2021.06.09 - [2024 고급물리학] - [고급물리학] 특수상대성이론 ① {시간과 공간의 상대성}
[고급물리학] 특수상대성이론 ① {시간과 공간의 상대성}
2021.05.31 - [2024 고급물리학] - [고급물리학] 변위 전류와 맥스웰 방정식 [고급물리학] 변위 전류와 맥스웰 방정식2021.05.20 - [2024 고급물리학] - [고급물리학] 교류 발전과 공진 회로 [고급물리학]
gooseskin.tistory.com
학습 목표
특수상대성이론을 이용하여 빠른 속도로 움직이는 물체의 질량과 에너지 관계를 설명할 수 있다.
물리학 전개도

아인슈타인의 특수상대성이론에 의하면 시간은 흐르는 강물과 같아서, 장소에 따라 다른 속도로 흐를 수도 있습니다. 빛의 속력에 근접하는 빠른 속력으로 움직이는 세상에선 시간이 느리게 흘러서 길이가 줄어드는, 시공간이 뒤틀리는 현상이 발생했어요. 아인슈타인은 더 나아가 '시간과 공간'이란 무대가 변한다면 '질량과 에너지'라는 배우들도 변할 수밖에 없다고 보았습니다.
원자폭탄이 낳은 비키니 수영복?!

1946년 7월 1일부터 비키니 섬에서 미국 최초의 공개 핵실험이 진행됐습니다. 실험이 시작되기 전 비키니 섬 원주민들은 2년 후 다시 돌아올 것을 기약하며 인근 섬으로 이주했지만, 그들은 20여 년이 지나서야 섬에 돌아갈 수 있었습니다. 미국 정부가 섬이 안전하다고 선언한 뒤 원주민들은 섬으로 돌아갔지만, 안타깝게도 높은 수준의 방사능 때문에 다시 섬을 떠나야 했어요.

비키니 섬에서 핵실험이 있은 지 얼마 안 돼, 파리 패션쇼에서 배꼽을 드러낸 파격적인 디자인의 수영복이 공개됐습니다. 수영복의 인상이 비키니 섬에서 진행된 핵실험만큼이나 충격적이라고 해서 이 수영복에 '비키니'라는 이름이 붙었어요.
판서 조직도

3. 질량과 에너지의 동등성
1) 질량과 에너지의 관계

일-에너지 정리에 따라 물체에 ∞의 일을 할 수 있다면 물체의 운동 에너지는 ∞가 될 것입니다. 뉴턴 역학에 따르면 질량은 고유한 상수값이기 때문에 속도가 ∞가 돼요. 그러나 아인슈타인의 특수상대성이론에 따르면 빛의 속도보다 빠른 물질은 존재하지 않습니다. 세상에서 가장 light한 것이 light라서 속도의 최댓값은 광속 c으로 제한될 수밖에 없어요. 이처럼 ∞의 운동 에너지가 정의되려면 질량의 변화가 불가피해집니다. 빠르게 움직이는 세상에서 시간의 흐름과 공간의 크기가 변했던 것처럼 질량 역시 변하는 것이며, 시간이 공간과 엮였듯 질량은 에너지와 밀접한 관계가 있음을 발견합니다.

정지한 물체의 질량과 운동하는 물체의 질량은 각각 다르게 측정되며, 물체의 속력이 빨라질수록 물체의 질량은 증가합니다. 그 이유는 물체에 한 일, 즉 에너지의 일부가 질량으로 변환되었기 때문이죠. 아인슈타인은 더 이상 질량과 에너지를 개별적으로 보존되는 물리량으로 보지 않고, 이 둘이 서로 변환되는 상호 의존적인 관계로 보았습니다.

이 식은 질량 m인 물체가 가지는 E의 크기를 의미합니다. 즉 물체가 정지해 있어도 질량 자체만으로 에너지를 갖는 셈이죠. 이 에너지 mc^2를 '정지 에너지'라 합니다. 물론 정지 에너지를 비롯하여 고립된 시스템의 총에너지는 항상 보존됩니다.
20세기 말까지만 해도 질량은 손으로 만질 수 있는 현실적인 실체였어요. 그리고 에너지는 보존 법칙과 관련된 추상적인 개념에 지나지 않았습니다. 그러나 특수상대성이론의 E=mc^2 이라는 공식이 등장하면서 에너지와 질량 사이의 등가성이 성립되고, 추상적인 것과 현실적인 것은 뒤섞여 버렸습니다.
빛보다 빠른 물체가 존재할 수 없는 이유
가속에 쓰인 에너지는 질량으로 바뀝니다. 물체의 질량이 증가하게 되면, 물체의 가속은 어려워질 수밖에 없죠. 따라서 물체의 속도에 한계가 걸려버리게 돼요. 그 한계값이 광속입니다. 세상에서 가장 light한 것이 light인데 빛보다 무거운 게 빛보다 빠를 리 없겠죠?
8분 19초

