2022.05.20 - [2024 고급물리학] - [고급물리학] 파동의 중첩에 따른 간섭과 회절
[고급물리학] 파동의 중첩에 따른 간섭과 회절
2021.05.31 - [2024 고급물리학] - [고급물리학] 변위 전류와 맥스웰 방정식 [고급물리학] 변위 전류와 맥스웰 방정식2021.05.20 - [2024 고급물리학] - [고급물리학] 교류 발전과 공진 회로 [고급물리학]
gooseskin.tistory.com
학습 목표
- 평면거울에서 작도를 통한 상의 종류와 위치를 정량적으로 구할 수 있다.
- 구면 거울에서 작도를 통한 상의 종류와 위치를 정량적으로 구할 수 있다.
- 구면에서의 굴절에 대하여 설명할 수 있다.
- 렌즈에 맺힌 상의 위치를 정량적으로 구할 수 있다.
- 거울과 렌즈를 이용한 현미경과 망원경의 원리를 설명할 수 있다.
물리학 전개도

기하 광학은 빛이 선을 따라 직진하는 것으로 간주하고 거울과 렌즈에서의 반사, 굴절 등으로 맺어지는 상의 형성에 대해 연구하고 활용하는 분야입니다. 최초로 사진기를 이용하여 상을 찍어냈을 때에는 단지 신기한 실험에 불과했지만, 오늘날 사진을 비롯한 영상 매체는 생활의 일부가 되었습니다. 큰 산업으로 발전한 텔레비전, 컴퓨터 그리고 영화 산업은 광학적 영상을 그 매체로 하죠. 인공위성이 보내주는 사진은 군사적으로 중요할 뿐 아니라, 환경문제를 연구하는 데에도 도움을 줍니다. 생물학자와 의공학자들은 망막에 맺힌 상이 어떻게 뇌에서 시각정보로 해석되는지 아직 정확히 이해하지 못하지만 뇌의 시각중추에 전기적 자극을 가함으로써 맹인들이 마음속에 상을 만들어 내도록 하는 데에 성공했습니다.
판서 조직도

이 단원에서는 평면과 곡면 거울에서 상의 위치와 볼록 렌즈와 오목 렌즈에 맺힌 상의 위치를 반사와 굴절 법칙을 이용하여 구하는 방법에 대해 알아보고, 현미경, 망원경 등 광학 기구들의 특성에 대해 배웁니다.
1. 거울, 반사에 의한 상의 형성
우리는 빛을 직진하여 오는 것으로 인식합니다. 빛이 꺾이거나 반사되며 진행한다고 인식하지 않아요. 이처럼 감각 기관은 반사된 빛으로부터 시각 정보를 얻기 때문에 실제 물체의 위치와 인식한 위치는 다를 수 있습니다.
반사의 법칙, 입사각=반사각

1) 평면 거울

거울에 보이는 물체는 거울 뒤에 있는 것처럼 보입니다. 하지만 거울 뒤에는 아무것도 없어요. 거울의 상은 인식 속에 존재할 뿐입니다. 이런 상을 '허상'이라 합니다. 거울에 의한 상은 똑바로 서있기 때문에 우리는 거울에 의한 상을 '정립 허상'이라고 합니다.


반대로 '실상'은 종이나 스크린에 실제로 맺힌 상을 의미하며, 실상은 허상과 달리 인식 여부와 상관없이 실제로 존재합니다.
2) 구면 거울
① 오목 거울

거울에 평행하게 입사하는 광선이 거울에서 반사되면 한 점으로 모이게 되는데 이 점을 '초점'이라 하고, 실제 광선이 지나는 초점을 '실초점'이라 합니다. 이때 거울의 곡률반경 R(=구면 거울 반지름)은 초점 f의 두 배입니다.
R=2f (R:곡률반경, f: 거울에서 초점까지 거리)
초점을 기준으로 물체의 위치에 따라 어떠한 상이 생기는지 작도를 통해 알아봅시다.
작도 규칙



ⓐ 평행하게 입사한 광선은 거울에서 반사한 뒤 초점을 향해 지나간다.
ⓑ 초점을 향해 입사한 광선은 거울에서 반사한 뒤 평행하게 지나간다.
② 볼록 거울

평행 광선이 거울에서 반사하게 되는데 이때 반사 광선의 연장선이 모이는 점이 초점이고, 이 초점은 가상의 선이 모이는 점이므로 '허초점'이라 합니다. 이때도 초점거리 f와 곡률반경 R의 관계는 R=2f예요.

