해당 차시 학습지 파일
학습 목표
행성의 운동에 대한 케플러 법칙을 이해한다.
케플러 법칙이 뉴턴의 중력 법칙을 만족함을 설명할 수 있다.
뉴턴의 중력 법칙을 이해하고 응용할 수 있다.
난 이제 가는 길이야. 널 또 못 본 채로
내가 떠나야 올 수 있는 넌데 늘 숨바꼭질하듯 엇갈리잖아.
아마 세상이 끝나기 전에는 늘 이러겠지.
소원이 있어.
차라리 내가 지금 아주 작은 별이라면
슬픈 이별은 하지 않아도 될 텐데
보고 싶은 마음 모아서 너 오면 보라고 노을로 남길게.
해와 달 - 조성모
해와 달은 천체의 궤도 운동과 슬픈 짝사랑, 서로 완전히 달라 연결이 되지 않는 것처럼 보이는 사실들 사이의 유사함을 가사로 풀어낸 노래입니다. 이러한 창의성이 천상과 지상 사이에 다리를 놓았던 사례들은 오늘 공부할 물리학을 통해 알게 됩니다.
물리학의 흐름

물체가 떨어지는 일은 태초부터 있었고, 달이 지구 둘레를 돈다는 사실은 까마득한 옛적부터 알려져 있었습니다. 과거의 사람들은 천상의 운동과 지상의 운동을 완전히 별개로 생각했었어요. 그때는 중력, 만유인력이라는 개념이 없었습니다. 그래서 사람들은 달이 지구를 중심으로 원운동하는 이유를 천상의 운동이란 완벽하고 이상적인 모양인 원을 추구하기 때문이라는 신학적 관념에서 찾았어요.
이에 반해 케플러는 그의 스승이 평생 동안 관측해 놓은 자료를 토대로 귀납하여 행성의 운동에 관한 세 법칙을 정리하였습니다. 케플러의 세 법칙은 뉴턴 역학 체계를 지지하는 중요한 경험적 근거였기때문에 이후 뉴턴으로 하여금 만유인력의 법칙을 발견하는 데 큰 도움이 되었어요.
1. 케플러의 법칙
1) 케플러 제1법칙

각 행성은 태양을 한 초점으로 두고 타원 궤적을 그리며 운동합니다. 행성이 지나는 타원 궤도에서 태양과 가까운 점을 근일점, 가장 멀리 있는 점을 원일점이라 합니다.
2) 케플러 제2법칙(=면적 속도 일정의 법칙)

태양과 행성을 연결한 선분이 같은 시간 동안에 그리는 면적은 항상 일정합니다. 따라서 행성의 공전 속력은 근일점 근처를 지날 때 상대적으로 빠르고, 원일점 근처를 지날 때 상대적으로 느리다.

케플러는 행성의 속력이 태양으로부터 떨어진 거리에 따라 빨라지고 느려지는 이유, 즉 행성 운동의 근본적인 원인을 찾고자 했습니다. 그는 서로 떨어져 있어도 각자의 존재를 감지할 수 있는 자기력과 유사한 작용이 행성 운동의 근본 원인일 것이라고 제안합니다. 바로 중력, 만유인력의 개념을 예견한 것이죠.
3) 케플러 제 3법칙

