2022.06.10 - [2024 고급물리학] - [고급물리학] 일반상대성이론
[고급물리학] 일반상대성이론
2021.06.09 - [2024 고급물리학] - [고급물리학] 특수상대성이론 ② {질량과 에너지의 관계} [고급물리학] 특수상대성이론 ② {질량과 에너지의 관계}2021.06.09 - [2024 고급물리학] - [고급물리학] 특수상
gooseskin.tistory.com
뉴턴과 맥스웰의 업적 때문에, 20세기 초의 물리학자들은 성경에 나오는 창조의 이야기를 다음과 같이 고쳐 썼을지도 모릅니다.
태초에 하나님은 하늘과 땅을 창조하시고

"빛이 있으라" 말씀하셨다.

인간이 수학과 과학이라는 도구를 이용하여 자연의 기저에 숨겨진 신의 언어를 해석한 것처럼 보였습니다. 어디까지나 거시 세계로 한정한다면 말이죠. 미시 세계에서의 역학을 분석하기 위해 도입된 고전 통계학은 그 시대 다른 과학적 발견과 시너지를 일으키며 미시 세계 역학은 확률론적으로 해석되어야만 한다는 결론에 다다르게 하였습니다. 결정론적 관점을 취했던 아인슈타인을 비롯한 고전 물리학자들은 "신은 주사위 놀음을 하지 않는다."는 유명한 말을 하며 이러한 확률론적 접근을 거부하였어요. 그러나 "신에게 이래라 저래라 명령하지마라."는 보어의 일축으로 시대의 흐름은 미시 현상의 확률론적 접근이 주를 이루는 양자 역학에 손을 들어주기 시작했습니다.
학습 목표
- 고전 역학의 한계를 나타내는 흑체 복사와 자외선 파탄을 설명할 수 있다.
- 빛의 입자성을 나타내는 광전 효과와 콤프턴 효과를 설명할 수 있다.
- 물질파의 개념을 이해하고 물질의 운동량으로부터 드브로이파를 계산할 수 있다.
- 전자의 파동성의 증거인 전자 회절을 설명할 수 있다.
물리학 전개도

판서 조직도

1. 흑체 복사
일반적으로 뜨거운 물체는 열 복사를 통해 전자기파를 방출합니다. 물체의 복사로부터 나오는 전자기파는 적외선, 가시광선, 자외선 영역을 포함하고 있으며 방출되는 전자기파의 파장은 온도에 따라 달라집니다. 물체의 온도가 높아짐에 따라 빛의 색깔이 점차 붉은색에서 노란색, 나중에는 푸른색으로 변하게 됩니다. 천체의 표면 온도에 따라 발현되는 색이 다른 이유가 이 때문이죠.

이러한 복사의 원인을 이해하는 과정에서 고전 물리학으로 설명하기 힘든 사실들을 알게 되었고, 그 과정으로부터 양자 역학이 탄생했습니다. 물체의 복사를 이해하기 위해서 이상적인 물체, 들어오는 모든 빛을 흡수하는 '흑체'를 정의해야 합니다.

아주 작은 구멍이 있는 흑체가 있습니다. 이 구멍으로 들어오는 모든 빛은 흑체 내부에 갇히게 되어 흑체에 흡수될 때까지 계속해서 반사합니다. 이렇게 들어온 모든 빛을 흡수한 흑체는 외부로 빛을 방출하게 되는데, 이를 '흑체 복사'라 합니다. 특정 온도 T에서 흑체로부터 방출되는 빛의 파장에 따른 세기를 측정함으로써 흑체 복사의 성질을 알 수 있어요.
1) 흑체 복사를 설명하는 법칙
① 슈테판-볼츠만 법칙


첫째, 흑체에서 방출되는 빛들은 연속적인 파장 분포로 구성되어 있으며(=그래프의 선이 쭉 연결되어 있음), 모든 파장에 대해 복사되는 빛 에너지는 절대 온도의 네제곱에 비례합니다. 즉, 복사 에너지 스펙트럼은 물체의 온도에 의존합니다.

