해당 차시 학습지 파일
학습 목표
전자기파의 수신 과정을 설명할 수 있다.
물리학의 흐름

LC 회로의 전자기적 진동에 기반한 전자기파 송수신 원리를 토대로 헤르츠가 전자기파를 발견한 방법에 대해 알아보는 시간입니다.
겁도 없이 너에게 뛰어들었고, 우린 함께 무지개를 만들었지

영화 엘리멘탈에서 불과 만난 물이 무지개를 피어오르게 만드는 장면이 있습니다. 무지개, 분명 실재하지만 형태가 없는 역설적인 자연 현상입니다. 패러데이는 폭포수에서 피어나는 무지개를 바라보며 실재하지만 형태가 없는 전자기장의 아이디어를 떠올립니다. 그 덕분에 우리는 실재하지만 형태가 없는 무선 통신망이란 정보의 바다를 스마트폰이란 배로 항해하는 시대에 살고 있습니다. 물과 불의 우연이 필연이 되었듯이 우연처럼 얽히게 된 거장들의 전자기학적인 아이디어에서 무선 통신이라는 필연이 비롯되었던 배경에 전자기파란 개념이 자리하고 있어요.
뭐?!! 전자기파는 우연처럼 얽히게 된 아이디어들로부터 발견되었다고?!!


맥스웰은 눈에 보이지 않는 전자기장을 선으로 표현한 패러데이의 직관적 아이디어를 수학적인 언어로 재구성하는데, 그 산물이 바로 맥스웰 방정식입니다. 맥스웰 방정식의 해는 전자기장의 변형이 파동의 형태로 퍼져 나감을 시사합니다. 마치 선으로 이루어진 바닷물이 한 점에서 다른 점으로 점차 퍼져나가는 것처럼요. 더 나아가 맥스웰은 그 파동이 전기와 자기, 서로가 서로를 유도할 때 주고받는 신호임을 주장하죠. 맥스웰은 이 파동에 전자기파라는 이름을 붙입니다.
그러나 맥스웰은 난관에 맞닥뜨려요. 맥스웰 방정식에 따르면 전자기파는 파동입니다. 그 시기에는 파동이란 매질이 있어야만 진행할 수 있다는 주장이 공론화되던 때였습니다. 그러나 맥스웰 방정식에 따르면 전자기파는 매질이 없어도 진행할 수 있었거든요. 따라서 맥스웰은 매질 없이도 파동이 진행할 수 있음을 설명해야 했습니다. 그러나 그때 당시에는 그를 입증할 도리가 없었어요.


그로부터 20여 년의 시간이 지난 후 매질 없이 진행하는 파동의 증거가 등장합니다. 마이켈슨과 그의 조수 몰리가 기획한 실험의 결과였습니다. 사실 그들은 맥스웰의 바람을 이뤄주고자 실험을 한 게 아니었어요. 그들의 실험 목적은 빛의 매질, 에테르의 존재를 밝히는 것에 있었습니다. 과학자들은 예전부터 우주는 가상의 물질, 에테르로 가득 차있기 때문에 빛 파동이 에테르를 매질로 삼아 지구로 진행해 오는 것이라 생각했거든요. 하지만 마이켈슨과 몰리의 실험 결과로 인해 에테르라는 것은 애초에 없었다는 게 밝혀진 겁니다. 다시 말해 빛, 전자기파는 매질 없이도 진행할 수 있는 파동입니다.


이후에 헤르츠의 실험을 통해 전자기파의 실재가 드러나면서 빛(≒가시광선)이 전자기파의 한 종류임이 밝혀집니다. 그는 전자기적 상호작용으로 발생하는 전자기파를 눈으로 확인함으로써 맥스웰의 가설을 정설로 탈바꿈시킨 주역입니다.
1. 전자기파의 발생
잔잔한 연못 위에 돌이 첨벙 떨어지면 주변으로 물결이 이는 걸 볼 수 있는데요. 이는 돌이 일으킨 수면의 왜곡에서 비롯된 진동 에너지가 파동의 형태로 퍼져 나가기 때문입니다.