볼록거울에 의한 상은 초점을 기준으로 물체가 어느 곳에 있든 항상 축소된 정립 허상입니다.
3) 거울 방정식

p= 거울의 중심에서 물체까지의 거리
q= 거울의 중심에서 상까지의 거리
R= 곡률 반경
f= 초점거리
h= 물체의 높이
h'= 상의 높이
M= 배율
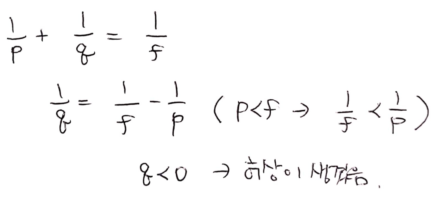
거울 방정식 1/p + 1/q = 1/f , R=2f
부호 규칙
| + | - | |
| 물체 거리 | 실물체 | 허물체 |
| 상 거리 | 실상 | 허상 |
| 초점 | 실초점 | 허초점 |
| 배율 | 정립 | 도립 |
허물체?
q(상의 위치), f(초점) 모두 실제 빛이 진행하는 공간이 아닌 그 반대, 빛의 연장선이 위치해있는 곳에 있을 때 허상과 허초점이 되었듯이, p(물체의 위치) 역시 실제 빛이 진행하는 공간에 있지 못하면 허물체가 됩니다. 복합 광학계에서 등장하게 될 거예요.
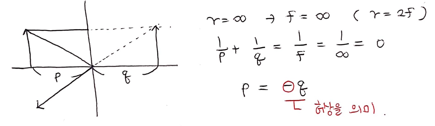
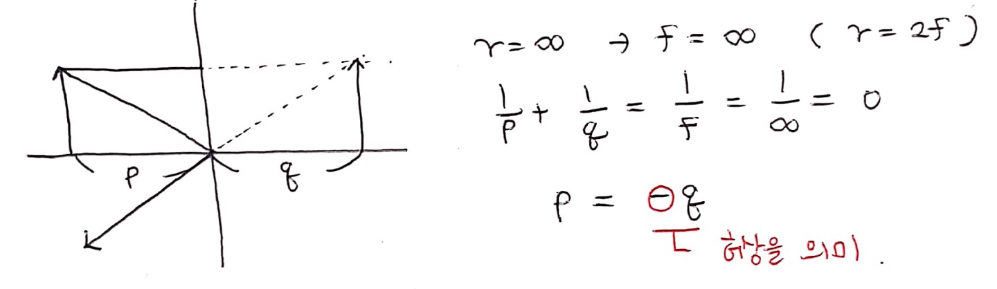
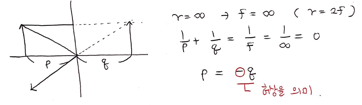
① 부호 규칙 적용 , 평면거울
평면거울의 곡률 반경은 ∞이기 때문에 초점도 ∞가 됩니다. 따라서 거울 방정식을 통해 평면거울에서의 상과 물체의 수평 거리가 똑같다는 걸 알 수 있고, 평면 거울에 의한 상이 항상 허상임을 확인할 수 있어요.

② 부호 규칙 적용, 볼록거울
볼록거울은 허초점을 가지므로 부호 규칙에 따라 초점 부호가 -입니다. 따라서 상의 부호는 -가 나올 수밖에 없어요. 따라서 볼록 거울에 의한 상은 항상 허상입니다.

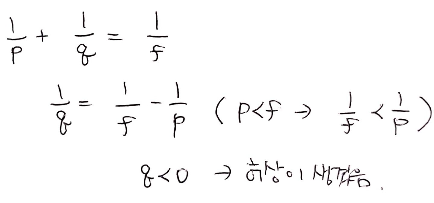
③ 부호 규칙 적용, 오목거울
오목거울은 물체의 거리에 따라 허상이 나올 수 있습니다. 역시 거울 방정식으로 설명이 가능합니다.

q가 양수값이므로 부호 규칙에 따라 q는 실상입니다.


