gooseskin.tistory.com/152
힘, 질량, 가속도의 관계를 정리한 뉴턴
gooseskin.tistory.com/147 여러 가지 물체의 운동 학습목표 여러 가지 물체의 운동 사례를 찾아 속력의 변화와 운동 방향의 변화에 따라 분류할 수 있다. 핵심 키워드 조직도 ※ 학습 목표 및 핵심 키워
gooseskin.tistory.com
학습목표
뉴턴 운동 3법칙의 적용 사례를 찾아 힘이 상호 작용임을 설명할 수 있다.
핵심 키워드 조직도

※ 학습 목표 및 핵심 키워드 조직도 분석 (밑의 '더보기'를 클릭)
이번 시간에는 두 개 이상의 물체가 상호작용할 때 힘의 규칙이 어떤지, 그리고 그 규칙을 이용해서 두 물체가 상호작용할 때 생기는 결과를 분석해볼 것이다. 이런 과정을 통해 두 개 이상의 물체 사이 상호작용 중심에서 '힘'이 얼마나 중요한 역할을 하는지 앎으로써 많은 물체로 이루어진 실제 세상에서의 물리학적 현상(가령 열역학적 현상)을 이해할 수 있는 토대를 마련한다.
1. 뉴턴 운동 3법칙 = 작용 반작용 법칙


내기에 이겨 친구의 손목을 때릴 때 힘을 실어 때린 만큼 내 손가락도 얼얼한 경험이 있을 것이다. 사실 내 손가락이 친구 손목에 맞았기 때문에 얼얼한 것이다.

스케이트를 타다가 친구를 밀었을 때 반대 방향으로 밀렸던 경험도 분명 있을 것이다.
분명 친구를 민 건 나지만, 동시에 친구도 나를 밀고 있기 때문에 친구와 함께 나도 밀린 것이다.
이처럼 힘은 두 물체 사이에서 상호 작용하는데, 이때 두 힘은 작용과 반작용 관계를 이룬다.
| 뉴턴 운동 3법칙(작용 반작용 법칙) 힘은 항상 두 물체 사이의 상호작용이다. 한 물체가 다른 물체에 힘을 가하면, 동시에 다른 물체도 그 물체에 크기가 같고 방향이 반대인 힘을 가한다. |
| 작용 | 반작용 | |
| 손목 때리기 | '나의 손가락'이 '친구 손목'을 때리는 힘 | '친구 손목'이 '나의 손가락'을 때리는 힘 |
| 사람 밀기 | '나'가 '친구'를 미는 힘 | '친구'가 '나'를 미는 힘 |
느낌이 오는가. 두 힘의 작용과 반작용의 관계는 단지 주어와 목적어를 바꿔주면 된다는 걸?
작용 반작용 관계인 두 힘의 특징
·두 힘은 동시에 작용한다.
·두 힘은 크기가 같고 방향이 반대이다.
·두 힘은 동일 작용선상에 있다.
·두 힘은 서로 다른 물체에 작용한다.


작용 반작용의 예
①발로 땅을 뒤로 밀면 발을 앞으로 미는 힘을 받아 사람이 앞으로 움직인다.
②배의 스크루가 회전하며 물을 뒤로 밀면 스크루를 앞으로 밀어 배가 앞으로 움직인다.
③발이 축구공을 미는 힘과 같은 크기의 힘으로 축구공도 발을 민다.
④육상 선수의 발이 스타팅 블록에 힘을 작용하면, 스타팅 블록도 발에 힘을 작용하여 육상 선수가 빠르게 출발할 수 있다.
⑤로켓이 연료가 연소한 가스를 아래로 밀면 연소 가스가 로켓을 위로 밀어 올린다.
⑥새는 날개가 공기를 미는 힘의 반작용으로 속력을 줄여 안전하게 착지한다.
⑦다이빙 선수가 낙하할 때 지구의 중력이 선수를 끌어당기며 지구 중심 방향으로 가속시킨다. 동시에 다이빙 선수도 같은 크기의 힘으로 지구를 끌어당긴다.(지구의 질량이 다이빙 선수의 질량에 비해 매우 커서 같은 크기의 힘이 작용해도 지구의 가속도는 0에 가깝다. 따라서 지구는 힘을 받지 않는 것처럼 보인다.)
⑧두 자석의 같은 극을 마주 보게 하여 가까이 할 때, 두 자석 사이에는 서로 미는 힘이 작용한다.



