본문 바로가기
물리학II 클립

전하와 전기장

by 사이언스토리텔러 2022. 5. 13.
728x90
반응형
728x170

해당 차시 학습지 파일

전하와 전기장.hwpx
1.08MB

학습 목표

  • 전하 주위에 발생하는 전기장을 전기력선으로 나타낼 수 있다.
  • 전하가 받는 힘을 이용하여 전기장의 세기를 구할 수 있다.
  • 정전기 유도 현상을 이해하고, 실제 사례를 들 수 있다.
  • 유전 분극 현상을 이해하고, 실제 적용되는 예를 찾아 설명할 수 있다.

물리학의 근원에는 ‘거리’라는 개념이 있습니다. 행성과 항성 사이의 궤도 운동에서 전하 사이의 인력과 척력까지, 거리는 상호작용의 성질을 규정하고, 그 강도를 조절하며, 존재의 독립성과 관계의 연결을 동시에 성립시킵니다. 인생의 수많은 인간관계 또한 마찬가지예요. 너와 나, 서로가 비로소 우리가 되기 위한 관계의 물리학에 대해 공부하는 시간입니다.

 

물리학 I 과 물리학 II의 연결고리

 

전기력을 설명하는 '쿨롱 법칙'은 뉴턴의 '만유인력 법칙'에서 기인했습니다. 그런 의미에서 중력과 전기력은 유사해요. 질량을 가진 물체가 중력장을 왜곡해서 나타나는 현상이 중력이라면, 전기력도 전하란 입자가 전기장을 왜곡해서 나타나는 현상이라는 논리가 가능합니다. 물리학 2에서는 전기적 현상이란 전하가 전기장을 왜곡하기 때문에 나타난다는 관점을 취합니다.

 

1. 전기장, 전기력이 미치는 공간

1) 전기력의 세기

질량을 가진 두 물체 사이에는 중력이 작용하듯이 전하(電荷, 전기적인 질량) 사이에는 전기력이 작용합니다. 이때 서로 떨어져 있는 전하들 사이에 작용하는 전기력의 크기와 방향은 다음과 같아요.

꽃을 찾는 벌의 비결에 전기력이 있다고요?!

 

벌은 비행을 하면 점점 양(+)의 전기를 띠게 됩니다. 반면에 꽃은 음(-)의 전기를 띠는 경향이 있어요. 꽃과 나무가 뿌리내린 땅은 자유 전자가 헤엄치는 바다와 같기 때문이죠. 결론적으로 벌은 꽃 향내음뿐만 아니라 전기적 인력에도 이끌리는 셈입니다. 더불어 벌은 꽃을 찾을 때 전하의 변화에 의해 만들어지는 왜곡과 움직임을 감지할 수 있고, 전기장의 기하학적 특성을 토대로 꽃의 모양까지도 알 수 있는 것으로 보입니다.

 

2) 전기장과 전기력선

질량과 상호 작용하며 왜곡된 시공간을 중력장이라고 했듯이, 전하가 야기한 왜곡된 시공간을 '전기장'이라고 합니다. 이처럼 공간에 한 전하를 놓으면 그 전하 주위에는 전기력을 미칠 수 있는 공간이 형성됩니다.

 

 

전기장을 시각적으로 나타내기 위해 전기력선을 그린 최초의 사람은 마이클 패러데이입니다. 전기력선은 (+)전하에서 나와 (-)전하로 들어가는 분포로, 중간에 끊어지거나 나누어지지 않고 교차하지 않습니다. 전기력선이 빽빽한 곳일수록 전기장의 세기가 강하며, 한 지점에서의 전기장의 방향은 그 지점에서의 전기력선의 접선 방향과 같아요. 이쯤 되면 자기력선의 성질이 오버랩될 만도 합니다.

 

패러데이는 과학자잖아요. 그런데 수학을 잘 못했다는 게 정말이에요?!

전기력선과 자기력선

 

가난한 대장장이 수습생의 아들로 태어난 패러데이는 정규교육을 거의 받지 못했기 때문에 수학적인 사고보다 무엇이든 시각화하는 것을 좋아했대요. 전기력과 자기력처럼 눈에 보이지 않는 물리적 실체를 선으로 시각화한 것은 수학을 못하는 패러데이의 성향이 탄생시킨 발명품입니다.

수학을 못해도 과학자가 될 수 있어요?!

