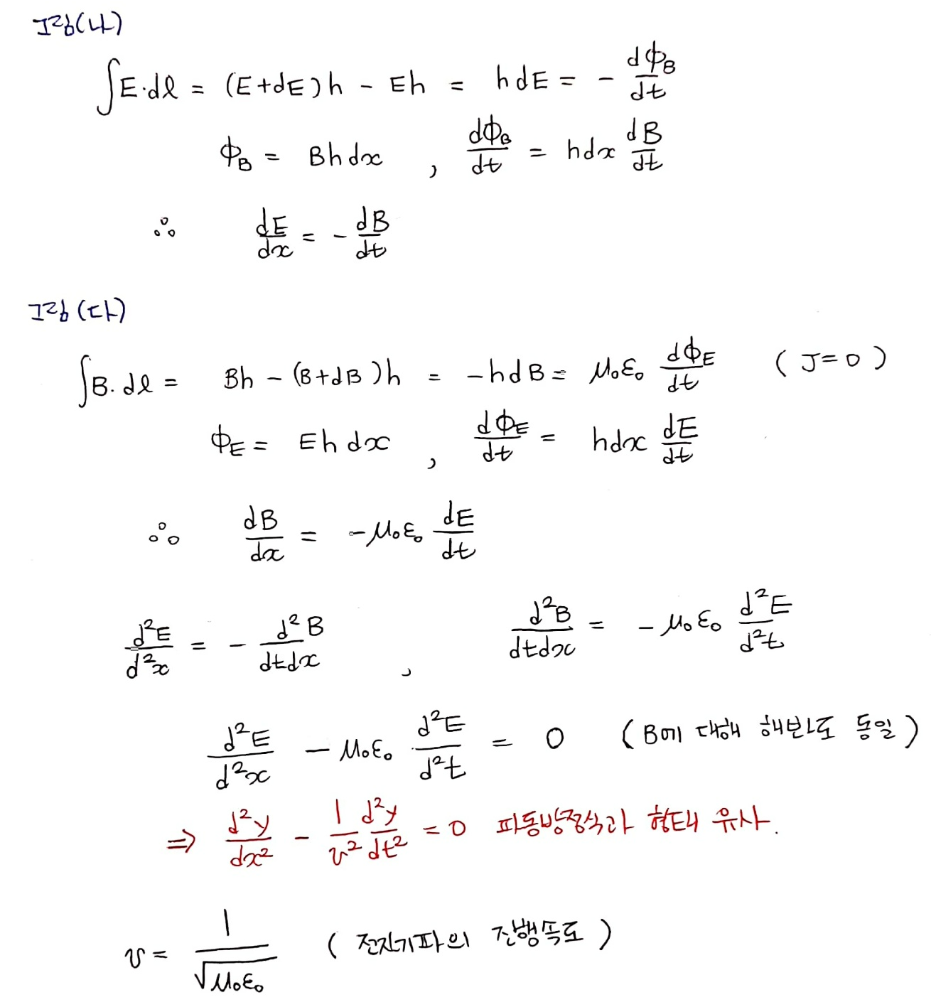
비오 사바르 법칙에서 정의되기를 자기장의 방향은 전류의 방향(=전기장 방향)과 항상 직교를 이루었습니다. 따라서 전자기적 교란을 야기하는 전기와 자기의 진동은 아래 그림과 같이 서로 수직을 이룬다고 보았어요.

그렇다면 맥스웰은 전기장과 자기장으로 구성되는 전자기적 교란이 왜 '파동'의 형태로 전파되어야 한다고 보았을까요?

(가)는 위상이 같고 각각의 진동 방향이 전자기파 진행 방향에 수직인 전기장과 자기장 벡터 E, B의 위치에 따른 진폭 그래프입니다. (나)의 점선 직사각형 고리(=반시계 방향)에 대한 패러데이 법칙과 그림 (다)의 점선 직사각형 고리(=반시계 방향)에 대한 암페어 법칙을 적용하겠습니다.


패러데이 법칙과 암페어 법칙에서 유도된 전기장과 자기장의 미분 방정식의 형태가 파동 방정식과 유사하기 때문에 맥스웰은 전자기적 교란을 파동의 형태로 본 것입니다. 더 나아가 이 미분 방정식에서 유도되는 전자기적 교란의 속도는 진공에서의 투자율과 유전율에 의해 결정되는데, 이를 대입하면 정확히 299,792,458이란 크기가 나옵니다. 이는 광속의 빠르기예요.

정리하면 맥스웰은 전기장과 자기장이 서로를 유도하는 과정에서 생기는 전자기적 교란은 파동의 형태이고, 이는 빛의 속도로 전파될 것이라고 예상한 겁니다. 이 예상은 철저히 수학적 계산에 기반했어요.
아름다움의 기반, 대칭성
패러데이와 맥스웰이 전기와 자기를 하나로 통일할 수 있었던 것은 이들이 수학적으로 대칭적인 관계에 있기 때문입니다. 맥스웰의 방정식에는 이중성이라는 대칭이 존재해요. E와 B를 맞바꿔도 맥스웰의 방정식은 달라지지 않습니다. 이런 이중성이 존재한다는 것은 전기와 자기가 동일한 힘의 두 가지 측면임을 의미해요. 맥스웰은 E와 B사이의 대칭을 이용하여 전기와 자기를 통일했고, 그 덕분에 19세기 과학은 위대한 도약을 이룰 수 있었습니다.
3. 전자기파


