학습 목표
- 이상 기체 상태 방정식으로 이상 기체의 특성을 설명할 수 있다.
- 기체의 내부 에너지와 온도, 압력 등을 분자 운동 모형으로 설명할 수 있다.
- 등분배 정리를 이용하여 내부 에너지를 계산할 수 있다.
- 열과 일의 출입과 관련한 열역학 제1법칙을 이해하고 다양한 열역학 과정을 설명할 수 있다.
물리학 전개도

판서 조직도

1. 기체 분자 운동론
온도, 압력, 부피는 기체 분자들의 디테일한 움직임을 평균값으로 치환한 통계적인 물리량입니다. 개별 분자들의 디테일한 운동이 에너지, 온도, 압력에 어떻게 영향을 미치는지 간단한 모형을 이용하여 살펴봅시다.

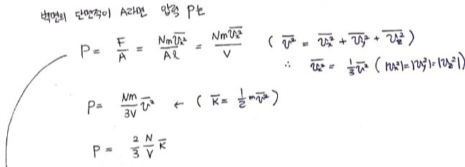
1) 벽면에 작용하는 힘

2) 벽면에 작용하는 압력

3) 기체 분자의 운동 에너지와 평균 속력

케틀레의 통계 이론에 영감을 받은 맥스웰, 낯선 것에서 낯익은 것을 창조하는 융합적 구조 접속
기체에는 너무나 많은 분자들이 포함되어 있기에 기체 분자 몇 개의 운동을 안다고 해도 그 기체들이 어마어마하게 모였을 때 나타나는 효과를 계산하기는 어렵습니다. 오래전부터 사람들은 어떻게 해야 수많은 기체 분자들의 운동을 계산할 수 있을지 궁금해했습니다.


맥스웰은 벨기에의 통계학자이자 천문학자인 케틀레가 발전시킨 통계적 방법에서 아이디어를 얻었어요. 케틀레는 수많은 인간들의 집단이라 볼 수 있는 사회에서 나타나는 여러 현상들이 매우 복잡해 보이지만, 그 안에 규칙성이 있을 것이라고 생각했습니다. 그 결과는 정상분포 곡선을 그릴 것이며 그것을 통해 곡선의 평균값에 해당하는 '평균적 인간'의 특성을 포착해 낼 수 있을 것이라고 생각했죠.

맥스웰은 기체 입자 각각은 0에 가까운 아주 느린 속도부터 엄청 빠른 속도까지 매우 다양한 속도를 갖겠지만 기체 입자들의 속도 전체를 모아놓고 보면 정상분포 곡선을 그릴 것이라는 가정하에 기체 입자들의 속도 분포 곡선으로부터 그 기체의 물리적 특성을 찾아내는 방법을 개척해나갔습니다. 이를 통해 기체 입자의 운동을 다루는 통계적이고 확률적인 방법을 세운 것이죠.
맥스웰이 기체를 다루는 창조적인 방법을 찾아낸 것은 인간과 사회를 대상으로 한 분석을 통해서였습니다. 사실 케틀레의 통계적 분석 방법 자체는 이미 천문학에서 사용되고 있었던 것이지만 그것으로 집단의 특성을 분석한다는 구상은 케틀레만의 통찰이었죠. 한마디로 '맥스웰의 분자'는 '케틀레의 사회'에서 그리고 '케틀레의 사회'는 '천문학'에서 영감을 얻어온 것입니다.
2. 기체가 하는 일과 내부 에너지
1) 기체 분자 운동에 의한 일
기체가 하는 일은 힘과 이동 거리로 나타내기보다 압력과 부피로 나타내는 것이 편리합니다. 기체가 처음 부피에서 나중 부피로 변할 때 기체가 한 일 W는 다음과 같아요.