뉴턴의 중력 이론과 아인슈타인의 특수상대성이론은 양립할 수 없습니다. 어느 순간 태양이 갑자기 사라진다면, 지구에서 그 부재를 느낄 때까지 아인슈타인은 8분 19초(=태양에서 지구까지 빛이 이동하는 시간)가 걸린다고 말합니다. 그러나 뉴턴의 중력방정식은 빛의 속도에 대해 아무런 언급이 없어요. 즉, 뉴턴은 어느 순간에 태양이 사라지면 지구에서는 그 즉시 태양의 부재를 느낄 수 있다고 말합니다. 그러나 이것은 '그 어떤 물체나 신호도 빛보다 빠르게 이동할 수 없다'는 특수상대성이론에 위배되는 주장입니다.
2) 뉴턴 운동 법칙을 지키기 위한 양자택일
전자기학은 오랫동안 역학과 분리되어 있었습니다. 그런데 역학과 전자기학은 둘 다 에너지라는 개념을 사용하는 공통점이 있어요. 19세기 말이 되자 과학자들은 이 두 분야를 잇는 에너지라는 다리에 대해 관심을 보이기 시작했습니다. 그리고 이들의 탐구는 곧 질량의 기원에 대한 물음으로 이어졌죠.
전자기학과 역학이 양립되기 위해 가장 먼저 해야 할 일은 갈릴레이 변환을 로렌츠 변환으로 대체하는 것입니다. 상대 속도와 같이 물체의 역학을 설명하는 근거가 되었던 갈릴레이 변환이 빛의 역학을 다루는 맥스웰 방정식에는 적용되지 않았기 때문이죠. 그들이 오랜 고민 끝에 내린 결론은 갈릴레이 변환을 시간과 공간의 개념이 수정된 새로운 좌표 변환, 로렌츠 변환으로 대체하는 것이었어요.

그런데 로렌츠 변환과 보존 법칙 사이에는 여전히 일치되지 않는 점이 남아 있었습니다. 질량을 가진 물체의 운동 조건을 연구하면서, 운동량에 대한 관례적인 정의(=불변의 질량에 속도를 곱한 값)를 계속 따를 경우, 어떤 기준계에서는 보존되는 운동량이 다른 기준계에서는 보존되지 않는 경우가 있었기 때문이죠.
① 상대론적 운동량
어떤 관성계에서 두 입자 사이의 충돌을 관찰하더라도 운동량 보존 법칙은 성립돼야 합니다. 그러나 광속에 근접하는 빠르기로 움직이는 관성계라면 말이 달라져요. 어떤 관성계에서 관찰하냐에 따라 운동량이 보존될 수도 있고 안될 수도 있는 모순이 생기게 됩니다.
ⓐ 정지한 관찰자가 보는 세계, 관성계 S

관성계 S에서는 질량이 동일한 두 물체가 같은 속력으로 충돌하여 멈추었을 때 운동량의 합이 보존되는 것으로 관찰됩니다.
ⓑ 오른쪽 물체의 속도로 움직이는 관찰자가 보는 세계, 관성계 S'

물체와 관찰자가 광속에 근접하는 빠르기로 움직인다면 갈릴레이 변환이 로렌츠 변환으로 대체됨에 따라 상대 속도를 정의하는 식이 다음과 같이 바뀝니다.

따라서 관성계 S'에서는 충돌 전의 운동량 합(=mu')이 충돌 후 운동량의 합(=2mu)과 같지 않아요. 결국 과학자들은 운동량 보존 법칙을 폐기하는 대신 질량을 다시 정의함으로써 운동량 보존 법칙을 지켜냅니다. 다음과 같이 운동량을 정의하면 관성계 S'에서도 운동량 보존 법칙이 성립됩니다.

