해당 차시 학습지 파일
학습 목표
- 등가속도 운동에서 일-운동 에너지 정리를 설명할 수 있다.
- 포물선 운동에서 역학적 에너지가 보존됨을 설명할 수 있다.
- 진자 운동에서 역학적 에너지가 보존됨을 설명할 수 있다.
완전히 달라진 나를 보여주겠다는 일념으로 하루하루를 애쓰며 수고하는 많은 학생들에게 해주고 싶은 말이 있습니다. 사람 갑자기 변하면 죽는다고 찬물 끼얹는 사람들의 말에 휘둘리지 마세요. 누군가는 무리하지 말라며 멈추라 하고 누군가는 애써가는 모습을 비웃을 때, 그러한 것들에 초연해야 할 이유, 오늘 공부할 물리학이 가르쳐줍니다.
물리학 I과 물리학 II의 연결고리

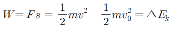
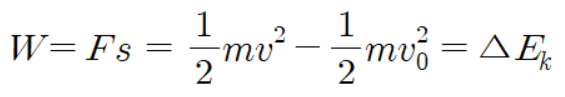
1. 일과 운동 에너지
1) 일의 정의
물체가 직선상에서 거리 s만큼 움직이는 동안 크기가 일정한 힘 F가 운동 방향과 𝜽의 각을 이루며 작용했다면, 힘 F가 물체에 한 일은 다음과 같습니다. 일의 기호는 W이며, 단위는 J입니다.

2) 일과 운동 에너지의 관계, 힘에 대한 공간적 접근
| 운동량과 충격량의 관계 | 일과 운동 에너지의 관계 |
![]() |
![]() |
![]() |
![]() |


운동량과 운동 에너지는 운동하는 물체가 갖는 물리량으로써 질량과 속도로 표현되는 공통점을 갖습니다. 그러나 둘의 태생은 달라요. 다른 색안경을 끼고 보면 똑같은 현상이 다른 색깔로 보이듯이, 힘을 시간이라는 안경으로 보면 운동량, 힘을 공간이라는 안경으로 보면 운동 에너지로 역학적 현상이 정의됩니다.
스칼라로만 구성되어 있는 일-에너지 정리

속력을 비롯한 스칼라 정보를 파악하는데 일-에너지 정리가 요긴하게 쓰입니다. 위의 예시처럼 지면에 도달했을 때의 물체의 속력이 세 경우에 모두 동일하다는 사실은 일-에너지 정리를 쓰면 쉽게 알 수 있어요. 그러나 운동 방향을 비롯한 여러 벡터적 정보들은 일-에너지 정리로 파악하기 힘듭니다. 일-에너지 정리는 스칼라로만 구성돼 있기 때문이죠.
① 지면에 도달할 때 물체의 운동 방향

② 지면에 도달할 때까지 걸린 시간

2. 퍼텐셜 에너지
1) 중력이 물체에 한 일
① 포물선 운동


② 진자 운동


③ 빗면에서의 운동


이처럼 운동의 시작점과 마침점의 높이가 같다면, 중력이 물체에 하는 일은 물체가 어떤 경로로 움직이는 가에 관계없이 같습니다.


그 이유는 일의 정의에 따라 중력이 물체에 한 일을 구할 때에는 중력의 방향에 평행한 변위, 즉 이동 경로와 관계없는 운동의 시작점과 마침점의 높이만이 고려되기 때문입니다.
이처럼 어떤 힘이 하는 일이 경로에 관계없는 경우에는 그 힘에 대한 '퍼텐셜 에너지'를 정의할 수 있습니다. 물리학 1에서 배웠던 중력과 탄성력이 그 경우에 속하기 때문에 각각의 경우에 퍼텐셜 에너지가 다음과 같이 정의되었어요.

'저장되어 있는 에너지'라는 뜻의 퍼텐셜 에너지는 운동 에너지와 달리 물체가 소유하는 것이 아니고, 중력과 탄성력을 비롯하여 퍼텐셜 에너지가 정의되는 힘이 작용하는 계를 구성하는 요소들 서로가 공유하는 에너지입니다. 가령 질량 m인 물체가 h만큼 높은 곳에 있을 때의 중력 퍼텐셜 에너지는 지구와 물체가 함께 가지는 에너지이며, 원래 길이 대비 x만큼 변형된 용수철에 연결된 물체가 갖는 탄성 퍼텐셜 에너지 역시 용수철과 물체가 함께 가지는 에너지입니다.
2) 일과 퍼텐셜 에너지의 관계
물체가 운동 시작점에서 마침점으로 이동할 때 중력이나 탄성력이 하는 일은 물체가 각각의 지점에 있을 때의 퍼텐셜 에너지의 변화량으로 정의될 수 있음을 다음 그림에서 확인합시다.
① 중력

② 탄성력

3. 역학적 에너지 보존

식 ③이 의미하는 건, 어떤 물체에 중력 혹은 탄성력만 작용한다면 그 물체가 어떤 지점에 있든 퍼텐셜 에너지와 운동 에너지의 합, 역학적 에너지가 보존된다는 것입니다.
1) 포물선 운동에서의 역학적 에너지 보존
① 지면과 최고점에서의 역학적 에너지

② 임의 지점에서의 역학적 에너지

2) 진자 운동에서의 역학적 에너지 보존

공기 저항을 무시하면 줄에 매달린 추에는 중력과 장력이 작용합니다. 그런데 장력은 추가 움직이는 방향에 항상 수직한 방향으로 작용하는 힘이기 때문에 일의 정의에 따라 장력이 추에 하는 일은 0입니다. 따라서 진자 운동하는 물체에도 중력만이 일을 하기에 진자 운동하는 물체의 역학적 에너지는 보존됩니다.

수고했어 오늘도 - 옥상달빛

"뭐 그렇게 힘들게 올라가려고만 해? 평탄하게 가도 괜찮다"는 말에 넘어가면 물체에 작용하는 힘의 방향과 물체의 운동 방향이 수직인 경우, 힘이 물체에 한 일이 0이 되는 것처럼 내가 꿈꾸는 미래의 의미도 유명무실해져 버립니다.
비범한 성공을 얻으려면 비범한 신념을 가져야 합니다. 비범한 사람이 되고자 하는데 왜 비범하지 않은 사람들의 말에 휘둘리려 하죠? 그런 말을 들을 때일수록 내 기준과 가치를 믿으며 나아가야 합니다. 그 고단함을 무릅쓰며 하루하루를 살아내는 나 스스로를 응원하는 사람은 나 자신으로도 충분해요. 아무도 나의 슬픔에 관심이 없대도 "수고했어, 오늘도"라는 말 한마디를 스스로에게 해줄 수 있는 여러분이 되기를 바랍니다. 오늘도 물리를 통해 인생을 배웁니다
'물리학II 클립' 카테고리의 다른 글
| 전하와 전기장 (0) | 2022.05.13 |
|---|---|
| 열과 일의 전환 (0) | 2022.04.26 |
| 일반 상대성 이론 {중력장, 블랙홀} (0) | 2022.04.01 |
| 관성력과 등가 원리 (1) | 2022.03.30 |
| 케플러의 법칙과 뉴턴의 만유인력 법칙 (0) | 2022.03.16 |



