2024.05.01 - [2024 물리학I 톺아보기] - 열역학 제1법칙 {PV=NkT, 열역학 과정}
열역학 제1법칙 {PV=NkT, 열역학 과정}
물리학Ⅰ 전개도판서 조직도 목표 기출 문제 14년도 9월 모평 물리1 5번답: 4번 14년도 4월 학평 물리1 3번답: 4번 1. 기체가 하는 일과 내부 에너지 1) 기체 분자 운동에 의한 일 압력 P은 단위
gooseskin.tistory.com
물리학Ⅰ 전개도

판서 조직도

목표 기출 문제
19년도 9월 모평 물리1 3번

답: 5번
1. 열역학 제2법칙

일반적으로 물리학 법칙, 가령 F=ma는 시간의 방향에 무관합니다. 시간을 -로 뒤집더라도 법칙 자체에 아무런 영향을 주지 않기 때문이죠. 자유 낙하하는 물체를 촬영해서 그것을 거꾸로 돌려도 그 장면을 보고 "연직 상방 운동하는 물체구나."하고 말아버리며 필름을 거꾸로 돌렸다는 사실을 알아차리지 못할 겁니다.

하지만 유리잔이 떨어져서 깨지는 장면을 찍어서 거꾸로 돌리면 너무 이상하게 보일 겁니다. 그런 일은 현실에서 나타나지 않기 때문이죠. 사실 유리잔이 복원되는 과정은 뉴턴의 운동 법칙, 에너지 보존 법칙의 측면에서 보면 아무 문제없습니다. 그러나 단 하나의 물리 법칙을 위반해요. 바로 엔트로피 법칙, 다른 말로 '열역학 제2법칙'입니다.
1) 엔트로피(=무질서도)
시간은 변화를 기술하기 위한 가상적 개념입니다. 시간은 변화에 있어서 '무질서'를 지향하는데요. 이러한 시간의 방향을 '엔트로피(=무질서도)'라고 합니다. 다시 말해 자연에서 시간의 방향을 정해주는 것이 바로 엔트로피예요. 엔트로피는 시간이 어느 방향으로 흐르는지와 관련된 유일한 물리학 현상입니다.
이처럼 자연의 모든 것은 무질서로 귀결됨을 '열역학 제2법칙'이 설명합니다. '열역학 제2법칙'은 시간의 흐름을 일으키는 원인으로 에너지 보존 법칙에 필적할 만큼 굉장히 근본적인 법칙이에요.
2) 열역학 제2법칙에 따른 현상
자연 현상은 반드시 엔트로피가 낮은 상태에서 높은 상태로 변합니다. 그렇기 때문에 흘러가는 시간 따라 질서 정연한 상태에서 무질서한 상태로 변하기 마련입니다. 열의 이동 방향 또한 엔트로피에 의해서 정의됩니다.

엔트로피는 열의 이동 방향을 고온에서 저온으로 정의합니다. 따라서 뜨거운 물체가 식어가는 건 자연스럽지만, 열이 저온에서 고온으로 이동하여 뜨거운 물체가 더 뜨거워지는 것은 너무나 부자연스럽죠.
2. 열기관
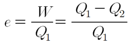
1) 열효율
열기관은 열(Q1)을 흡수하여 그 일부를 일(W)로 바꾸어 주는 장치입니다. '에너지 보존 법칙'에 의하면 열을 모두 일로 바꿀 수 있지만 실제 기관은 투입된 열의 일부만이 일로 바뀝니다. 그 이유가 무엇일까요?

열은 온도가 높은 물체에서 온도가 낮은 물체로 이동하는 에너지입니다. 열기관은 이 흐름을 이용해서 열의 일부를 일로 전환해요. 이때 열기관의 열효율은 다음과 같습니다.

열효율이 100%인 열기관? '에너지 보존 법칙'만 고려하면 가능합니다. 버려지는 열 Q2가 0이 되어도 에너지 보존 법칙은 위배되지 않거든요. 하지만 버려지는 열이 0이 되기 위해서는 열이 자동으로 저온에서 고온으로 이동해야 하고, 이는 '열역학 제2법칙'에 어긋나요. 따라서 열효율이 100%인 열기관은 절대로 만들어질 수 없습니다. 외계인의 시어머니가 쳐들어와도. 결코. never. definitely.
카르노 기관의 열효율
카르노 기관은 이론적으로 열효율이 제일 높은, 굉장히 이상적인 열기관입니다. 열효율은 다음과 같아요.


저열원의 온도가 0K 또는 고열원의 온도가 ∞가 될 수 없으므로, 카르노 기관의 열효율 역시 100%가 될 수 없습니다.
카르노기관보다 높은 열효율을 갖는 열기관을 만들 수 없는 이유
2023.04.25 - [대학물리학 조각] - [열역학] 카르노기관보다 높은 열효율을 갖는 열기관의 모순
[열역학] 카르노기관보다 높은 열효율을 갖는 열기관의 모순
아무리 날고 기는 기술이 개발되어도 카르노기관의 열효율을 넘어서는 열기관은 발명될 수 없다. 그 이유를 한마디로 말하자면 그러한 열기관은 '열역학 제2법칙'을 위배하기 때문이다. 다음은
gooseskin.tistory.com
2) 열기관의 순환 과정 분석


열기관이 한 번의 순환 과정을 거치면 계의 기체가 원래의 상태로 되돌아오므로, 한 번의 순환 과정 동안 기체의 내부 에너지는 변화가 없습니다.



온도 - 이하이
https://www.youtube.com/watch?v=Z-3tctdGOPs
선생님, 미지근한 사람이 되어주세요.

누군가 너무 차가워서 놀라거나, 너무 뜨거워서 데이지 않았으면 좋겠다며 미지근한 사람이 되어달라는 제자의 편지가 아직도 기억에 남습니다. 선생님이기에 필연적으로 많이 마주하게 될 학생들에게 최대한 덜 상처받기를 바라는 마음을 '열평형'으로 비유한 것이 고스란히 전달됐기 때문이죠. 제자의 그 예쁜 마음 덕분에 오히려 좋은 선생님이 되기 위한 제 열정은 더욱 뜨거워졌습니다.

열기관은 고온에서 저온으로 흐르는 열의 일부를 일로 바꾸어주는 장치입니다. 다시 말해 열기관이 일을 할 수 있는 이유는 열원의 온도차에 있어요. 뜨거운 열정이 차가운 현실에 식어가며 그 온도차가 0에 수렴하게 됨에 따라 나를 발전시킬 에너지의 흐름이 막혀버릴 때가 있습니다. 냉혹한 현실에도 열정(熱情)의 온도가 유지될 수 있었던 건 내 곁의 소중한 사람들이 지지해 주고 격려해 주는, 그 뜨거운(熱) 정(情)에 있었지 않나란 생각에 마음이 따뜻해집니다. 오늘도 물리를 통해 인생을 배웁니다.
도전 기출 문제
23년도 9월 모평 물리학1 15번

답: 5번
'2024 물리학I 톺아보기' 카테고리의 다른 글
| 특수상대성이론 ② {시간 지연, 길이 수축, 뮤온의 운동} (2) | 2024.06.01 |
|---|---|
| 특수상대성이론 ① {동시성의 상대성} (4) | 2024.05.30 |
| 열역학 제1법칙 {PV=NkT, 열역학 과정} (1) | 2024.05.03 |
| 일과 에너지 ② {평형점, 키워드별 기출문제 풀이} (2) | 2024.04.17 |
| 일과 에너지 ① {일-에너지 정리, 퍼텐셜 에너지, 역학적 에너지} (2) | 2024.04.09 |