행성의 공전 주기 T의 제곱은 타원 궤도의 긴반지름 a의 세제곱에 비례합니다.
케플러 법칙은 관측 자료를 귀납하여 일반화한 결과물이었기에 현상에 대한 규칙만을 기술할 뿐, 현상에 대한 구체적인 원인은 설명하지 못합니다. 이후에 등장한 만유인력 법칙을 비롯한 뉴턴의 운동 법칙은 태양으로부터 행성까지의 거리에 따라 행성의 공전 속력이 달라지는 이유, 행성의 공전 주기의 제곱이 긴반지름의 세제곱에 비례하는 이유를 정확히 설명합니다.
2. 뉴턴의 만유인력 법칙
1) 천상과 지상의 통합
뉴턴 이전의 시대에도 나무에서 떨어지는 사과나 적에게 던진 돌을 관찰한 사람이 많았을 거예요. 하지만 관찰하고 느낀다고 해서 반드시 그 감각을 내면화해 영감을 떠올리는 데 성공하는 것은 아닙니다. 뉴턴은 대포를 높은 산꼭대기에 올려놓고 거기서 발사한 포탄이 아주 빠른 속도로 날아갔을 때의 이미지를 상상함으로써 천상의 운동과 지상의 운동을 통합합니다.
공기 저항을 무시할 때 지구의 높은 산꼭대기에서 물체를 수평 방향으로 던지면 중력이 작용하여 물체는 지구 중심 방향으로 떨어집니다.(A) 물체를 더 빠른 속력으로 던지면 물체는 더 멀리 나아가지만 결국 지면에 떨어지죠.(B) 그러다가 물체를 던지는 속력이 어떤 특정한 속력에 도달하면 물체는 지구 중심 방향으로 계속 떨어지지만 지구가 둥글기 때문에 지면에 닿지 않고 지구 주위를 원운동 하게 됩니다.(C)
이러한 운동을 하는 물체가 바로 달이죠. 지구 주위를 돌고 있는 달은 사실 1초에 1.3 mm씩 지구 쪽으로 낙하하는 것과 같습니다. 이처럼 나무에서 떨어지는 사과와 하늘에서 돌고 도는 달처럼 서로 완전히 달라 연결이 되지 않는 것처럼 보이는 사실들 사이의 유사함을 찾아내는 능력. 바로 여기에서 뉴턴의 천재성이 드러나는 겁니다. 뉴턴은 궤도를 도는 것이 떨어지는 것의 한 형식임을 이해함으로써 달과 같이 지구 주위를 공전하는 물체의 운동 또한 중력에 의한 운동이라고 설명하죠.
태양계의 행성들은 태양의 중력으로 인해 태양을 구심점 삼아 돌고 있습니다. 이에 뉴턴은 천체 간의 이끌림과 지구와 물체 간의 이끌림을 만유인력이라는 힘으로 포괄하여 정의합니다. 즉, 지구가 달을 끌어당기는 중력은 지구와 달 사이의 만유인력이고, 태양이 지구를 끌어당기는 중력은 태양과 지구 사이의 만유인력입니다.
만유인력이란 질량을 가지고 있는 물체끼리 서로 상호작용하여 끌어당기는 힘으로, 그 세기는 두 물체 간의 거리와 질량의 수학적인 관계로 정의됩니다. 즉, 천체의 공전은 만유인력에 의해 각자의 구심점을 향해 영원히 떨어지고 있는 운동인 셈이죠.
2) 인공위성의 운동
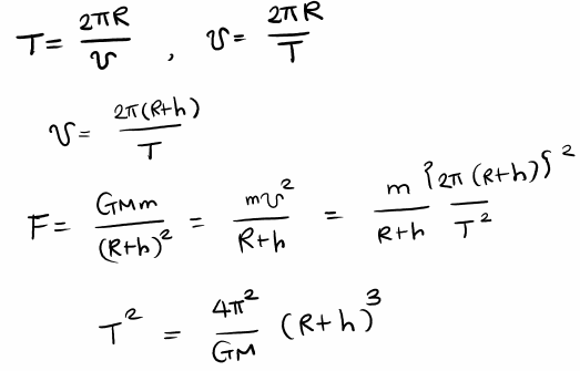
질량이 m인 인공위성이 그림과 같이 지표면으로부터 높이 h에서 일정한 속력으로 질량이 M인 지구 주위를 회전하려면 얼마의 속력을 유지해야 할까요?

인공위성이 지구 주위에서 원운동을 하려면 인공위성에 구심력이 작용해야 하며, 이때 지구와 인공위성 간에 작용하는 만유인력이 구심력 역할을 합니다.
① 원운동 하기 위한 최소 속력
② 주기와 회전 반경과의 관계

해와 달 - 조성모
제일 처음 굴을 먹은 사람은 누구일까?
조수 간만의 차와 시기는 한 달 내내 급격하게 변해서 어떤 때는 조수 간만의 차가 별로 크지 않지만, 또 어떤 때는 그보다 훨씬 크게 나타납니다. 이처럼 무작위로 나타나는 조류의 패턴은 고대 인류에게 오랫동안 수수께끼로 남았을 거예요. 사실 그들이 조류의 패턴을 쉽게 이해하지 못한 것은 어찌 보면 당연한 일입니다. 왜냐하면, 그에 대한 해답이 누가 봐도 전혀 상관없어 보이는 '밤하늘'에 있기 때문이죠.
즉 최초로 굴을 먹은 사람은 하늘을 주의 깊게 관찰한 고대의 천문학자입니다. 매일 밤 다양한 형태로 밤하늘을 찾아오는, 신비롭게 크고 하얗고 둥근 물체와 바다의 움직임 간의 연결고리를 파악하여 조류를 예측하게 된 그는 언제 바다에 가야 하는지 계획할 수 있었고, 이로써 굴은 안정적으로 구할 수 있는 주식의 한 부분이 될 수 있었죠. 이처럼 창의성은 꾸준한 관심과 지속적인 관찰에서 비롯됩니다. 오늘도 물리를 통해 인생을 배웁니다.
'물리학II 클립' 카테고리의 다른 글
| 일반 상대성 이론 {중력장, 블랙홀} (0) | 2022.04.01 |
|---|---|
| 관성력과 등가 원리 (1) | 2022.03.30 |
| 평면 상의 물체 운동 ② {등속 원운동} (2) | 2022.03.14 |
| 평면 상의 물체 운동 ① {포물선 운동} (0) | 2022.03.11 |
| 회전 운동과 물체의 무게 중심 (0) | 2022.02.28 |