q가 음수값이므로 부호 규칙에 따라 q는 허상입니다.
2. 렌즈, 굴절에 의한 상의 형성
빛이 굴절되어 오는 경우에도 감각 기관은 이 빛이 직진해서 온다고 인식합니다. 감각 기관은 굴절된 빛살로부터 시각 정보를 얻기 때문에 실제 물체의 위치와 인식한 위치는 다를 수 있어요. 이처럼 굴절된 빛조차도 우리 시각 기관은 직진되어 오는 빛으로 인식합니다.
스넬의 법칙

1) 볼록렌즈

볼록렌즈에 평행하게 입사한 빛은 초점을 향해 모입니다. 볼록렌즈의 초점은 평행하게 입사한 빛이 실제로 모이는 점이기 때문에 실초점입니다. 볼록렌즈에 의해 생기는 상을 작도해봅시다.
작도 규칙
ⓐ 평행하게 입사한 광선은 렌즈를 지나 초점을 향해 나아간다.
ⓑ 초점을 지나는 광선은 렌즈를 지나 축과 평행하게 나아간다.
ⓒ 렌즈의 중심을 지나는 광선은 쭉 직진한다.

2) 오목렌즈

평행 광선이 굴절한 광선의 연장선이 모이는 점이 초점이고, 이때는 가상의 선이 모이는 것이기 때문에 오목렌즈의 초점은 허초점입니다. 오목렌즈에 의해 생기는 상을 작도해봅시다.

오목렌즈에 의해 생기는 상은 언제나 축소된 정립 허상입니다. 그 이유는 오목렌즈의 초점이 허초점(f<0)이라서 그래요.

렌즈에서도 거울 방정식과 똑같은 관계식(1/a + 1/b = 1/f)이 성립됩니다.
a= 렌즈의 중심에서 물체까지의 거리
b= 렌즈의 중심에서 상까지의 거리
f= 초점거리
부호 규칙
| + | - | |
| 물체 거리 | 실물체 | 허물체 |
| 상 거리 | 실상 | 허상 |
| 초점 | 실초점 | 허초점 |
| 수직높이(물체, 상) | 정립 | 도립 |
부호규칙에 따라 오목렌즈의 f는 음수입니다. 따라서 상까지의 거리가 음수가 나올 수밖에 없기에 항상 허상이 생기는 거죠.
3) 렌즈에서의 배율

