gooseskin.tistory.com/122
뉴턴 제 3법칙과 운동량 보존 법칙(힘의 평형, 충격량)
gooseskin.tistory.com/120 뉴턴의 운동 법칙(F=ma, 관성, 등가속도 운동, 시간-속도 그래프) gooseskin.tistory.com/118 여러가지 물체의 운동(변위, 속도, 가속도, 평균속력) 왜 알아야 되죠? 여러 가지 물체의..
gooseskin.tistory.com
왜 알아야 되죠?
운동 상태 변화를 비롯한 물리학적 현상의 원인은 '힘(F)'이라는 것을 알았어. 물체에 힘이 작용하면 가속도가 생기기 때문에 속도가 변하게 돼서 물체의 운동 상태가 변하기 마련이지. 뉴턴은 그러한 일련의 상황을 '뉴턴 운동 법칙'으로 정형화시킨 거야. 뉴턴은 '뉴턴 운동 법칙'을 이용해 두 개 이상의 물체가 서로 상호 작용할 때 힘(F)이 개입한다는 걸 '운동량'과 '충격량'이라는 다른 표현으로 빗대기도 했어.
그렇지만 애석하게도 실제 세계엔 상호 작용하는 물체의 개수가 너무나도 많고, 그 물체 하나하나에 작용하는 힘의 가짓수도 어마어마할 것이며, 힘이 물체에 작용하는 방향도 제각각일 거 아냐? 그 많고 많은 변수들을 일일이 하나하나씩 추적하여 물체의 운동 상태를 예측하고 기술하겠다는 건 굉장히 어려울뿐더러 비효율적이지 않을까?
인간이 삶의 편의를 위해 도구를 개발했듯이 똑같은 물리학적 현상을 조금 더 쉽게 분석해보겠다는 취지에 과학자들은 '에너지'라는 도구를 만들었어. 도구는 삶 자체의 의의를 바꾸지는 않지만 삶을 보다 편리하게 만들어 주기 때문에 중요한 의의를 갖잖아. 이번 시간에는 도구로써 중요한 역할을 하는 '에너지'에 대해 알아볼 거야.
기출 경향
많은 사고력을 요구하는 문제가 많이 나옴- 정답률 30~50% 빈출
역학 문제를 맞닥뜨리면 힘으로 접근해야 할지 에너지로 접근해야 할지 선구안이 필요할 듯 (18년도 수능 물리 1 16번 같은 거)
킬러 중의 킬러인 19번 20번 전용(역학과 에너지 전체 개념을 아우르는 문제가 주로 20번으로 나옴)
공포의 단원
결론은 문제를 많이 풀어봐서 적용력과 응용력을 익혀야 문제를 보는 시야가 넓어지고 직관이 생김.
1. 힘과 에너지의 연결고리; 일(W)

질량이 m인 수레에 힘 F를 작용하면 속도가 빨라질 거라고 예측할 수 있지?

