학습 목표
키르히호프의 법칙을 이용하여, 다양한 회로 내 전류, 전압을 예측할 수 있다.
판서 조직도

1. 키르히호프의 법칙
키르히호프의 법칙을 이용하면 임의의 복잡한 회로에서의 전류를 알아낼 수 있습니다. 키르히호프 법칙은 전류에 관한 1법칙과 기전력에 관한 2법칙으로 이루어져 있고, 이 두 법칙을 수식으로 나타낸 방정식을 연립하여 회로에 흐르는 전류를 구하는 방식입니다.
1) 전류에 관한 1법칙, 전하량 보존 법칙
회로 내의 어느 지점에서든 들어오는 전류와 나가는 전류의 합은 같습니다.

2) 기전력에 관한 2법칙, 에너지 보존 법칙
기전력이란 저항 양단의 전위차(=전압)를 유지하여 전류 I를 지속적으로 흐르게 하는 능력입니다. 이름이 기전'력'이라서 힘인가 싶겠지만, 기전력은 전기적 퍼텐셜 '에너지'인 전위의 차이를 유지해 주는 능력이기에 힘보다는 에너지에 가까운 개념이에요.

① 에너지 보존 법칙
자연 만물의 기저에 있는 에너지 보존 법칙에 따라 회로 전체의 기전력은 회로 내의 각 저항에 걸려있는 기전력을 모두 합한 것과 같습니다.
② 보존력의 정의
회로 전체의 기전력은 각 저항에 걸려있는 기전력의 총합입니다. 이를 달리 표현하면, 회로를 따라 임의의 닫힌 고리를 설정하면 고리 내의 모든 기전력의 합은 0이라는 것입니다.

왜 그럴까요? 전기력이 보존력이기 때문입니다. 닫힌 경로를 따라 선적분한 값이 0임을 만족시키는 힘은 보존력이었어요. 따라서 고리 한 바퀴를 돌아 제자리로 왔을 때 기전력(≒전위차)의 총합이 0이 되어야 합니다. 전기력이 보존력이기 때문에 전기력에 의한 퍼텐셜 에너지, 즉 전위는 경로와 관계없이 위치에만 의존하는 함수였음을 상기하세요.
2. 키르히호프 법칙의 적용
실제 회로에 키르히호프의 법칙을 적용하기 위해서는 세심한 규칙과 순서가 필요합니다.
첫 번째, 회로에 흐르는 모든 전류의 방향을 설정하세요.
두 번째, 기전력 법칙을 적용할 고리를 설정합니다. 단, 고리의 진행 방향은 일관되게 적용해야 합니다.
세 번째, 설정한 고리의 진행 방향과 전류 방향, 기전력의 방향에 맞춰 부호를 적용하면서 기전력 법칙의 식을 만듭니다.

1) 저항이 직렬 연결된 회로

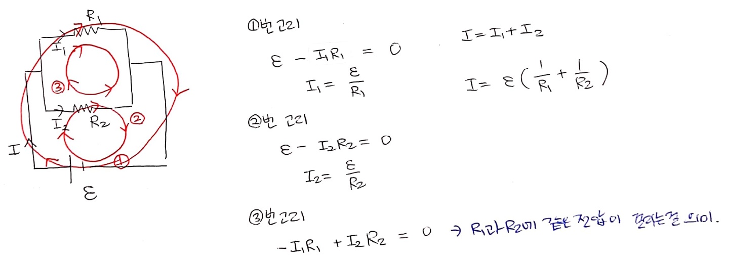
2) 저항이 병렬 연결된 회로

3) 직렬인지 병렬인지 모를 정도로 복잡하게 연결된 회로


사랑의 배터리 - 홍진영
https://www.youtube.com/watch?v=u8Jru1dp6wA
원래 영어 batter는 사정없이 강하게 때린다는 말이고 군사용어로 대포 여러 개를 병립해서 동시에 적진에 쏘는 포진을 배터리라고 했습니다.

거기에 비유하여 볼타가 만든 최초의 전지, 라이덴병 여러 개를 연결시켜 놓은 것을 배터리라고 불렀습니다. 이후 배터리가 전지라는 일반적인 용어로 굳어지고 나서는 여러 단위를 겹쳐놓지 않고 한 개만 있어도 그냥 배터리라고 부르게 되었습니다.
건전지로 인해 탄생한 전자기학
전기화학은 1800년도에 시작됩니다. 이탈리아의 볼타가 자신의 새로운 발명품 전지를 기술하는 논문을 발표하였고, 그것은 전 유럽 과학계에 센세이션을 일으켰습니다.

전지가 발명되기 전 전기라고는 정전기뿐이었습니다. 정전기가 재미는 있지만 사실 그것으로 할 수 있는 일은 별로 없습니다. 그저 인체에 충격을 주거나. 전기불꽃을 내거나, 가벼운 물체를 끌어올리는 등 할 수 있는 일이라고는 대부분 고상한 오락에 그쳤죠.

그러다가 전지가 발명됨으로써 전류가 흐르는 전기회로를 만드는 게 가능해졌고, 전류가 흐르는 회로를 토대로 전기와 자기의 상호작용을 이해할 수 있게 되었죠. 전류가 자기장을 만든다는 사실은 볼타가 전지를 발명하고 20년 후에 발견되었거든요. 거기서부터 시작하여 꾸준한 연구를 거듭해 탄생한 전자기학을 기반으로 인류는 전지 없이도 자석을 움직임으로써 전류를 만들게 되었고 그로부터 현대문명의 기반이 되는 온갖 전기 기구와 기술이 나오게 됩니다.
배터리가 없었다면 현대적 기술문명이란 없었을 것이라 해도 과언이 아닙니다. 배터리는 사랑입니다.
내용 체크 문제

'2024 고급물리학' 카테고리의 다른 글
| [고급물리학] 전자기 유도와 유도 기전력 (0) | 2024.05.08 |
|---|---|
| [고급물리학] 자기장에 관한 법칙 {비오 사바르 법칙, 암페어 법칙} (6) | 2024.05.01 |
| [고급물리학] 축전기 (3) | 2024.04.16 |
| [고급물리학] 전기장과 가우스 법칙 (1) | 2024.04.15 |
| [고급물리학] 행성의 운동과 케플러 법칙 {만유인력} (1) | 2024.04.11 |