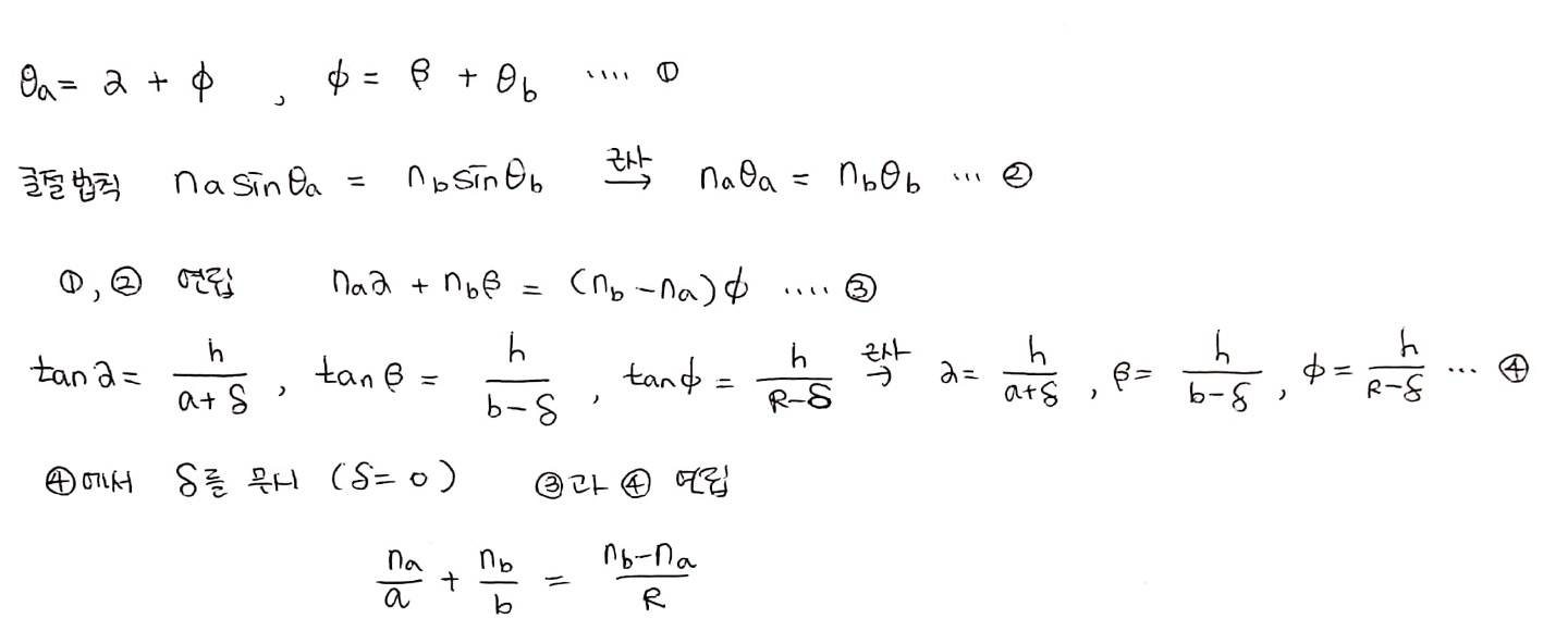
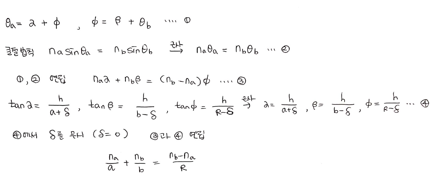
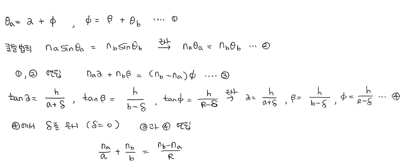
4) 구면에서의 굴절
서로 다른 굴절률을 가지고 있는 두 가지 광학 물질 사이의 경계면이 구형일 때의 굴절에 대하여 알아봅시다. 이러한 굴절은 사람 눈의 각막과 같은 곳에 직접 적용할 수 있으며, 두 개의 구면으로 이루어진 렌즈에서 굴절을 해석하는 발판이 됩니다.


5) 렌즈 제작자 공식


제1면에 의한 상 b1이 곧 제2면에서의 물체 a2입니다. 이때 'a2=-b1'이 되는 이유는 다음과 같아요. 제1면에 의한 상은 굴절 광선 쪽에 있으므로 b1은 양의 값이지만, 이 상을 제2면에 대한 물체로 간주하면 이땐 제2면 입사 광선 쪽에 있지 않으므로 허물체가 되기 때문에 a2는 음의 값을 가집니다.
3. 두 개의 렌즈로 이루어진 복합 렌즈
1) 물체의 역할을 하는 상 ① -실물체-

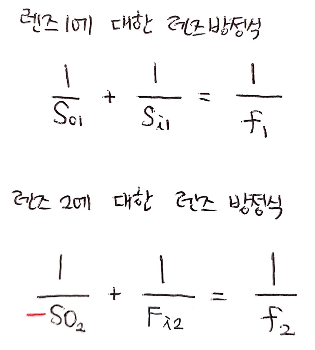
p1 지점의 물체는 렌즈1(초점 f1)에 의해 q1 지점에 상이 생깁니다.

q1 지점의 상이 렌즈2(초점 f2)에 대해 물체의 역할을 하게 되는데, 이때 주의해야할 건 렌즈2로부터 물체까지의 거리를 p2로 잡고 렌즈 방정식에 대입해야하는 점입니다. 위의 상황은 렌즈1에 의한 상이 렌즈2를 기준으로 오른쪽에 형성된 경우로써 물체의 역할을 하는 상이 빛이 지나는 쪽에 위치해있기 때문에 실물체입니다. 따라서 p2의 부호는 +입니다. 이로써 두 렌즈에 의한 최종 상의 위치가 q2로 정의됩니다.
① 현미경
현미경은 작은 물체를 크게 보기 위해 사용하는 광학기기입니다. 현미경은 두 개의 볼록렌즈로 이루어진 복합 렌즈계예요.

