2023.03.14 - [2023 물리학I 톺아보기] - 운동량과 충격량(운동량과 충격량의 관계, 운동량 보존 법칙, 상대 속도)
운동량과 충격량(운동량과 충격량의 관계, 운동량 보존 법칙, 상대 속도)
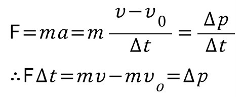
물리학Ⅰ 전개도 판서 조직도 목표 기출 문제 22년도 6월 모평 물리학1 5번 답: 5번 21년도 4월 학평 물리학1 6번 답: 3번 21년도 7월 학평 물리학1 6번 답: 5번 1. 운동량과 충격량의 관계 1) 운동량과
gooseskin.tistory.com
물리학Ⅰ 전개도

판서 조직도

목표 기출 문제
19년도 6월 학평 물리1(고2) 17번

답: 1번
16년도 10월 학평 물리1 5번

답: 3번
13년도 10월 학평 물리1 16번

답: 4번
1. 일-에너지 정리
①일과 에너지의 관계(힘에 대한 공간적 접근)
| 운동량과 충격량의 관계 | 일과 에너지의 관계 |
![]() |
![]() |
![]() |
![]() |
②일


물체에 힘 F가 작용하여 물체가 힘의 방향으로 s만큼 이동했을 때 힘 F는 물체에 Fs만큼의 일을 했다.
기호는 W(work), 단위는 J
| W>0인 경우 | W<0인 경우 | W=0인 경우 |
| 힘의 방향과 이동 방향이 같음 | 힘의 방향과 이동 방향이 반대 | F=0 s=0 힘과 이동 방향이 수직 |
수고했어 오늘도 - 옥상달빛
수고했어 오늘도
아무도 너의 슬픔에 관심 없대도
난 늘 응원해, 수고했어 오늘도

완전히 달라진 나를 보여주겠다는 일념으로 하루하루를 애쓰며 수고하는 많은 학생들에게 해주고 싶은 말이 있다. 사람 갑자기 변하면 죽는다고 찬물 끼얹는 사람들의 말에 휘둘리지 말라. '뭐 그렇게 힘들게 올라가려고만 해? 평탄하게 가도 괜찮다'는 말에 넘어가면 힘의 방향과 물체의 이동 방향이 수직인 경우, 힘이 한 일이 0이 되는 것처럼 내가 꿈꾸는 미래의 의미도 유명무실해져 버린다.
비범한 성공을 얻으려면 비범한 신념을 가져야 한다. 비범한 사람이 되고자 하는데 왜 비범하지 않은 사람들의 말에 휘둘리려 하는가? 그런 말을 들을 때일수록 내 기준과 가치를 믿으며 나아가야 한다. 그 고단함을 무릅쓰며 하루하루를 살아내는 나 스스로를 응원하는 사람은 나 자신으로도 충분하다. 아무도 나의 슬픔에 관심이 없대도 '수고했어, 오늘도'라는 말 한마디를 스스로에게 해줄 수 있는 여러분이 되기를 바란다.
③운동에너지

질량이 m이고, 속도 v로 운동하는 물체가 가지는 물리량으로써 기호는 Ek(kinetic energy), 단위는 J
④운동에너지와 운동량의 차이


운동량과 운동에너지는 운동하는 물체가 갖는 물리량이다. 이들은 질량과 속도로 표현되는 공통점을 갖는다. 그러나 둘의 태생은 다르다. 운동량은 힘과 시간의 관계에서 정의되었고, 운동 에너지는 힘과 이동 거리의 관계에서 정의되었다. 다시 말해 운동량은 힘을 시간적 관점으로 풀이한 것이고, 운동에너지는 힘을 공간적 관점으로 풀이한 것이다.
2. 다양한 힘이 작용하는 공간에서 일-에너지 정리
1) 중력이 작용하는 공간

2) 탄성력이 작용하는 공간, 용수철


용수철이 물체에 작용하는 탄성력은 용수철이 늘어난 길이에 비례한다. k는 용수철 상수이고, 'x는 원래 길이 대비 변형된 길이'이다. 부호 '-'는 탄성력의 방향이 용수철이 변형된 방향의 반대임을 뜻한다. 예를 들어 용수철이 오른쪽으로 늘어나면 탄성력은 왼쪽으로 작용하고, 용수철이 왼쪽으로 압축되면 탄성력은 오른쪽으로 작용한다.

3. 역학적 에너지
퍼텐셜 에너지
![]() |
![]() |
![]() |
![]() |
중력이 작용하는 공간과 탄성력이 작용하는 공간에서 '일-에너지' 정리를 이용하여 각 힘이 한 일과 물체의 운동에너지의 관계를 밝혀냈다. 결과식의 변수를 이항하여 정리한 식을 살펴보면 좌변과 우변의 운동량의 총합이 보존되는 것처럼 특정 위치(x1, x2, h1, h2)에서 정의되는 무언가의 합이 보존됨을 알 수 있다. 이를 '역학적 에너지'라고 한다. 각 변에 운동 에너지가 아닌 항(mgh, 1/2kx^2)을퍼텐셜 에너지'라고 한다.
| 중력 퍼텐셜 에너지 | 탄성 퍼텐셜 에너지 |
![]() |
![]() |

1) 보존되는 경우
오로지 중력과 탄성력만 작용하는, 마찰이나 공기저항을 비롯한 외부 힘이 작용하지 않는 경우



2) 보존되지 않는 경우
마찰이나 공기저항을 비롯한 외부 힘이 작용하는 경우

마찰이나 공기저항을 비롯한 외부 힘 f이 한 일만큼 역학적 에너지가 감소한다.
도전 기출 문제
22년도 9월 모평 물리학1 20번

답: 2번
2023.04.11 - [2023 물리학I 톺아보기] - 일과 에너지Ⅱ(평형점, 키워드별 기출문제 풀이)
일과 에너지Ⅱ(평형점, 키워드별 기출문제 풀이)
2023.03.21 - [2023 물리학I 톺아보기] - 일과 에너지(일-에너지 정리, 운동 에너지, 퍼텐셜 에너지, 역학적 에너지 보존) 일과 에너지(일-에너지 정리, 운동 에너지, 퍼텐셜 에너지, 역학적 에너지 보존
gooseskin.tistory.com
'2023 물리학I 톺아보기' 카테고리의 다른 글
| 지려버리는 불장난, 증기기관 (자연을 통제하고 활용한 인류①) (2) | 2023.04.27 |
|---|---|
| 일과 에너지Ⅱ(평형점, 키워드별 기출문제 풀이) (0) | 2023.04.11 |
| 운동량과 충격량(운동량과 충격량의 관계, 운동량 보존 법칙, 상대 속도) (0) | 2023.03.14 |
| 자연의 이치, 뉴턴 운동 제3법칙(작용 반작용 법칙) (2) | 2023.03.14 |
| 뉴턴 운동 법칙 ②(힘의 평형 관계, 운동 방정식) (1) | 2023.03.10 |