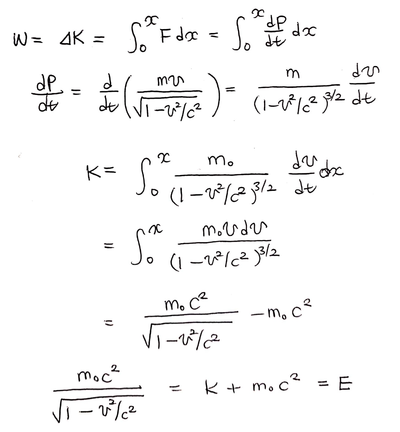
② 상대론적 에너지
상대론적 상황에서 운동량이 수정되었다면 그에 기반한 에너지도 수정되어야 마땅합니다.

로렌츠 인자 r를 통해 속도 v가 광속 c에 최대한 가까워질 수는 있다 해도, c보다 반드시 작아야 함을 알 수 있습니다. 또 속도 v가 0일 때 r은 1이 되어 에너지는 결국 m0c^2 이 되는데, 이는 정지 상태에 있는 물체의 에너지입니다. 이제 드디어 우리가 알고 있는 그 유명한 공식에 도달했습니다. 이렇게 탄생된 E=m0c^2 이라는 공식은 특수상대성이론의 핵심이에요. 결국 특수상대성이론은 역학과 전자기학의 세계를 일치시키려던 노력의 산물입니다.
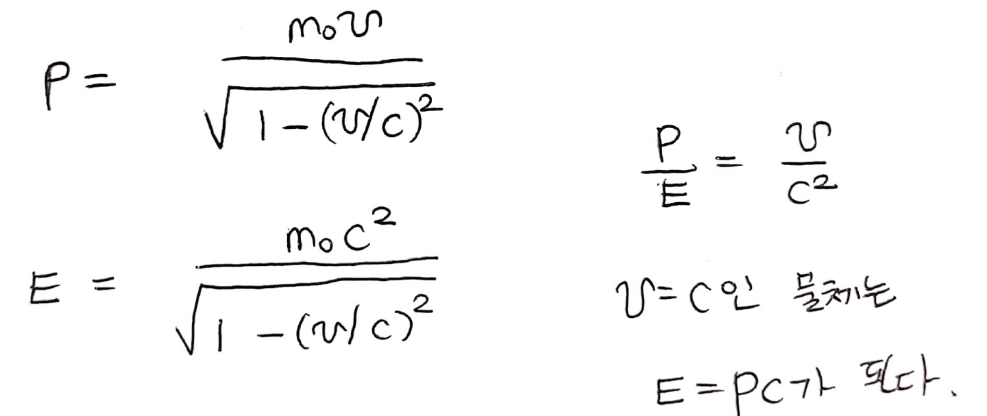
빛의 질량이 0인 이유
물체의 전체 에너지 E는 운동 에너지 K와 m0c^2의 정지 에너지의 합으로 정의됩니다. 이 식의 제곱과 상대론적 운동량의 제곱을 빼서 정리하면 다음과 같은 식이 나와요.

상대론적 운동량을 상대론적 에너지로 나누어 봅시다.

이 결과는 광속으로 움직이는 물체는 질량이 0인 빛뿐임을 의미합니다.
3) 핵반응
'E=mc^2'은 우리가 질량이라고 부르던 것이 단순히 '물질적인 것'에 불과하지 않음을 뜻합니다. 다시 말해 물질 내부에 광속 c자체로도 어마무시한 숫자인데 이를 제곱한 값에 비례하는 어마무시한 에너지가 내재돼 있다는 거죠. 이 엄청난 에너지는 물질의 core, 원자를 구성하는 원자핵에 담겨있습니다.
① 핵분열
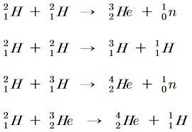
핵분열은 무거운 원자핵이 두 개나 그 이상의 가벼운 원자핵으로 바뀌는 핵반응입니다.


원자기호 앞 왼쪽 아래 첨자는 '원자번호'이며, 양성자수를 의미합니다. 원자기호 앞 왼쪽 위 첨자는 '질량수'이며, 양성자수와 중성자수의 합입니다. 반응 전후 질량수의 총합과 원자번호 총합이 보존됨을 확인하세요. 그러나 반응 전후 총질량은 감소하게 됩니다. 이 질량 결손이 핵분열 시 방출되는 에너지의 출처입니다. 이때 질량 결손과 방출되는 에너지의 관계는 밑의 식으로 설명돼요.