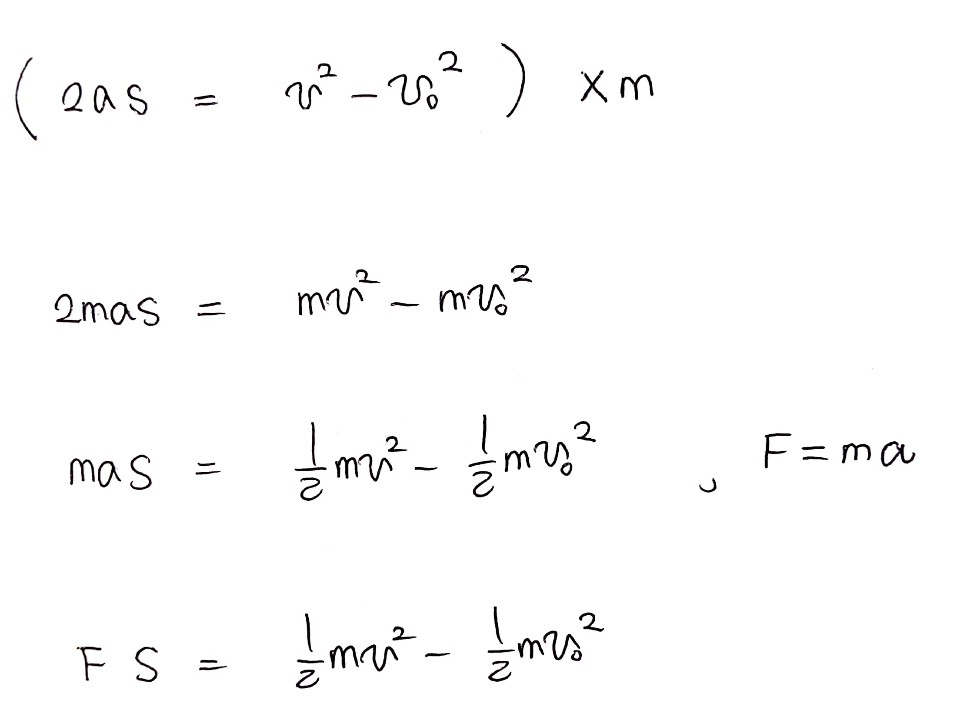
애석하게도 문제 상황엔 시간 t가 안 나와있어... 대신 힘이 작용한 거리(s)가 제시됐네? 이 상황에서 우리가 알고 있는 변수는 가속도, 처음 속도, 나중 속도, 질량 그리고 이동 거리야. 너희 등가속도 세 번째 공식 기억나니?

이 공식은 가속도와 속도와 이동 거리의 관계로 이루어져 있어. 이 식에 양념 좀 쳐볼게.


유도된 식이 무엇을 뜻할까?
뭔가 물체를 작용한 힘 F의 방향으로 s만큼 이동시켜보니 속도가 변한다는 걸 산술적으로 나타낸 느낌이 들지? 결국 시간 대신에 이동 거리를 이용해서 물체의 속도 정보를 파악한 거야. 이제 식의 항목들에 이름을 붙여보자. 사실 중학교 과학 시간에 봐왔던 낯익은 것들이잖아?
①일(W) 단위: J


어떤 물체에 힘 F를 작용하여 물체가 힘의 방향으로 s만큼 이동하였을 때 우리는 힘 F가 W=FS 만큼의 '일(W)'을 했다고 말해. 1N의 힘을 작용하여 물체를 힘의 방향으로 1m만큼 이동시켰을 때 한 일의 양은 1J이야.
| W>0인 경우 | W<0인 경우 | W=0인 경우 |
| 힘의 방향과 이동 방향이 일치 | 힘의 방향과 이동 방향이 반대 | F=0 s=0 힘과 이동 방향이 수직 |
②운동에너지(Ek) 단위: J