② 빈의 변위 법칙
둘째, 흑체 복사 스펙트럼에서 온도가 증가함에 따라 빛의 최대 파장(=최대 에너지 밀도와 관련된 파장, 그래프에서 최고 꼭지를 나타내는 파장)이 감소합니다. 이를 '빈의 변위 법칙'이라고 해요.

즉 온도가 높을수록 파장이 짧은 빛이 방출됩니다. 즉, '빈의 변위 법칙'은 천체의 표면 온도에 따라 방출되는 빛의 파장이 다르기 때문에 색깔이 다른 것임을 설명합니다. 이러한 흑체복사의 성질을 설명하기 위해 빈과 레일리 그리고 진스는 고전 열역학의 통계론적 관점을 이용하여 수학적 수식을 만들었습니다.
2) 흑체 복사를 설명하기 위한 노력
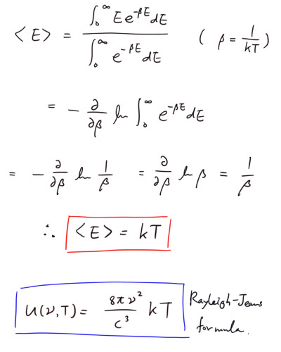
① 레일리-진스 공식

문제는 이 식이 진동수가 작은 영역에 대해서는 설명을 잘하지만, 진동수가 큰 영역에서는 설명을 하지 못한다는 점이었죠. 레일리-진스 공식에 따르면 진동수에 비례하여 에너지 밀도가 기하급수적으로 증가해야 하지만 실제로는 자외선 영역에서 그래프가 푹 꺼져 0으로 수렴합니다.

② 플랑크의 수정

플랑크의 수식은 진동수가 어떤 영역에 있든 에너지 밀도의 변화를 잘 설명합니다. 이제 플랑크는 왜 그런 함수가 등장해야만 하는지 설명할 수 있는 물리적으로 타당한 모델을 만들어야만 했어요. 1900년 후속 논문에서 플랑크는 바로 그런 모델을 만들어 제시합니다. 플랑크의 모델은 어떤 진동자를 가정하는 데서 출발했어요. 그 진동자의 물리적 실체가 무엇인지에 대한 명확한 답은 살짝 회피한 채, 다만 '어떤 진동자에 있어, 그 진동자의 에너지가 상수값 h와 진동수 f를 곱한 값의 정수배로만 정의돼야만 흑체복사 실험 결과를 아주 잘 설명할 수 있다.'는 것이 논문의 취지였습니다. 플랑크는 논리적 사고 대신 직관적 사고를 발휘함으로써 소위 말해 답을 찍은 거였죠. 그러니 플랑크는 자신의 가설이 갖는 의의, '양자화된 숫자로 자연현상 이해하기'를 토대로 양자 역학이 시작될 수 있음을 전혀 눈치채지 못했어요. 1900년 플랑크가 쓴 두 편의 논문 어디에도 '양자'란 단어는 등장하지 않습니다.
③ 아인슈타인의 광양자론에 이르기까지
5년 후인 1905년, 아인슈타인이 발표한 광전 효과 논문에 '양자'가 본격적으로 여러 군데 등장합니다. 그는 원자의 띄엄띄엄한 측면과는 달리, 맥스웰의 이론을 따르는 전자기파에는 그런 띄엄띄엄한 성질이 없다는 점을 지적해요. 빛의 근원이 되는 물질은 띄엄띄엄한 불연속적인 속성을 갖고 있는데 막상 그 배출물인 빛은 연속성만 갖고 있다는 점이 불편하게 느껴진 거죠. 아인슈타인은 '디지털'의 원자와 '아날로그'의 빛 사이의 부조화는 단지 우리의 착시 현상일 수도 있다고 항변합니다. "우리가 보는 빛의 현상은 단지 오랜 시간을 두고 관측한 평균적인 현상일 뿐, 원자가 빛을 방출하는 그 '순간'을 본 것은 아니지 않은가?" 이런 취지로 아인슈타인은 디지털과 아날로그 사이에 융합점이 있을 수 있다고 넌지시 제시하죠.
이런 사고는 21세기 디지털 시대를 살고 있는 우리에겐 낯익습니다. 모든 정보를 디지털화해 버린 컴퓨터를 통해 우린 아날로그적 음악을 듣고 영화를 보잖아요. 초당 24개 이상의 화면을 보여주기만 하면 그걸 연속적인 영상, 즉 영화로 착각하는 게 우리의 시각적 능력인데, 수억 분의 1초, 수조 분의 1초 사이에 벌어지는 원자의 빛 방출 현상에 대해 우리의 경험이 어찌 단호한 판단을 내릴 수 있을까요. 아인슈타인은 우리의 불완전한 인지 능력이 가진 허점을 교묘하게 파고들어, 빛도 디지털적 존재라고 볼 여지가 충분히 있다고 본겁니다. 그리고 그는 플랑크가 말했던 진동자가 곧 빛이라는 해석을 조심스럽게 내비치죠. 그로부터 약 10년 후, 미국의 뛰어난 실험물리학자 밀리컨은 아인슈타인의 예측이 정확했음을 검증합니다. 빛이 양자화된 에너지 덩어리라는 개념은 이런 식으로 차츰차츰 과학적 상식이 되어갔습니다.
2. 빛의 입자성
1) 광양자론
1905년에 아인슈타인은 빛이 양자화되어 있고, 광자라는 기본량들로만 존재할 수 있다고 제안합니다. 그 제안에 의하면 진동수 f를 갖는 빛의 양자는 다음의 에너지를 갖습니다.
E= hf , h=플랑크 상수
이에 덧붙여 아인슈타인은 빛은 광자의 불연속적인 집합으로써 광자 1개가 갖는 에너지가 'hf'이기 때문에 빛 에너지는 hf의 정수배로만 정의된다고 보았습니다. 즉 빛 에너지는 불연속적으로 양자화되어 있죠,.