그래프는 처음 상태 i에서 나중 상태 f로 변하는 서로 다른 열역학 과정이고, 각 경로를 따라서 기체가 한 일은 색칠된 면적과 같습니다. 이처럼 처음 상태와 나중 상태가 같더라도 다른 열역학 과정을 따르는 경우 기체가 한 일은 달라져요.
2) 내부 에너지
기체 분자의 역학적 에너지를 기체 분자의 '내부 에너지'라고 합니다. 이상 기체 분자끼리는 서로 상호 작용을 하지 않기 때문에 분자 간 퍼텐셜 에너지가 무시돼요. 지구와 물체 간 상호작용에 의한 중력 퍼텐셜 에너지 같은 거라고 생각하면 됩니다. 따라서 이상기체의 내부 에너지는 곧 기체 분자의 운동 에너지라고 생각하면 됩니다.
① 절대온도 T
열역학에서는 우리에게 익숙한 온도 단위인 섭씨온도 [℃]보다는 절대 온도 [K]를 사용합니다. 섭씨온도를 절대온도로 환산하려면 섭씨온도에 273을 더하면 돼요.
'절대온도 T[K]= 섭씨온도[℃] + 273'
켈빈의 인맥
절대온도의 단위는 절대온도 체계를 정립한 영국 과학자 윌리엄 켈빈 경의 공로를 인정해 그의 이름을 따서 정한 것입니다. 그러나 이것 말고도 켈빈은 사람과 사람사이에 다리를 놔줌으로써 물리학에 혁혁한 공을 세웠어요. 지금 우리가 누리는 첨단 정보통신의 기술은 상대성 이론의 산물입니다. 아인슈타인의 상대성 이론은 전자기 방정식을 완성한 맥스웰이 없었으면 불가능했습니다. 맥스웰 방정식은 전기와 자기의 관계를 다룬 패러데이 이론이 없었다면 불가능했고요. 그런 맥스웰에게 패러데이를 소개한 사람이 바로 켈빈입니다. 켈빈이 패러데이를 맥스웰에게 소개하지 않았다면 맥스웰 방정식, 상대성 이론이 등장하는 데 더 오랜 시간이 걸리지 않았을까요?
② 온도와 내부 에너지의 관계
기체의 온도가 높다는 건 그만큼 기체 분자의 운동이 활발하다는 뜻이고, 기체의 온도가 낮다는 건 그 반대죠. 따라서 기체 분자의 운동 에너지, 즉 기체의 내부 에너지는 온도에 비례합니다.
'U(내부 에너지) ∝ T(절대 온도)'
따라서 기체의 온도가 높아질 때(△T>0) 기체의 내부 에너지는 증가(△U>0)하고, 기체의 온도가 낮아질 때(△T<0) 기체의 내부 에너지는 감소(△U<0)합니다.
3) 상태 방정식
기체의 상태는 부피, 압력, 온도에 의해 정의됩니다. 이때 기체 분자들끼리 어떠한 상호 작용을 하지 않는 가상의 기체를 '이상 기체'라 하고, 이상 기체의 상태, '부피-압력-온도'는 다음과 같은 관계를 만족합니다.


위의 식을 '상태 방정식'이라 해요. 이를 통해서 온도가 일정한 상태에서 부피와 압력의 반비례 관계(=보일의 법칙), 압력이 일정할 때 온도와 부피의 비례 관계(=샤를의 법칙)를 확인할 수 있습니다.

실온과 대기압 하에서 공기 분자들의 평균 거리는 대략 분자 크기의 열 배쯤 됩니다. 기체 분자 간의 거리가 충분히 멀면 분자들끼리 상호작용 하는 효과가 미미하기 때문에 일상의 공기를 이상 기체로 간주할 수 있어요.
4) 등분배 정리
앞서 구했듯이 단원자 분자 이상 기체의 병진 운동에너지는 K=3/2 NkT입니다. 이는 계의 내부 에너지 U가 3/2 NkT라는 뜻이에요. 이처럼 이상 기체의 내부 에너지는 온도에만 의존하는 함수입니다. 한편 한 방향의 병진 운동에 대한 분자당 평균 운동 에너지는 1/2kT이고, 입자는 세 방향(x, y, z)으로 움직이므로 각 방향당 1/2kT만큼의 에너지가 균등하게 분배된다고 볼 수 있습니다. 이를 '등분배 정리'라고 해요.
운동 에너지와 같이 2차 함수 형태로 표현되는 에너지는 회전 운동 에너지, 탄성에 의한 진동 에너지가 있는데 이들도 등분배 정리에 따라 각각 1/2kT만큼의 에너지 값을 갖습니다. 만약 N개의 분자들로 이루어진 계에서 분자들이 2차 함수 형태로 표현되는 f개의 에너지를 갖고 있다면 이 계의 내부 에너지는 등분배 정리에 의해 U= f/2 NkT가 됩니다.
| 운동 상황 | f(=자유도) |
| 3차원 병진 운동만 하는 경우 | 3 |
| 3차원 병진 운동 + 회전 | 3+1 |
| 3차원 병진 운동 + 탄성 진동 | 3+1 |
| 3차원 병진 운동 + 회전 + 탄성 진동 | 3+1+1 |
3. 열역학 제1법칙
1) 사실은 에너지 보존 법칙