 

물론 수학은 중요한 도구예요. 하지만 그보다 더 근본적인 건 상상력이에요. 보이지 않는 것을 그릴 줄 아는 용기, 이해되지 않아도 계속 붙들고 있는 마음. 그게 바로 패러데이가 보여준 ‘과학하는 자세’죠.

 

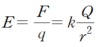
3) 전기장의 세기

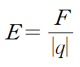
공간의 한 점에서의 전기장의 세기는 그 점에 +1C의 전하를 놓았을 때, 이 전하가 받는 전기력으로 정의합니다. 그러므로 전기장 내의 한 점에 놓여 있는 전하 q가 받는 힘이 F라면 그곳에서의 전기장의 세기 E는 다음과 같아요.

전기장의 기호는 E, 단위는 N/C 입니다.

 

전기장 속에서 전하가 받는 힘의 방향

전하가 받는 힘의 방향은 전하가 어떤 종류인가에 따라 달라집니다. (+)전하가 받는 힘의 방향은 전기장의 방향과 같고, (-)전하가 받는 힘의 방향은 전기장의 방향과 반대 방향입니다.

 

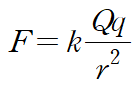
점 전하 주위의 전기장 세기

점전하 +Q로부터 거리 r만큼 떨어진 곳에 전하 +q가 있을 때 두 전하 사이에 작용하는 전기력의 크기 F는 다음과 같습니다.

 

+Q에 의한 전기장의 세기 E는 다음과 같습니다.

 

2. 물질의 대전

1) 도체에서의 정전기 유도

 

대전체(=전기를 띠는 물체)를 도체 가까이 가져가면, 도체 내 자유 전자가 자유롭게 이동하면서 전하의 재분포가 이뤄집니다. 대전체에 가까운 쪽은 대전체와 반대 종류의 전기를 띠게 되고, 대전체에 먼 쪽은 대전체와 같은 종류의 전기를 띠게 됩니다. 이러한 현상을 도체에서의 정전기 유도라고 해요.

 

① 검전기로 물체의 대전 여부 및 대전체의 전하량 확인

검전기는 정전기 유도를 이용하여 전하의 종류를 조사하는 실험 기구입니다.

 

대전체를 대전되지 않은 검전기의 금속판에 가까이하면 정전기 유도에 의해 전하의 재분포가 이루어지면서 금속박이 벌어집니다. 이때 대전체의 전하 종류에 관계없이 금속박은 벌어지며, 대전체의 전하의 양이 많을수록 금속박은 더 많이 벌어집니다.

 

 

② 검전기를 대전시키는 법

(-)전하로 대전시키는 법 (+)전하로 대전시키는 법
(+)대전체를 가까이 한 상태에서 금속판에 손가락을 접촉하면 (+)대전체와의 인력으로 손가락에 있던 전자가 금속판으로 끌려오므로, 검전기의 알짜 전하는 (-)가 된다. 이후에 대전체와 손가락을 동시에 멀리 하면 (-)전하끼리의 척력으로 검전기 전체에 (-)전하가 퍼지게 되며, 검전기는 (-)전하로 대전된다. (-)대전체를 가까이 한 상태에서 금속판에 손가락을 접촉하면 (-)대전체와의 척력으로 검전기에 있던 전자가 손가락으로 밀려나므로, 검전기의 알짜 전하는 (+)가 된다. 이후에 대전체와 손가락을 동시에 멀리 하면 (+)전하끼리의 척력으로 검전기 전체에 (+)전하가 퍼지게 되며, 검전기는 (+)전하로 대전된다.

 

③ 대전체의 전하를 확인하는 법

 

(-)로 대전된 검전기에 (-)대전체를 가까이하면, 금속판의 전자들은 척력에 의해 금속박으로 밀려납니다. 그래서 금속박은 더 벌어지게 됩니다. 반대로 (+)대전체를 가까이 하면, 금속박의 전자들은 인력에 의해 금속판으로 끌려옵니다. 따라서 금속박은 오므라듭니다.

 

 

(+)로 대전된 검전기에 (+)대전체를 가까이하면, 금속박의 전자들은 인력에 의해 금속판으로 끌려옵니다. 그래서 금속박의 알짜 (+)전하량이 증가하므로 금속박이 더 벌어지게 됩니다. (-)대전체를 가까이하면 금속판의 전자들은 척력에 의해 금속박으로 밀려납니다. 그래서 금속박의 알짜 (+)전하량이 감소하므로 금속박은 오므라듭니다. 여기서 양전하가 아닌 전자가 이동하는 까닭은 전자가 양전하보다 훨씬 가볍기 때문이에요.