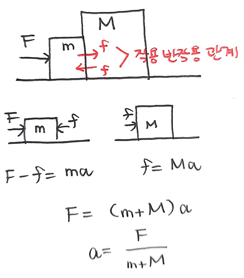
2. 두 물체가 연결된 경우 상호작용하는 힘을 찾아 가속도 구해보기
※마찰이나 공기저항을 무시하는 상황
①물체가 서로 접촉돼있는 경우

물체가 같이 접촉한 채 움직이므로 두 물체의 가속도는 a로 같다.
②물체가 서로 줄로 연결돼있는 경우

물체가 줄로 연결된 채 같이 움직이므로 두 물체의 가속도는 a로 같다.
③물체가 도르래에 연결돼있는 경우

물체가 줄로 연결된 채 같이 움직이므로 두 물체의 가속도는 a로 같다.
3. 두 힘의 평형
한 물체에 크기가 같고 방향이 반대인 두 힘이 일직선상에서 작용하면 알짜힘이 0이 된다. 이때 두 힘이 평형을 이룬다고 한다. 즉, 정지해 있거나 등속도 운동을 하는 물체는 힘의 평형 상태(알짜힘이 0인 상태)에 있다.
작용 반작용과 두 힘의 평형 비교
| 작용 반작용 관계인 두 힘 | 평형 관계인 두 힘 |
![]() |
![]() |
공통점: 두 힘의 크기가 같고, 방향이 반대이다.
차이점: 작용 반작용 관계인 두 힘은 서로 다른 물체에 작용한다는 것과 평형 관계인 두 힘은 한 물체에 작용한다는 것!! 매우 중요하다.
문제 상황에서 두 힘들의 관계를 정의하기

F1과 F2를 자세히 보라. 주어와 목적어가 바뀐 관계다. 그러니 F1과 F2는 작용 반작용 관계다.
F3, F4도 마찬가지다.
F2와 F4를 자세히 보라. 이 두 힘은 한 물체 즉, 책에 작용하는 힘이고 방향이 반대다. 게다가 책이 지금 정지해있다. 그 말은 즉슨, 책에 작용하는 알짜힘이 0이다. 따라서 F2와 F4는 평형 관계다.
정리하면 평형 관계인 두 힘의 조건은
1. 한 물체에 작용해야 함 (F2: ~가 책을 당기는 힘, F4: ~가 책을 떠받치는 힘)
2. 서로 크기가 같은 힘이어야 함, 물체가 정지해있다는 건 물체에 작용한 알짜힘이 0이라는 걸 뜻하므로
3. 두 힘이 같은 작용선상에 있어야 함.
다음 수업 미리보기
두 물체가 상호작용할 때 서로가 서로에게 작용하는 두 힘의 관계가 '뉴턴 운동 3법칙'을 따르기 때문에 나타나는 역학적 상황을 '운동량과 충격량'이라는 언어로 표현해본다.
5. 기출문제 풀어보기
19년도 6월 학평 물리1(고2) 6번/ 정답률 54%

답: 1번
19년도 6월 학평 물리1(고2) 7번/ 정답률 61%

답: 4번
'2021 물리학I 톺아보기' 카테고리의 다른 글
| 열과 에너지 ① 열역학 1법칙 (0) | 2021.05.11 |
|---|---|
| 일과 에너지(공간으로 바라본 힘) (42) | 2021.04.05 |
| 운동량과 충격량 (시간으로 바라본 힘) (61) | 2021.03.29 |
| 힘, 질량, 가속도의 관계를 정리한 뉴턴 (0) | 2021.03.10 |
| 여러 가지 물체의 운동 (0) | 2021.03.04 |