즉, 빛은 0.6hf 또는 75.5hf와 같은 에너지를 가질 수 없습니다.
2) 광양자론으로 분석하는 광전효과

광자 1개는 금속 안에 있는 여러 개의 자유 전자와 상호작용하지 않고, 오로지 1개의 자유전자와만 상호작용합니다. 다시 말해 광자와 전자는 1대 1로만 상호작용합니다. 따라서 광자 전체가 아닌 광자 1개가 갖는 에너지만이 금속의 자유전자 탈출 여부를 결정합니다.
① 광자 에너지가 금속의 일함수보다 작을 때


금속의 일함수 W(=hf', f'는 금속의 문턱 진동수)는 원자핵에 속박된 전자 가운데 딱 한 개를 빼낼 때 필요한 에너지를 말합니다. 광자 에너지 hf가 금속의 일함수 hf'보다 작을 때는 금속에서 전자가 방출되지 않습니다.
② 광자 에너지가 금속의 일함수보다 클 때



광자 에너지 hf가 금속의 일함수 hf'보다 클 때 금속에서 전자가 방출됩니다. 이때 방출되는 광전자의 최대 운동 에너지는 다음과 같이 정의돼요.

광전자의 최대 운동 에너지는 광자의 에너지와 금속의 일함수에 의해 결정되는 거지, 빛의 세기와는 전혀 무관합니다.

③ 빛의 세기를 증가시킬 때
빛의 세기가 세다는 건 빛을 이루는 광자의 개수가 많다는 뜻입니다. 이는 광자와 매칭되는 전자의 수가 많아짐을 의미하므로 빛의 세기가 셀수록 방출되는 광전자의 수가 많아집니다. 물론 광자 1개의 에너지가 금속의 일함수보다 크다는 전제하에서요.
고전 물리학과 광전 효과의 모순
고전 물리학에 따르면 전자기파의 전기장 진폭이 클수록 빛의 밝기는 세집니다.