핵분열 후 발생하는 중성자가 또 다른 핵분열을 유도하면 연쇄 반응으로 계속 핵분열이 일어나게 됩니다. 이 핵분열을 원자력 발전으로 활용하고 싶다면 연쇄 반응 속도를 느리게 하면 되고, 핵폭탄으로 활용하고 싶다면 연쇄 반응 속도를 빠르게 하면 돼요. 이때 연쇄 반응 속도를 느리게 하는 물질을 '감속재'라고 하는데, 감속재는 중성자의 속력을 낮추어 연쇄 반응 속도를 느리게 합니다.


위험한 원자폭탄
원자핵 하나가 분열하면서 내는 에너지로는 모기 한 마리 죽일 수 없습니다. 핵물리학을 실험실 밖으로 끌어내려면 연쇄 핵분열의 가능성을 찾아야 했어요. 과학자들은 우라늄 235의 원자핵이 중성자와 충돌해 분열할 때 둘 이상의 중성자가 튀어나온다는 사실을 발견함으로써 연쇄반응의 가능성을 찾았습니다. 몇 년 지나지 않아 미국은 일본에 핵폭탄을 터뜨렸고요.

1945년 8월 6일 오전 8시 15분, 미군 폭격기가 일본 히로시마 상공에 폭탄 하나를 떨구고 떠납니다. 570미터 상공에서 폭탄이 터지는 100만 분의 1초 만에, 도심 전체가 사라져 버렸습니다. 폭발 중심 근처의 모든 건물과 생물은 3000℃를 넘는 고열에 증발해 버렸고, 500미터 떨어진 주택의 기와가 녹았고, 3km 지점의 숲이 불탔습니다. 음속보다 빠른 강풍이 반경 1km 안의 철근 콘크리트 빌딩을 무너뜨리고, 3km 밖의 목조 주택을 완전히 파괴했으며, 15km 떨어진 집의 유리창을 깨뜨렸습니다. 열과 폭풍이 지나간 도시를 검은 먼지와 방사능 낙진이 뒤덮었고, 시커멓게 변한 강물에 시체가 떠다녔습니다. 8월 9일, 나가사키에서도 끔찍한 일이 반복됩니다.
② 핵융합
핵융합은 가벼운 원소의 원자핵을 서로 결합하여 보다 무거운 원자핵을 만드는 핵반응입니다.


이때도 반응 후에 총질량이 감소합니다. 이때 질량 결손과 방출되는 에너지의 관계는 밑의 식으로 설명돼요.

핵융합은 핵분열과 달리 자연스럽게 일어나는 핵반응은 아닙니다. 두 핵자가 서로 가까워지는 동안 작용하는 엄청난 전기적 반발을 거슬러야만 하나의 핵자로 융합할 수 있기 때문이죠. 그렇기에 핵융합은 온도와 압력이 매우 높은, 다소 자연스럽지 않은 환경에서 일어납니다. 가령 태양의 core.
태양의 핵융합

태양은 초당 3.9 * 10^26J의 에너지를 몇 십억 년 동안 계속 방출해오고 있습니다. 도대체 이 엄청난 에너지는 어디에서 나오는 것일까요? 화학적 연소는 우선 배제합니다. 만일 태양이 석탄과 산소로 되어 있었다면 약 1000년밖에 지탱하지 못하고 다 타버렸을 거예요. 곧 알게 되겠지만 태양은 석탄을 태우는 것이 아니라 수소를 태웁니다.

태양의 핵융합 반응에서는 수소가 타서 헬륨이 되는 다단계 과정이 일어납니다. 즉 수소가 '연료'이고 헬륨이 '타고 남은 재'예요. 태양의 핵융합은 궁극의 효율을 자랑합니다. 우리 몸이 태양처럼 효과적이고 절약하는 기계라면 전 생애 동안 음식을 0.5그램 이하로 먹어도 된다고 하네요.
인공태양