밥을 먹고(Q) 몸을 움직이면(W) 그 차이만큼의 에너지(△U)가 체내에 축적됩니다.
'△U = Q - W'
어떤 계(system)의 내부 에너지 변화량(△U)은 계에 출입한 열(Q)에서 계 내부의 기체가 한 일(W)을 뺀 양과 일치함을 알 수 있어요. 이 관계를 설명하는 법칙이 '열역학 제1법칙'입니다. 식을 정리하면 다음과 같습니다.
Q=△U+W
사실 열역학 제1법칙은 열에너지와 역학적 에너지를 포함한 보다 일반화된 '에너지 보존 법칙'이에요.
부호 규칙
| Q>0 계가 열을 흡수 |
Q<0 계의 열이 방출 |
| △U>0 계의 온도 증가 |
△U<0 계의 온도 감소 |
| W>0 기체가 외부에 일을 함 |
W<0 기체가 외부로부터 일을 받음 |
2) 열의 일당량
물체에 열 Q를 가하면 물체의 온도가 △T 만큼 변합니다. 이것을 정량적으로 표현하면
Q = C △T (= △U + W)
한 물체의 온도를 △T 만큼 변화시키는 데 필요한 열의 양을 Q라 하면 물체에 따라 필요한 열의 양이 다를 것이므로 물체의 특성을 반영한 물리량이 필요합니다. 이것을 물체의 열용량 C라 하고, 열용량 C은 물체의 온도 1도 올리는 데 필요한 열의 양으로 정의해요.

줄은 그림과 같이 회전할 수 있는 날개가 있는 용기에 물을 담고 외부에서 일을 하여 날개를 회전시키는 실험을 하였습니다. 그 결과 물의 온도가 올라가는 것을 확인하였고, 날개를 돌리는 데 해준 일과 물의 온도 증가로부터 열과 일 사이에 정량적으로 1 cal = 4.18J의 관계가 성립한다는 것을 알아냈어요. 줄은 계에 에너지를 전달한다는 면에서 일(W)과 열(Q)이 동등하다는 사실을 알아냈고, 그 관계를 '열의 일당량'이라 했어요.
3) '상태 방정식'과 '열역학 제1법칙'으로 분석하는 열역학 과정
① 등압 과정

등압 과정은 압력 P이 변하지 않는 열역학 과정입니다.

반대의 과정에서는(=부피가 줄어드는 경우) △V<0 이므로 W<0 이고, 온도가 감소하므로 △U<0이어서 Q<0 이게 됩니다. 따라서 이 경우는 계가 열을 방출합니다.
② 등적(=정적) 과정

등적 과정은 부피 V가 변하지 않는 열역학 과정입니다. 따라서 계 내부의 기체가 하는 일 W이 0이 되기 때문에 열역학 제1법칙 'Q = △U + W'에 의해 열 출입이 내부 에너지 변화에만 기여하게 돼요.

반대의 과정(=압력이 줄어드는 경우)엔 온도가 감소하므로 계가 방출한 열만큼 내부 에너지가 감소합니다.
③ 등온 과정

등온 과정은 온도 T가 변하지 않는 열역학 과정입니다. 따라서 계의 내부 에너지 변화량 △U이 0이 되기 때문에 열역학 제1법칙 'Q = △U + W'에 의해 열 출입이 계 내부의 기체가 하는(or 받는)일에만 기여해요. 이때 일의 양을 구해봅시다.


④ 단열 과정

단열 과정은 외부로의 열출입이 없는 열역학 과정입니다. 따라서 Q=0이에요. 열역학 제1법칙 'Q = △U + W'에 의해서 △U = - W이 됩니다. 즉 계 내부의 기체가 외부에 일을 하면 계의 온도는 낮아지고, 반대로 외부로부터 일을 받으면 계의 온도는 높아집니다.