금속에 빛이 입사하면 금속의 전자는 전자기파의 전기장 사인파 진동에 따라 움직여요. 전기장의 진동, 즉 진폭이 큰 빛(=밝은 빛)이 입사하면 움직이는 전자의 진폭도 커지기 때문에 전자는 금속으로부터 튕겨나가기 쉽습니다. 그러나 실제로는 엄청 밝은 빛을 쬐어주어도 금속에서 전자가 탈출하지 않을 수 있고, 반대로 거의 감지할 수 없을 정도로 희미한 빛을 쬐어주어도 금속에서 전자가 탈출할 수 있다는 겁니다. 그 이유는 전자의 탈출 여부는 빛의 밝기가 아닌, 빛의 진동수가 결정하기 때문이죠. 이는 빛을 파동이 아닌 입자로 봐야 설명할 수 있는 현상이에요.
3) 콤프턴 산란
아인슈타인은 빛이 입자라면 빛도 운동량을 갖지 않겠느냐는 아이디어를 제안합니다. 따라서 물질과 충돌하는 광자의 운동량은 변해야 한다고 보았죠. 1923년에 콤프턴은 이 아이디어를 실험으로 증명합니다.

콤프턴은 흑연 표적에 파장이 λ인 X선을 입사시킨 후, 흑연 표적으로부터 여러 방향으로 산란되는 X선의 파장과 세기를 측정하였습니다.
① 빛의 파동적 관점
산란되는 X선의 파장은 입사하는 X선의 파장과 같아야 합니다. X선은 사인파 형태로 진동하는 전자기파예요. X선이 흑연에 입사하면 전자 역시 사인파 형태로 진동해야 합니다. 그네를 밀어주는 리듬에 따라 그네가 진자 운동을 하듯이 전자는 입사하는 X선과 똑같은 진동수로 진동을 합니다. 이때 가속 운동하는 전자는 전자기파를 방출하는데요. 전자는 입사하는 X선의 진동수로 진동을 하기 때문에 입사하는 X선과 같은 특질의 전자기파를 방출하고, 이 결과가 산란으로 나타나는 겁니다. 따라서 산란되는 X선의 파장은 입사하는 X선의 파장과 같아야 합니다.
② 실험 결과

실험 결과, 산란된 X선의 일부는 파동적 관점에서 예상한 대로 입사한 X선과 비교했을 때 파장의 변화가 없었어요. 그러나 일부는 그렇지 않았습니다. 입사한 X선의 파장보다 길어졌어요. 더욱이 산란되는 각도가 클수록 파장의 변화는 더욱 드라마틱하게 길어졌습니다.
③ 빛의 입자적 관점


콤프턴은 X선을 구성하는 광자 한 개와 정지해 있는 전자 사이의 입자적 상호 작용에 집중하였습니다. 위 그림은 이러한 상호작용에서 에너지와 운동량이 보존된다는 입자적 관점을 기반으로 정리한 수식입니다.
X선이 입사하면 X선의 광자가 전자와 충돌하기 때문에 전자는 튕겨나가게 되고, 광자의 진행 방향은 꺾이게 됩니다.(=X선의 산란) 이 과정에서 광자의 에너지 일부가 전자의 운동 에너지로 전달되기 때문에 산란되는 광자의 에너지는 입사하는 광자의 에너지보다 작아져야 합니다. 그에 따라 일부 산란하는 X선의 파장이 길어진 거였죠. 콤프턴은 에너지와 운동량을 주고받는 빛의 입자적 상호 작용을 실험으로 증명함으로써 아인슈타인의 광양자론에 힘을 실어주었습니다.
콤프턴 산란 관계식 증명

3. 입자의 파동성
1905년에 아인슈타인이 마지막으로 출판한 네 번째 논문에는 유명한 식이 등장합니다.

뉴턴역학에서의 운동량 p은 움직이는 물체의 질량 m과 속도 v의 곱입니다. 문제는 빛이에요. 아인슈타인의 특수상대성이론에 따르면 빛만큼 빠르게 움직이는 물체의 질량은 0이어야만 하고, 그 물체는 절대적으로 빛뿐입니다. 빛의 에너지 E는 pc로 변하죠. 아인슈타인의 상대성 이론 체계에선 질량이 더 이상 물질적인 것에 불과하지 않았습니다. 설령 질량이 없는 입자라고 할지라도 운동량과 에너지라는 속성은 여전히 남아 있어요. 다시 말해 특수상대성이론에 따르면 빛 알갱이는 c라는 속력으로 끊임없이 움직이는 에너지 덩어리입니다.