 

2) 부도체에서의 유전 분극

 

부도체 내의 전자들은 원자나 분자에 속박되어 있어 자유롭게 움직이지 못합니다. 그래서 부도체에 대전체를 가까이 하면 그림과 같이 부도체 내의 전하 분포가 바뀌게 돼요. 대전체에 가까운 쪽은 반대 종류의 전하를 띠게 되고, 대전체에 먼 쪽은 같은 종류의 전하를 띠게 되는데, 이런 현상을 유전 분극이라고 합니다. 따라서 유전 분극된 부도체는 대전체 쪽으로 끌려 달라붙게 됩니다.

 

3) 정전기 현상의 활용

① 자동차 도색

 

자동차 표면을 도색할 때, 표면을 (+)로 대전시키고 페인트 염료를 (-)로 대전시키면 페인트 염료가 전기적 인력에 의해 자동차 표면에 달라붙습니다.

 

② 음식물 포장 비닐랩

 

음식물을 포장할 때 사용하는 랩은 분리되는 과정에서 대전되는데, 이때 대전체가 된 랩은 포장할 그릇으로 하여금 유전 분극이 일어나게 합니다. 따라서 랩과 그릇은 서로 잘 달라붙게 됩니다.

 

③ 복사기

 

복사기의 전원이 켜지면, 드럼 전체는 (+)로 대전되고 토너는 (-)로 대전됩니다. 그리고 복사가 시작되면 종이에 빛이 비칩니다. 검은 글자 부분에서는 빛이 흡수되고, 흰 여백 부분에서는 빛이 반사되는데, 이 반사광이 드럼을 비추면 드럼의 일부분은 방전됩니다. 결국 드럼에 (+)로 대전된 영역과 대전되지 않는 영역이 나뉘게 되며, (+)로 대전된 영역에 (-)로 대전된 토너 가루가 붙게 됩니다. 이후 드럼에 묻은 토너 가루가 그대로 종이에 묻어 나오면서 인쇄가 완성되는 것이죠.

 

너에게 닿기를 - 10cm

https://www.youtube.com/watch?v=28wawdBsXSc

 

때로는 가까운 사람이 고통의 원인이 되기도 합니다. 가까울 만큼 편하고 좋은 사람이지만, 그만큼 단점도 잘 보이죠. 하지만 잊지 말아야 해요. 그들도 나와 마찬가지로 불완전한 하나의 인간입니다. 더불어 그들의 모난 성격, 취약함, 한계 또한 모두 내가 사랑하는 그들의 일부임을 이해해야 합니다.

 

 

중요한 건 "가족이니까, 친구니까, 연인이니까" 서로 같은 우리니까 항상 함께여야 한다는 건 큰 오산이자 욕심이라는 점이죠. 같은 전하끼리는 서로 밀어내잖아요? 서로 같은 우리이기 때문에 잠시 멀어질 수도 있음을 인정하고, 그들을 멀찍이서 바라볼 수 있는 시크함이 필요합니다. 그러나 시크하기만 하면 계속 멀어지기만 할텐데요? 더 멀어지지 않도록 "어색하기 싫어서 너에게 연락해 봤다" 이러한 용기 또한 필요합니다. 

 

사이좋은 것들끼리는 사이가 있다

 

우리 사이, 거리를 둔다는 건, 서로가 서로에게 특별한 풍경이 되어주는 것을 의미합니다. 그 특별함으로 서로를 높이 평가하고 존중할 수 있게 되며, 더욱이 이 거리는 때로 육안으로 볼 수 있는 범위를 넘어서기 때문에 내면으로 응시하는 그리움을 낳죠. 사람은 붙잡는 것이 아니라, 우리의 관계 사이에 다시 마주할 수 있는 믿음의 공간을 열어두어, 때로는 불완전한 그들을 사랑스럽고 소중하게 키우듯 품으며, 그리움의 공간에서 다시 이어지기를 소망하는 대상입니다. 그럼으로써 우리는 이어져 가며 서로가 서로에게 닿게 되겠죠. 오늘도 물리를 통해 인생을 배웁니다.

반응형
그리드형