이러한 전자기파의 존재는 헤르츠의 실험을 통해 드러나게 되었고, 그와 더불어 빛이 전자기파의 한 종류임이 밝혀지게 되었습니다. 맥스웰의 이론이 현실로 탈바꿈되는 순간이 도래한 거죠.
1) 전자기파의 성질

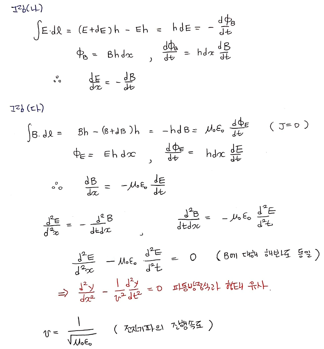
전기장과 자기장이 서로를 유도하며 진행하는 파동을 '전자기파'라 합니다. 이때 전기장과 자기장의 진동 방향은 서로 수직이고, 전자기파는 전기장과 자기장의 진동 방향에 수직인 방향으로 진행하는 파동이므로 횡파입니다. 전자기파는 매질이 없어도(=진공에서도) 진행 가능한 파동입니다. 빛의 속력 c는 진공 속의 전기장 E와 자기장 B의 사이에 c=E/B의 관계를 만족합니다.
E=cB 증명

2) 전자기파 스펙트럼(=분포도)

전자기파는 모든 파장에 연속적으로 걸쳐 있지만, 전자기파 스펙트럼 중 비슷한 성질을 가진 파장의 구간을 정하여 용도에 따라 구분합니다.
| 종류 | 특징 | 이용 |
| 라디오파 | 파장이 제일 길어서 회절이 잘 일어나 파동이 구석구석 잘 전달된다. | 라디오, TV를 포함한 무선 통신 |
| 마이크로파 | 라디오파보다 파장이 짧으며 많은 정보를 전달 | 레이더, 휴대 전화 데이터 통신, 전자레인지 |
| 적외선 | 가시광선의 빨간색 빛보다 파장이 길며 마이크로파보다 파장이 짧다. 강한 열작용을 하여 열선이라고도 한다. | 적외선 온도계, 적외선 카메라, 리모컨 |
| 가시광선 | 사람이 눈으로 인식할 수 있는 전자기파, 파장에 따라 사람 눈에 다른 색으로 보임. | 조명이나 디스플레이 |
| 자외선 | 가시광선의 보라색 빛보다 파장이 짧고 X선보다 파장이 긴 전자기파로 세균의 단백질 합성을 방해하여 살균 작용 | 살균 및 소독기 |
| X선 | 자외선보다 파장이 짧고 사람의 몸이나 건물 벽을 투과 | X-ray, 공항 수하물 검사, 비파괴검사, 결정구조연구 |
| 감마선 | 핵반응시 방출하는 파장이 매우 짧은 전자기파로 투과력이 매우 강함. | 암 치료 |
진공에서의 전자기파 속력 c는 299,792,458m/s입니다. 전자기파는 진동수에 따라 서로 다른 특성을 갖지만 속력은 모두 광속으로 같아요.
Steal the show - Lauv
https://www.youtube.com/watch?v=AJsvGtGgI6M
"겁도 없이 너에게 뛰어들었고, 우린 함께 무지개를 만들었지"

무지개, 실재하지만 형태가 없는 역설적인 현상.
패러데이는 폭포수에서 피어나는 무지개를 바라보며 실재하지만 형태가 없는 전자기장의 아이디어를 떠올립니다. 그 덕분에 우리는 실재하지만 형태가 없는 무선 통신망이란 정보의 바다를 스마트폰이란 배로 항해하는 시대에 살고 있습니다.
전자기장을 떠올린 패러데이, 전자기장을 수학적으로 구상한 맥스웰, 에테르를 관찰하고자 했던 마이켈슨과 몰리, 전자기파를 확인했던 헤르츠. 그들의 협업 아닌 협업 덕분에 빛(=전자기파)이 물리학에 편입되었고, 우리는 무선 통신을 비롯한 전자기파의 다양한 기술적 수혜를 누릴 수 있게 됐습니다. 각자의 아이디어가 합치됐을 때의 synergy 덕분에 무선 통신, 스마트폰과 같은 serendipity가 탄생한 거죠. 영화 엘리멘탈에서 물과 불이 무지개를 피어오르게 한 것처럼요.
과학은 혼자만의 학문이 아니라 함께의 학문입니다. 우리의 인생도 똑같아요.
함께의 synergy가 불러일으킬 serendipity는 무지개처럼 형태는 없지만 분명 우리의 삶에 실재합니다. 오늘도 물리를 통해 인생을 배웁니다.
'2024 고급물리학' 카테고리의 다른 글
| [고급물리학] 기하광학, 거울과 렌즈에서의 광학 (3) | 2024.05.31 |
|---|---|
| [고급물리학] 파동의 중첩에 따른 간섭과 회절 (1) | 2024.05.23 |
| [고급물리학] 교류 발전과 공진 회로 (1) | 2024.05.14 |
| [고급물리학] 자체 유도와 상호 유도 (2) | 2024.05.09 |
| [고급물리학] 전자기 유도와 유도 기전력 (0) | 2024.05.08 |