앞서 요긴하게 쓰였던 상태 방정식은 단열 과정에서는 제 힘을 발휘하지 못합니다. 그 이유는 단열 과정이 일어나는 동안 부피와 압력 및 온도가 모두 변화하여 등압 과정에서의 압력, 등적 과정에서의 부피처럼 통제할 수 있는 변인이 하나도 없기 때문이에요.
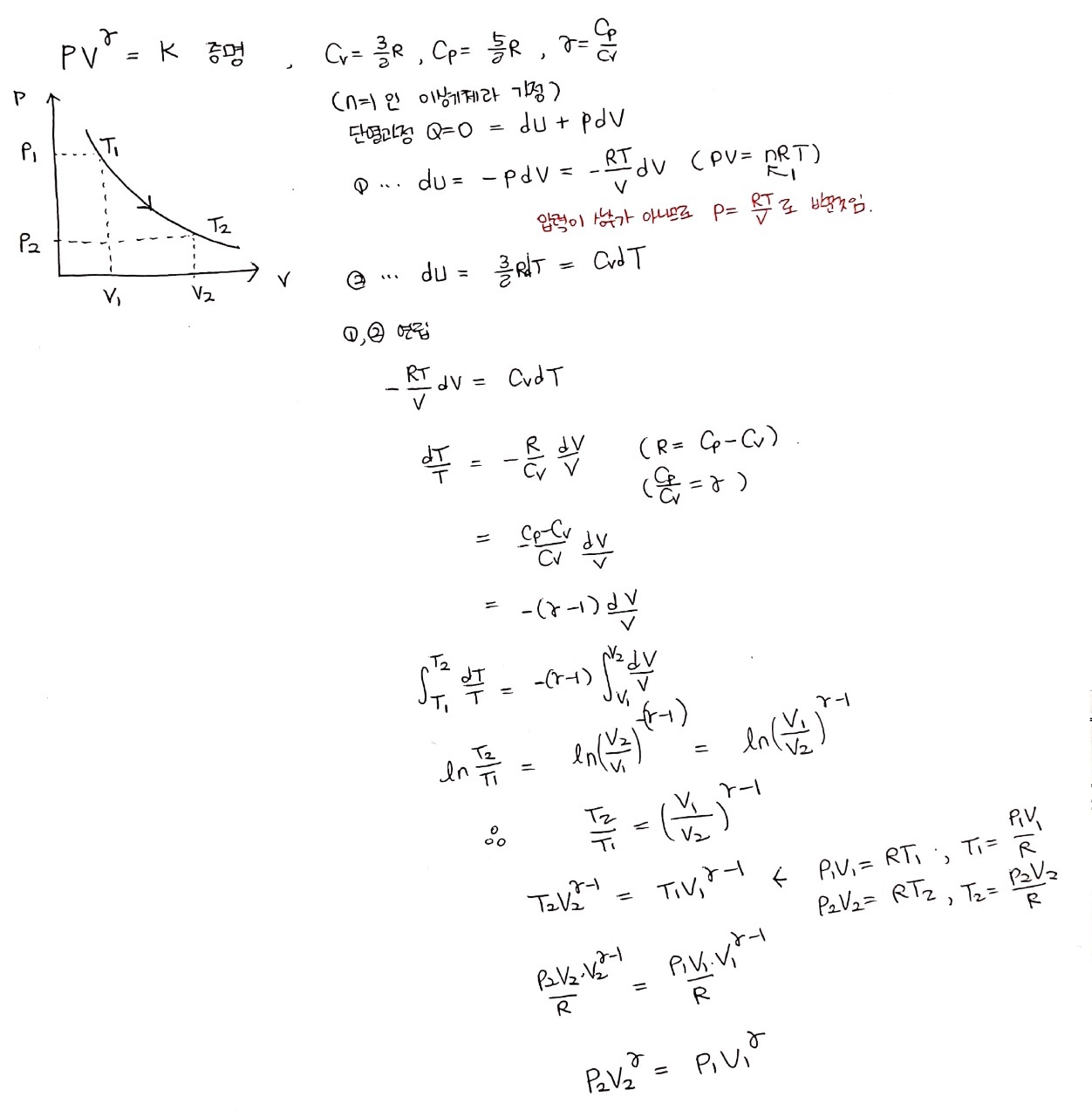
몰비열비
단열선은 등온선보다 훨씬 가파릅니다. 등온선에 한해서는 PV=NkT(T가 상수)에 의해 PV=상수, 즉 부피와 압력이 반비례합니다. 단열선도 얼핏 볼 때, 부피와 압력이 반비례하는 것처럼 보이지만, 부피와 압력의 정량적인 관계는 다음과 같이 정의돼요.

단원자 이상 기체의 등적 몰비열, 등압 몰비열을 구해보고 단열선에 적용되는 부피, 압력 관계를 증명합시다.
이는 카르노 기관에서 열효율을 구하기 위해 알아야 할 선행 개념이므로 꼭 이해해야 돼요.

