2024.03.12 - [2024 물리학I 톺아보기] - 운동량과 충격량 ② {운동량과 충격량의 관계}
운동량과 충격량 ② {운동량과 충격량의 관계}
물리학Ⅰ 전개도 판서 조직도 목표 기출 문제 22년도 7월 학평 물리학1 6번 답: 3번 21년도 4월 학평 물리학1 6번 답: 3번 21년도 7월 학평 물리학1 6번 답: 5번 2. 운동량과 충격량의 관계 1) 충격량의
gooseskin.tistory.com
물리학Ⅰ 전개도

판서 조직도

목표 기출 문제
19년도 6월 학평 물리1(고2) 17번

답: 1번
16년도 10월 학평 물리1 5번

답: 3번
13년도 10월 학평 물리1 16번

답: 4번
1. 일-에너지 정리
1) 일과 운동 에너지
① 일


물체에 힘 F가 작용하여 물체가 힘의 방향으로 s만큼 이동했을 때 힘 F는 물체에 Fs만큼의 일을 했다고 정의합니다. 일의 기호는 W(work), 단위는 J
| W>0인 경우 | W<0인 경우 | W=0인 경우 |
| 힘의 방향과 이동 방향이 같음 | 힘의 방향과 이동 방향이 반대 | F=0 s=0 힘과 이동 방향이 수직 |
② 운동 에너지

질량이 m이고, 속도 v로 운동하는 물체가 가지는 물리량으로써 기호는 Ek(kinetic energy), 단위는 J
2) 일과 에너지의 관계, 힘에 대한 공간적 접근
| 운동량과 충격량의 관계 | 일과 에너지의 관계 |
![]() |
![]() |
![]() |
![]() |


운동량과 운동 에너지는 운동하는 물체가 갖는 물리량으로써 질량과 속도로 표현되는 공통점을 갖습니다. 그러나 둘의 태생은 달라요. 다른 색안경을 끼고 보면 똑같은 현상이 다른 색깔로 보이듯이, 힘을 시간이라는 안경으로 보면 운동량, 힘을 공간이라는 안경으로 보면 운동 에너지로 역학적 현상이 정의됩니다.
2. 다양한 힘이 작용하는 공간에서 일-에너지 정리
1) 중력이 작용하는 공간

2) 탄성력이 작용하는 공간, 용수철


용수철이 물체에 작용하는 탄성력은 용수철이 늘어난 길이에 비례합니다. k는 용수철 상수이고, 'x는 원래 길이 대비 변형된 길이'예요. 부호 '-'는 탄성력의 방향이 용수철이 변형된 방향의 반대임을 뜻합니다. 예를 들어 용수철이 오른쪽으로 늘어나면 탄성력은 왼쪽으로 작용하고, 용수철이 왼쪽으로 압축되면 탄성력은 오른쪽으로 작용합니다.

3. 역학적 에너지
1) 퍼텐셜 에너지
![]() |
![]() |
![]() |
![]() |
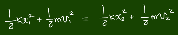
중력이 작용하는 공간과 탄성력이 작용하는 공간에서 '일-에너지' 정리를 이용하여 각 힘이 한 일과 물체의 운동에너지의 관계를 밝혀냈습니다. 결과식의 변수를 이항하여 정리한 식을 살펴보면 좌변과 우변의 운동량의 총합이 보존되는 것처럼 특정 위치(x1, x2, h1, h2)에서 정의되는 무언가의 합이 보존됨을 알 수 있어요. 이를 '역학적 에너지'라고 합니다. 그리고 각 변에 운동 에너지가 아닌 항(mgh, 1/2kx^2)을 '퍼텐셜 에너지'라고 합니다.
| 중력 퍼텐셜 에너지 | 탄성 퍼텐셜 에너지 |
![]() |
![]() |

2) 역학적 에너지가 보존되는 경우
오로지 중력과 탄성력만 작용하는, 마찰이나 공기저항을 비롯한 외부 힘이 작용하지 않는 경우입니다.



3) 역학적 에너지가 보존되지 않는 경우
마찰이나 공기저항을 비롯한 외부 힘이 작용하는 경우입니다.

마찰이나 공기저항을 비롯한 외부 힘 f이 한 일만큼 역학적 에너지가 감소합니다.
수고했어 오늘도 - 옥상달빛
수고했어 오늘도
아무도 너의 슬픔에 관심 없대도
난 늘 응원해, 수고했어 오늘도

완전히 달라진 나를 보여주겠다는 일념으로 하루하루를 애쓰며 수고하는 많은 학생들에게 해주고 싶은 말이 있습니다. 사람 갑자기 변하면 죽는다고 찬물 끼얹는 사람들의 말에 휘둘리지 마십시오. '뭐 그렇게 힘들게 올라가려고만 해? 평탄하게 가도 괜찮다'는 말에 넘어가면 힘의 방향과 물체의 이동 방향이 수직인 경우, 힘이 한 일이 0이 되는 것처럼 내가 꿈꾸는 미래의 의미도 유명무실해져 버립니다.
비범한 성공을 얻으려면 비범한 신념을 가져야 합니다. 비범한 사람이 되고자 하는데 왜 비범하지 않은 사람들의 말에 휘둘리려 하나요? 그런 말을 들을 때일수록 내 기준과 가치를 믿으며 나아가야 합니다. 그 고단함을 무릅쓰며 하루하루를 살아내는 나 스스로를 응원하는 사람은 나 자신으로도 충분해요. 아무도 나의 슬픔에 관심이 없대도 '수고했어, 오늘도'라는 말 한마디를 스스로에게 해줄 수 있는 여러분이 되기를 바랍니다. 오늘도 물리를 통해 인생을 배웁니다.
도전 기출 문제
22년도 9월 모평 물리학1 20번

답: 2번
'2024 물리학I 톺아보기' 카테고리의 다른 글
| 열역학 제1법칙 {PV=NkT, 열역학 과정} (1) | 2024.05.03 |
|---|---|
| 일과 에너지 ② {평형점, 키워드별 기출문제 풀이} (2) | 2024.04.17 |
| 운동량과 충격량 ③ {상대속도} (1) | 2024.03.22 |
| 운동량과 충격량 ② {운동량과 충격량의 관계} (2) | 2024.03.20 |
| 운동량과 충격량 ⓛ {운동량 보존 법칙} (1) | 2024.03.19 |