다른 한편으로 플랑크의 공식은 빛 알갱이가 갖고 있는 에너지를 E=hf으로 표시해 주었습니다. 진동수 f는 'c=fλ'라는 관계를 만족해야 했고요. 그렇다면 빛의 에너지를 표현하는 데는 두 가지 방식이 존재한다는 결론에 도달합니다.
E=pc와 E= hf
만약 두 식이 동일한 빛 알갱이의 속성을 표현하는 서로 다른 방식에 불과하다면 어떤 일이 생길까요? 당연히 두 식은 동등해야 합니다. 여기서 마침 양변에 공통으로 등장하는 빛의 속력 c를 소거하고 나면 'p=h/λ'라는 관계가 남습니다.

가만히 생각해보면 이 식의 의미가 조금 알쏭달쏭합니다. 운동량은 뉴턴역학 이후로 줄곧 입자의 전형적인 속성으로 알려져 있었어요. 반면 파장은 파동의 전형적인 속성이었고요. 빛 알갱이에는 이 두 가지 속성이 공존합니다. 파동인 줄 알았던 빛에는 입자의 속성, 즉 운동량도 있습니다. 그 두 속성은 플랑크 상수를 통해 서로 연결된, 사실은 동일한 입자의 속성을 표현하는 서로 다른 언어일 뿐이었죠. 빛의 파장값을 토대로 빛의 운동량을 알 수 있게 됐습니다. 그렇다면 반대로 어떤 파장을 갖는 파동에는 그에 해당하는 운동량이란 속성이 있지 않을까란 생각을 할 수 있지 않았을까요? 그 장본인이 바로 드브로이입니다.
1) 드브로이 관계식


드브로이는 다음과 같은 대칭성을 눈여겨봅니다.
"전하가 만들어낸 빛이 이중성을 전제한다면, 그의 모체인 전하 역시 입자이기도 하면서 파동이지 않을까?"
이에 드브로이는 전자를 비롯한 입자들 역시 에너지와 운동량을 파동의 형태로 전달할 수 있음에 착안하여 입자의 파동적 성질, 물질파를 정의합니다.

드브로이 관계식은 입자의 운동량 P와 입자의 물질파 파장 λ의 대응 관계를 가정한 것입니다. 오해하지 마세요. 물질이 파동처럼 넘실넘실 거린다기보다는 파장 λ만큼의 파동적 성질(=굴절 및 간섭)을 보여주겠거니 생각해야 합니다.
운동에너지로 표현하는 드브로이 관계식

2) 입자의 파동성이 관찰되다.
①전자의 회절

물질파의 존재에 대한 드브로이의 예측은 3년 후 실험으로 검증됩니다. 전자와 양성자, 중성자 심지어 전자보다 50만 배나 무겁고 복잡한 요오드 분자를 이용한 실험에서도 입자들이 파동만이 갖는 특성인 회절 무늬를 보였거든요
②이중 슬릿에서 전자의 간섭 무늬



전자가 마냥 입자이기만 했다면 이중 슬릿을 통과한 전자는 스크린 상에 두 군데에만 도달했을 거예요. 하지만 실험 결과, 전자의 양이 많은 지점과 적은 지점이 번갈아 나타나는 소위 간섭무늬가 스크린에 나타납니다. 이는 전자가 파동처럼 행동했다고 봐야 설명이 되죠.
간섭 무늬 간의 간격

드브로이 관계식으로 정의한 λ값을 이용해 예측한 전자 간섭 무늬 간의 간격 △x은 소름 돋을 정도로 실제 관측값과 똑같습니다. 이를 통해 드브로이의 물질파 이론은 힘을 얻게 되었어요.
3) 데이비슨-거머의 전자 산란 실험

데이비슨과 거머는 가속된 전자들을 니켈 결정의 한 면에 입사시켰을 때 튀어나오는 각도에 따른 전자들의 분포를 관측하였어요. 그들은 전자의 파동성에 입각하여 전자가 특정 각도에서 보강 간섭을 일으켜 강하게 산란할 것이라는 예측을 했고, 실제로 특정 각도에서 산란이 강하게 일어남을 확인합니다.
브래그 회절 조건