물체를 fob와 근사한 위치(a=fob)에 두면 대물렌즈에 의한 상 F1'이 fey 근처(b=fey)에 생깁니다. 상 F1'은 대안렌즈에 대해 물체의 역할을 하죠. 렌즈 방정식에 의해 대안렌즈의 상 I'은 대안렌즈로부터 25cm 떨어진 곳(=명시거리)에 형성되는데요. 일반적으로 사람 눈은 물체가 25cm 정도 떨어져 있을 때 가장 크고 선명하게 보이기 때문에 최종 상이 여기에 맺혀지게 미리 세팅합니다. 이때 최종 상 I'는 실제 물체가 아닌 상 I를 기준으로 정립이고 허상입니다.
복합 렌즈의 배율은 각각의 배율을 곱한 값입니다.
'M(복합 렌즈 배율) = m1·m2'
따라서 현미경의 배율은 M = -(+b)/(+fob) · -(-25cm)/(+fey)입니다.
② 망원경

망원경은 멀리 있는 물체를 보기 위한 광학기기입니다. 무한히 먼 곳의 빛이 입사하기 때문에 대물렌즈로 들어오는 입사 광선을 평행 광선으로 간주합니다. 따라서 대물렌즈에 의한 상은 대물렌즈의 초점에 맺힙니다. 렌즈 방정식에 의해 대안 렌즈에 의한 상이 무한히 먼 곳에 맺히게 되므로 엄청나게 크게 보일 겁니다.
2) 물체의 역할을 하는 상 ② -허물체-


그러나 한 렌즈에 의한 상이 다른 렌즈를 기준으로 빛이 지나는 반대편에 생기는 경우도 있습니다. 이런 경우는 스텝별로 작도하는 게 까다롭기 때문에 렌즈 방정식을 이용하여 최종 상의 위치를 결정하는 게 낫습니다. 이 경우에도 렌즈1에 의해 만들어진 상 P'1이 렌즈2에 대한 물체 역할을 하는데요. 이는 허물체입니다. 그 이유는 렌즈2를 기준으로 상 P'1이 빛이 들어오는 방향의 반대쪽에 있기 때문입니다. 따라서 S02(렌즈2에 대한 물체의 거리)의 부호는 -입니다. 이로써 두 렌즈에 의한 최종 상의 위치가 Fi2로 정의됩니다.


건물 사이에 피어난 장미 - 하이키
https://youtu.be/Z_JNejGY0Hs?si=vmU2x1gLOkgwX0rt
학창 시절 성적은 바닥인데다 습관적으로 지각을 일삼는 말썽꾸러기 낙제생이었지만 당시 세계 1등 국가의 장관과 수상을 역임하고, 유년 시절에 겪었던 언어 장애와 무대 공포증을 극복하고 훗날 최고의 연설가로 평가받은 사람. 바로 영국의 윈스턴 처칠입니다.
"현재가 과거와 싸우면 미래를 잃는다"

과거에 얽매이지 않고 현재에 충실한 삶을 살아가며 절대로 포기하지 않았던 처칠.
그는 땅 위에서 피어나지 못한 현재를 원망하는 대신 어렵게 피어난 만큼 악착같이 살아내 보려는 건물 사이에 피어난 장미와도 같습니다. 모두가 자신의 향길 맡고 취해 웃을 때까지 삭막한 도시를 아름답게 물들였을 장미의 우직함은 처칠의 우직함과 같습니다. 이처럼 어떠한 상황이 닥쳐온들 중요한 건 꺾이지 않는 마음입니다. 달라지는 매질에 파동의 진행 방향이 꺾일지라도, 파동을 앞으로 나아가게 하는 근본인 진동수에는 변함이 없었던 것처럼. 중요한 건 꺾이지 않는 마음, 달라지는 상황에도 중요한 건 꺾이지 않는 마음입니다. 오늘도 물리를 통해 인생을 배웁니다.
'2024 고급물리학' 카테고리의 다른 글
| [고급물리학] 특수상대성이론 ② {질량과 에너지의 관계} (2) | 2024.06.07 |
|---|---|
| [고급물리학] 특수상대성이론 ① {시간과 공간의 상대성} (3) | 2024.06.03 |
| [고급물리학] 파동의 중첩에 따른 간섭과 회절 (1) | 2024.05.23 |
| [고급물리학] 변위 전류와 맥스웰 방정식 (0) | 2024.05.20 |
| [고급물리학] 교류 발전과 공진 회로 (1) | 2024.05.14 |