단열선에서 부피와 압력의 관계

비행운 - 문문
어제와 오늘의
온도가 너무 달라서
비행운이 만들어졌네
내가 머물기에
여기는 너무 높아서
한숨 자국만 깊게 드러났네


비행운은 '단열 팽창'과 관련된 현상으로 구름이 생기는 이유와 동일합니다. 비행기 내부의 제트엔진 속 좁은 공간에 있던 공기들이 대기 중으로 분출되면 공기의 압력이 낮아지면서 부피가 커져요. 워낙 빨리 이루어지는 과정이다 보니 외부의 열 출입이 제한되어 기체 스스로 부피를 팽창시키느라 자신의 에너지를 온전히 다 써버리기 때문에 기체의 온도가 낮아지게 됩니다. 이로 인해 제트엔진에서 배출된 배기가스의 수증기가 자그마한 물방울로 응결되는 거죠. 비행운은 이 응결된 물방울 주위로 다른 수증기가 모여 생긴 기나긴 구름입니다.
비행운, 비행기의 한숨 자국

해와 달이 떠 있는 높은 곳에 가기 위해 비행기는 힘차게 비상합니다. 뜨거운 이상을 품은 채로.
하지만 비행기는 마주하게 되죠. 그곳은 머물기에 너무 높다는 사실을 알려주는 차갑고 혹독한 현실을.
결국 비행기는 현실과 타협하게 됩니다. 큰 욕심을 부리지 않고 자신이 머물기에 적당한 곳만을 배회하기로.
한때 바랐던 곳을 그저 바라만 볼 수밖에 없는 씁쓸함에 내쉬어지는 비행기의 한숨 자국은 비행운으로 남습니다. 결국 '비행운'은 한때 누구 못지않게 뜨거웠지만 냉혹한 현실에 짜게 식어가는 우리의 인생을 자조하는 노래인 셈입니다.
비행운, 나의 한숨 자국

'꿈을 이룬 멋진 사람이 되고 싶다. 바라던 대로 이루어졌으면 좋겠다. 가급적 빨리'
누구나 한 번쯤은 가져 봤을 희망 사항입니다. 저도 그랬어요. 기왕이면 빠른 게 좋다는 생각에 앞만 보고 달렸던 적이 있었습니다. 그저 앞에 있는 이상만을 주시하며 달리다 보니 주변 풍경이 눈에 들어올 리 없었죠. 그렇게 시야가 좁아지다 보니 욕심은 더 커져갔고, 그런 욕심이 만드는 허울은 현실을 똑바로 보지 못하게 하더라고요. 공교롭게도 그럴 때마다 이상과 현실 간의 괴리를 마주하는 순간은 어김없이 찾아왔습니다. 그럴 때마다 '얼마나 더 빨리 달려야 하는 것인가'라는 현타가 오면서 나 자신이 초라해지다가도 문득 그런 생각이 들더라고요. '빨리빨리'에 매몰되어 미래를 담보로 현재를 희생시켰던 나 자신이 안쓰럽다는 뭐 그런 거.
단열 팽창 과정의 온도차는 계 내부의 역학적 변화가 빨리 일어나는 것에 기인했던 것처럼 이상과 현실 간의 괴리에 따라오는 현타 역시 '빨리빨리'에서 비롯된 게 아닌가 하는 생각이 들었습니다. 결국 비행운은 빨리빨리에 매몰되어 미래를 담보로 현재를 희생시켰던 나의 한숨 자국이었습니다.
빠르게 가려고 하지 말라, 대신 일찍 시작하라.

그런 나에게 '나의 하루는 4시 30분에 시작된다.'는 큰 깨달음을 준 고마운 책이었습니다. 빨리 되려 하지 말고 남보다 일찍 시작하는 사람이 돼라는 저자의 메시지가 내게 큰 울림으로 다가왔어요. 더 이상 미래를 담보로 현재를 희생시키지 않아도 되는 법을 가르쳐 준 책입니다. 현재가 갖는 소중한 가치를 깨닫고, 보다 더 현명하게 현재를 보낼 수 있는 체계적인 시간 관리법을 터득하여 비행운 너머 무지개를 볼 수 있는 여유 있는 사람이 됐으면 좋겠습니다. 오늘도 물리를 통해 인생을 배웁니다.
'2024 고급물리학' 카테고리의 다른 글
| [고급물리학] 양자 역학 ① {흑체 복사, 광전 효과, 콤프턴 산란, 데이비슨-거머 전자 산란 실험} (4) | 2024.06.18 |
|---|---|
| [고급물리학] 열역학 ② {열역학 제2법칙, 엔트로피, 열기관의 열효율, 카르노 기관, 기체의 자유팽창} (0) | 2024.06.11 |
| [고급물리학] 일반상대성이론 (2) | 2024.06.10 |
| [고급물리학] 특수상대성이론 ② {질량과 에너지의 관계} (2) | 2024.06.07 |
| [고급물리학] 특수상대성이론 ① {시간과 공간의 상대성} (3) | 2024.06.03 |