운동하는 물체가 가지는 에너지를 운동 에너지라고 해.
③운동에너지와 운동량의 차이


운동량도 운동하는 물체가 갖는 특성이고, 운동 에너지도 운동하는 물체가 갖는 특성인데 도대체 뭔 차이가 있는 걸까? 위의 식을 보면 어떤 차이점이 보이니? 운동량은 힘과 시간의 관계에서 정의되었고, 운동 에너지는 힘과 이동 거리의 관계에서 정의된 게 보이지?
문제를 풀다 보면 시간이 단서인 문제가 있는 반면 이동 거리가 단서인 문제가 있어. 그렇기 때문에 어떤 단서가 제시된 문제냐에 따라 운동량과 힘으로 접근해야 할 수도 있고, 또는 일과 에너지의 관계로 접근해야 할 수도 있지.
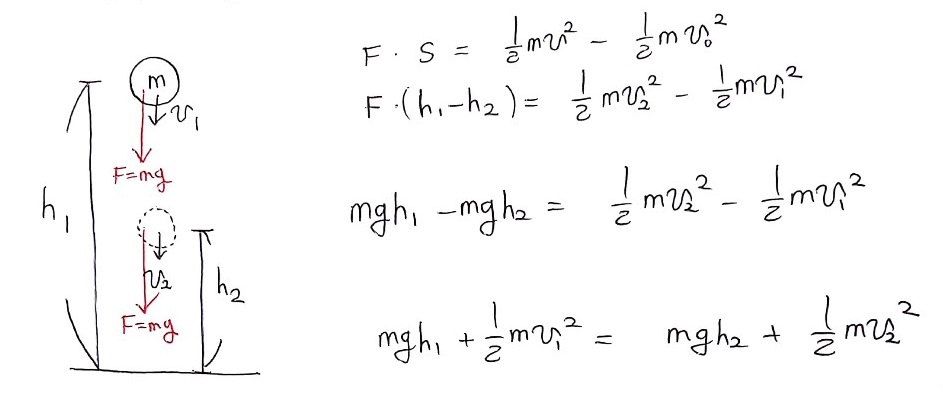
2. 퍼텐셜 에너지

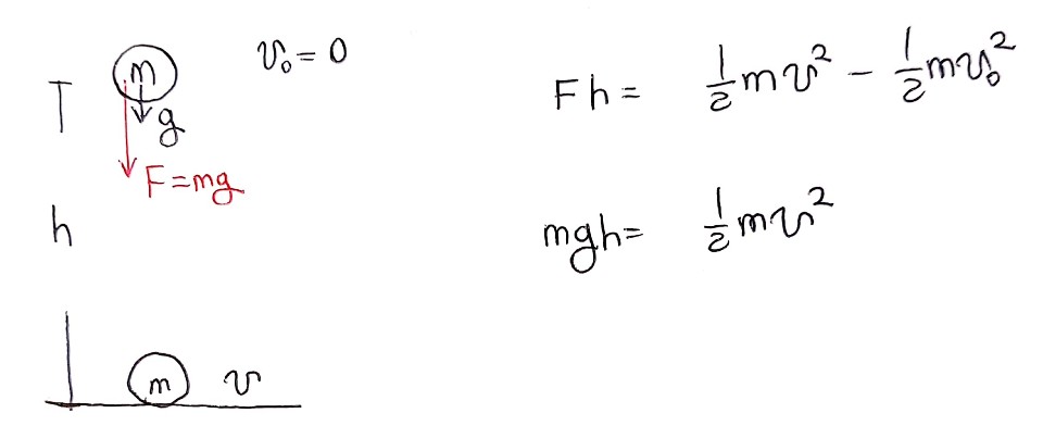
위의 그림은 질량 m인 물체에 중력이 작용하고 있는 상황이야. 중력 F는 mg인 거 알지? 물체에 힘(중력)이 작용해서 그 중력의 방향으로 h만큼 이동했어. 그러면 중력이 하는 일의 양은 mgh가 되고 그 일 덕분에 물체의 운동 에너지가 증가하는 상황인 거야. 이해되지? 높은 높이에서 떨어뜨리면 이동 거리가 증가하는 꼴이니 바닥에 도달할 때 물체의 속도는 더 빠를 거고, 낮은 높이에서 떨어뜨리면 반대의 경우니 물체의 속도가 그렇게 빠르지 않겠네?
뭔가 물체의 위치가 일을 하는 능력을 결정하는 느낌이 들지 않니? 위치가 갖는 잠재력으로 에너지가 결정된다고 해서 이 에너지를 '퍼텐셜 에너지'라고 불러. 잠재력이 큰 에너지일수록 일을 많이 할 수 있으니 물체의 운동 상태를 드라마틱하게 바꿀 수 있다는 인과 관계도 이해되지?
①중력 퍼텐셜 에너지(Ep) 단위: J