'브래그 회절 조건'은 특정 각도로 입사한 전자가 강한 회절 무늬를 나타내는 조건입니다. 니켈 결정의 d는 X선의 간섭을 이용해 0.91옴스트롱임을 밝혀냈어요. 전자가 입사한 특정 각도를 브래그 조건에 대입하면 n=1인 경우에 전자의 물질파 파장은 1.65옴스트롱이 나옵니다. 한편 전자의 가속 전압이 54V이므로 입사하는 전자는 54eV의 에너지를 가집니다. 이 값을 드브로이 물질파 식에 대입하면 파장값은 1.67옴스트롱이에요. 이는 드브로이 물질파 이론이 예측한 값과 실재가 거의 일치함을 의미합니다.
정리하면, 아인슈타인의 공식 E=pc와 플랑크의 공식 E=hf가 갖는 등가성이 한 역할은 양자역학의 발전에 결정적인 계기였습니다. 두 공식의 등가성을 통해 본래 파동인 줄만 알았던 빛은 에너지 알갱이가 되고, 본래 입자인 줄만 알았던 것들은 거꾸로 파동이 됐기 때문이죠.
양자 역학은 상대성 이론과 함께 20세기에 들어 이룩된 현대 물리학의 큰 토대입니다. 빛이 파동이면서도 동시에 입자라는 게 밝혀지면서 양자 역학의 성립에 큰 실마리로 이어지게 돼요. 이로부터 자연스럽게 물질 또한 파동의 성질을 가지고 있음을 알게 되었고, 이를 바탕으로 전자를 비롯한 미시 세계의 운동을 성공적으로 설명할 수 있게 되었습니다.
양자 역학과 상대성 이론은 우리의 감각을 넘어서는 시공간에 대한 이해를 도와주는 반면 우주와 미시 세계의 실체에 대한 우리의 이해를 더욱 낯선 것, Alien thing으로 만들었습니다. 20세기 과학의 부적이라 할 수 있는 상대성 이론과 양자역학은 인간의 마음에는 궁극적으로 낯선 것이지만 상대성 이론과 양자역학은 인류뿐 아니라 외계인, Alien들도 알 수 있는 진리입니다.
Alien - 이수현
https://www.youtube.com/watch?v=UrsMx7Q_9IE
넌 이 판을 뒤집기 위해서 왔어
누군가 너의 기억을 지워
모든 걸 방해하는 거야
네게 특별한 힘이 있단 걸 알게 했으니
이젠 너에게 주어진 답이 있겠지
가끔 잘하고 있다가도 모든 것들이 낯설어질 때가 있습니다. 미래가 막연하기 때문이죠.
미래의 막연함은 인간의 마음에는 필연적으로 낯선 것이지만 그 필연적인 불안함에 방해받지 마세요.
미래는 아직 오지 않은, 본디 뜬구름 같은 시간입니다.
미래가 불확실하기에 내가 뭘 잘하고 있다 하더라도 낯설고 불안할 수밖에요.
그 불안함의 떨림을 아직 오지 않은 미래에 대한 설렘의 두근거림으로 승화시키는 특별한 힘은 여러분 안에 내재돼 있음을 기억하세요. 답은 여러분 안에 있습니다. 오늘도 물리를 통해 인생을 배웁니다.
'2024 고급물리학' 카테고리의 다른 글
| [고급물리학] 양자 역학 ③ {슈뢰딩거 방정식, 터널링} (6) | 2024.06.21 |
|---|---|
| [고급물리학] 양자 역학 ② {불확정성 원리, 보어의 원자모형} (0) | 2024.06.20 |
| [고급물리학] 열역학 ② {열역학 제2법칙, 엔트로피, 열기관의 열효율, 카르노 기관, 기체의 자유팽창} (0) | 2024.06.11 |
| [고급물리학] 열역학 ① {상태방정식, 기체 분자 운동론, 열과 일의 관계, 열역학 제1법칙, 열역학 과정} (4) | 2024.06.11 |
| [고급물리학] 일반상대성이론 (2) | 2024.06.10 |