우리가 태양이 되는 건 불가능하지만, 태양을 만드는 건 가능하겠다는 생각으로 인류는 인공태양 제작에 도전하게 됐습니다. 지구에서는 핵융합을 위해서 1억 ℃ 이상이 필요한데, 태양과 같은 별에서는 내부 온도가 1500만 ℃ 정도임에도 핵융합 반응이 일어나고 있습니다. 왜 그럴까요? 그것은 높은 압력과 밀도 때문입니다. 태양 내부는 무려 2600 기압이나 됩니다. 지구에서는 이런 높은 압력을 만드는 것이 불가능합니다. 결국 온도를 높이는 방법밖에 없어요. 핵융합 반응이 일어나기 위해서는 1억 도 이상의 온도를 300초 이상 유지할 수 있어야 합니다. 이 기술은 우리나라가 가장 앞서 있다고 하는데, 30초 정도까지 성공했다고 합니다.
달에 묻힌 마법 광물
세계적으로 우주 탐사 열기가 뜨거워지는 배경에는 달에 매장된 마법 광물, 헬륨-3가 있습니다. 헬륨-3는 핵융합에 사용되는 물질로 1g에 석탄 40t에 달하는 에너지를 갖고 있어요. 헬륨-3 생성에는 태양풍이 필요한데, 지구는 대기가 두껍고 자기장이 강력해 태양풍을 막기 때문에 지구에는 헬륨-3가 거의 존재하지 않습니다. 태양풍을 직격으로 받는 달에는 헬륨-3가 110만 t 이상 매장돼 있을 것으로 추산돼요.
그렇다면 지구를 비롯하여 우주에 흔한 수소가 아닌 헬륨-3가 핵융합 재료로 거론되는 이유는 무엇일까요? 사실 태양을 비롯한 별의 중심에서는 수소의 종류를 가타부타할 거 없이 핵융합이 일어납니다. 그러나 별의 변방에서의 핵융합에는 제약 조건이 많죠. 일단 지구에서 핵융합을 모의할 때 평범한 수소가 아니라 중수소와 삼중수소를 사용합니다. 비교적 낮은 온도에서도 핵융합이 가능한 조합이기 때문이죠. 그렇기 때문에 우리에겐 중수소와 삼중수소가 필요합니다. 그러나 이들은 자연상에 존재하지 않기에 인위적으로 만들어서 얻는 수밖에 없어요. 중수소와 삼중수소를 지구상에 풍부한 물로부터 만들 수 있다고는 하지만 이렇게 만들어내면 그 양이 매우 적을 뿐 아니라 가격 또한 매우 비쌉니다. 그러나 헬륨-3을 이용하면 비교적 적은 비용으로 중수소와 삼중수소를 만들 수 있어요. 그래서 인류는 헬륨-3에 눈길을 돌리고 있는 겁니다.
Something new - 태연
https://www.youtube.com/watch?v=ZpgLe0yxSfs
핵분열은 자연적으로 발생하는 핵반응입니다. 우라늄과 같은 무거운 원자의 원자핵에는 200여 개의 핵자가 상상할 수 없을 정도로 좁은 공간에서 바글거리고 있죠. 마치 많은 골프공을 자루에 넣지 않은 채 양팔로 안을 때의 불안함과도 같아요. 누군가 툭 건드리면 품에 안고 있는 골프공이 쏟아지듯이, 중성자는 이 불안한 원자핵을 건드려 핵분열을 일으키는 트리거입니다. 중성자. +도 아닌 -도 아닌, 아무것도 아닌, 아무도 아니지만 그렇기에 중성자는 기존의 원자를 새로운 원자로 바꿔버립니다.
아무것도 아닌, 아무도 아닌, 새로움일 뿐
열심히 해오던 것이 아무것도 아니게 되어버리는 순간에 찾아오는 허망함. 그 헛헛함을 자기 비하를 비롯한 부정적 생각으로만 채워버리는 시니컬함은 언제나 쉽습니다. 하지만 긍정적인 생각을 가지고 훌훌 털어버리고 다시 일어나는 시크함은 언제나 어렵습니다. 그럼에도 시니컬한 사람이 되기보다는 시크한 사람이 되어야 해요. 시니컬하기에 우리 인생은 너무나 길고, 시크할 정도로 우리 모두는 엣지있으니까.
아무것도 아니었지만, 그래서 뭔가를 새롭게 바꿀 수 있었던 중성자의 시크함을 배워봐요 우리. 아무것도 아니게 되어버리는 순간에 찾아오는 허망한 빈자리를 새로움으로 채워보며 다시 시작해 보는 시크한 사람이 되어보아요 우리. 오늘도 물리를 통해 인생을 배웁니다.
'2024 고급물리학' 카테고리의 다른 글
| [고급물리학] 열역학 ① {상태방정식, 기체 분자 운동론, 열과 일의 관계, 열역학 제1법칙, 열역학 과정} (4) | 2024.06.11 |
|---|---|
| [고급물리학] 일반상대성이론 (2) | 2024.06.10 |
| [고급물리학] 특수상대성이론 ① {시간과 공간의 상대성} (3) | 2024.06.03 |
| [고급물리학] 기하광학, 거울과 렌즈에서의 광학 (3) | 2024.05.31 |
| [고급물리학] 파동의 중첩에 따른 간섭과 회절 (1) | 2024.05.23 |