중력이 작용하는 공간에서 물체가 높이에 따라 가지는 퍼텐셜 에너지로, 질량 m인 물체가 기준면에서 높이 h인 지점에서 가지는 중력 퍼텐셜 에너지는 다음과 같아.
Ep = mgh (g: 중력가속도)
기준면은 퍼텐셜 에너지가 0이 되는 지점이고, 너희들 마음대로 정할 수 있어. 다만 너희가 처음부터 정한 규칙을 일관되게 끝까지 고수해야 돼!! 문제 풀다가 갑자기 기준점 바꿔버리면 꼬인다.
기준면보다 낮은 위치에서는 퍼텐셜 에너지가 (-) 값을 가지겠지?
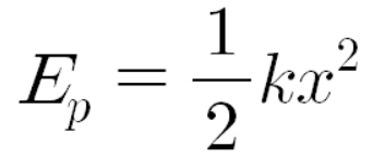
②탄성 퍼텐셜 에너지(Ep) 단위: J


탄성 퍼텐셜 에너지는 길이가 변한 용수철이 가지는 퍼텐셜 에너지야. 힘(탄성력)과 이동 거리(x)로 위의 탄성 퍼텐셜 에너지를 유도하기 위해서는 수학 시간에 적분을 공부해야 하기 때문에 pass
중요한 건 k는 용수철 상수이고, x는 원래 길이 대비 변형된 길이라는 걸 간과하지 말아야 해!!! 원래 길이 대비 변형된 길이다!!!! 즉, 원래 길이를 기준점으로 삼은 거지.
3. 역학적 에너지
①중력만 작용하는 공간

물체가 h1에 있을 때 갖는 에너지의 합과 h2에 있을 때 갖는 에너지의 합이 같다는 게 '일-에너지 관계'로 확인됐지? 중력이 작용하는 공간에서 보존되는 에너지의 합이 의미가 있다고 생각해서 '퍼텐셜 에너지와 운동 에너지의 합'을 '역학적 에너지'라고 부르는 거야.

중력만(물체에 작용하는 힘은 중력밖에 없다는 걸 그림에서 확인해라) 작용하는 공간에서는 역학적 에너지가 보존됨을 확인했어.
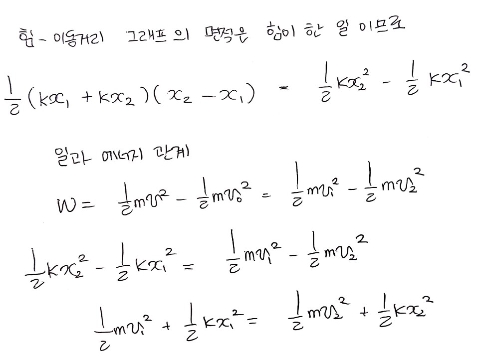
②탄성력이 작용하는 공간



탄성력이 작용하는 공간에서도 역학적 에너지가 보존됨을 확인했어. 여기서 돌발 퀴즈!
일단 물체에 작용하는 힘이 탄성력 외에도 중력이 있을 거야. 그런데 물체가 수직 방향으로 움직임이 없는 걸로 보아 수직 방향으로의 알짜힘이 0이라는 걸 의미하지? 그 말인즉슨, 중력에 대항하는 수직 항력도 이 물체에 작용하고 있다는 거야.

그런데 왜 일-에너지 관계에서 수직 항력과 중력이 한 일은 고려하지 않은걸까? 생각해보렴
친절하지만 비밀스러운 답: 물체의 이동방향과 수직항력과 중력은 수직을 이루고 있으므로 수직항력과 중력이 한 일의 양은 0이다.
4. 역학적 에너지는 무조건 보존되는 것인가?

물체에 작용하는 힘이 중력뿐이라면 물체가 어떤 높이에 있든 역학적 에너지의 양은 mgh로 변함이 없을 거야.
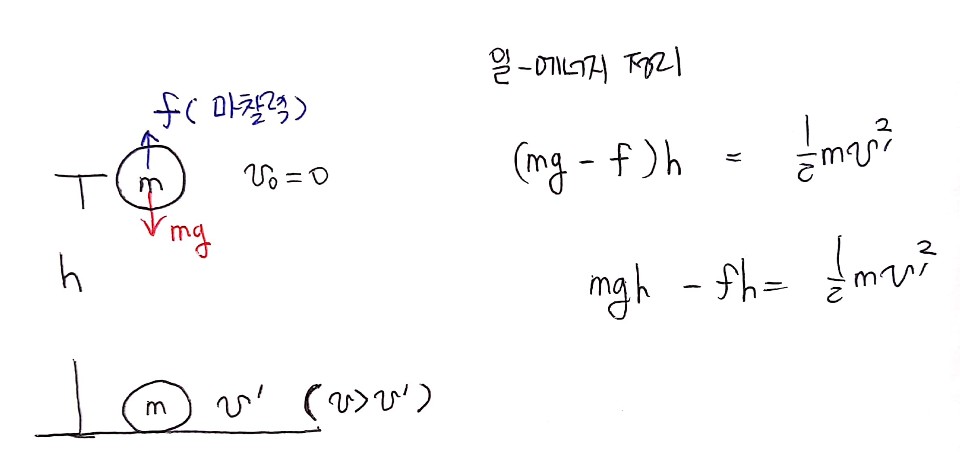
그러나 실제 세계에서는 물체에 공기저항에 의한 마찰력이 물체에 작용하지.

낙하 방향의 반대 방향으로 마찰력이 작용하기 때문에 마찰이 없는 상황일 때보다 물체의 가속도는 줄어들게 되고, 당연히 지면에 도달하는 속력 v'는 v보다 작을 거야.
물체에 작용하는 알짜힘이 한 일이 운동 에너지의 변화량이니까 좌변과 우변의 대소 관계를 보도록 하자.
마찰이 없다면 역학적 에너지가 mgh로 일정했을 텐데, 마찰이 존재한다면 마찰력이 한 일 fh만큼 에너지가 감소하고, 그에 따라 운동 에너지가 감소됐다는 걸 의미하는 거야.
반대로 물체가 운동하는 방향으로 추가적인 힘을 가해 일을 해준다면 역학적 에너지가 증가할 수도 있겠지?
즉, 중력이나 탄성력이 아닌 추가적인 힘이 한 일에 따라 역학적 에너지는 변하게 돼. 이를 일-에너지 관계로 이해하길 바랄게.
이제 중학생이 아니라 고등학생이니 단순히 마찰이나 공기 저항이 있으면 역학적 에너지의 일부분이 열 에너지로 바뀐다고만 이해하고 넘어가지 말고!
5. 기출문제 풀어보기
19년도 6월 학평 물리1(고2) 17번/ 정답률 65%

답: 1번
19년도 6월 학평 물리1(고2) 10번/ 정답률 76%

답: 2번
16년도 10월 학평 물리1 5번/ 정답률 80%

답: 3번
14년도 4월 학평 물리1 7번/ 정답률 72%

답: 2번
16년도 6월 모평 물리1 8번/ 정답률 87%

답: 4번
18년도 7월 학평 물리1 2번/ 정답률 77%

답: 4번
13년도 10월 학평 물리1 16번/ 정답률 75%

답: 4번
'물리학I 미리보기' 카테고리의 다른 글
| 원자의 구조와 전기력(쿨롱 법칙, 보어의 원자 모형, 수소 원자 선스펙트럼) (6) | 2021.01.18 |
|---|---|
| 열과 에너지(열역학 법칙, 보일-샤를 법칙) (0) | 2021.01.17 |
| 뉴턴 제 3법칙과 운동량 보존 법칙(힘의 평형, 충격량) (0) | 2021.01.15 |
| 뉴턴의 운동 법칙(F=ma, 관성, 등가속도 운동, 시간-속도 그래프) (1) | 2021.01.14 |
| 여러가지 물체의 운동(변위, 속도, 가속도, 평균속력) (1) | 2021.01.13 |