위의 비유 구조에 착안하여 전하에 의한 전자기장의 왜곡에서 비롯된 진동 에너지는 전자기파라는 파동의 형태로 퍼져 나갑니다.
전하의 가속 운동
전자기파는 파동이기 때문에 진동과 관련된 상황이 전제돼야 합니다. 그러한 진동 상황은 직류 전원이 아닌 교류 전원이 연출하겠죠?

교류 전원은 주기적인 sin 함수의 형태를 띠므로 전하가 받는 전기력 또한 주기적인 sin 함수의 형태를 띱니다.

전하의 운동을 야기하는 전기력 F는 전기장 E에서 비롯되는 힘(F=qE)이었죠. 전기력에 의해 운동하는 전하는 곧 전류의 흐름이고, 그 전류 주변에 자기장이 생성됩니다. 전기장과 자기장, 서로가 서로의 다른 모습을 90º 인 곳에 남겨두었다는 말 기억나요? 90º 를 이루는 전기장과 자기장은 각자의 진동 방향에 수직한 방향으로 진행하는 전자기파를 신호 삼아 서로를 유도합니다. 요컨대 전하가 진동을 비롯한 가속 운동을 하게 되면 전자기파라는 파동이 발생하고, 파동이 전파하면서 전자기 에너지가 주변으로 전달됩니다. 러더퍼드 원자 모형의 한계로써 전자의 가속 운동으로 인해 원자가 안정적이지 못한 이유는 이와 같은 전자기학으로 설명됩니다.
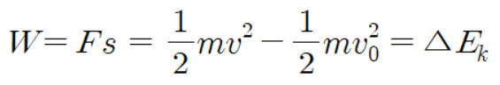
뭐?!! 광속 불변 원리를 일-에너지 정리로 설명한다고?!!

빛은 파동이면서도 입자이기도 합니다. 전자기파가 진행하는 동안, 전기력과 자기력이 광자라는 입자에 작용하는 힘과 광자(=전자기파)의 진행 방향은 수직입니다.

일의 정의에 따르면 물체에 작용하는 힘과 물체의 이동 방향이 수직인 상황이라서 광자가 받는 일의 양이 0이 되기에, 광자(=빛)는 등속 직선 운동을 할 수밖에 없습니다.
ps 사실 광자는 질량이 없는 입자라서 뉴턴 역학을 섣불리 적용할 수 없음. 따라서 위와 같은 논리 전개는 내 뇌피셜임. 그냥 비유적 창의로 여겨주길 바람.
2. 전자기파의 수신
헤르츠는 금속으로 된 안테나를 이용하여 전자기파를 수신했습니다.

안테나에 전자기파가 도달하면 안테나가 전자기파의 전기장 속에 놓입니다. 이때 전기장에 의해 금속 내 전자들이 위아래로 진동하게 되는데요. 이것은 안테나에 교류 전류가 흐르는 것과 같습니다.
LC 회로의 공명
안테나에는 여러 가지 방송에서 송신하는 다양한 전자기파들이 한꺼번에 전달되기에, 필요에 따라 특정 전자기파를 추려야만 하는데요. LC 회로의 공명 현상을 이용한다면 안테나에서 특정 진동수의 전자기파를 수신할 수 있습니다.

안테나에 연결되어 있는 축전기의 전기용량 C와 코일의 리액턴스 L를 조절하여 수신 회로의 공명 진동수를 결정하면, 안테나가 수신한 여러 전자기파 중 수신 회로의 공명 진동수와 결이 맞는 특정 진동수의 전자기파만을 선택할 수 있습니다.
Steal the show - Lauv
https://www.youtube.com/watch?v=AJsvGtGgI6M
지금 우리에게 없으면 안 되는, 어쩌면 너무나 당연한 필연처럼 여기고 있을 스마트폰과 같은 무선 통신은 전자기장을 떠올린 패러데이와 전자기장을 수학적으로 구상한 맥스웰과 에테르를 관찰하고자 했던 마이켈슨과 몰리와 전자기파를 확인했던 헤르츠, 그들의 아이디어가 우연처럼 얽힘으로써 빛(=전자기파)이 물리학에 편입되었기 때문에 가능한 것이었습니다.
이처럼 과학은 혼자만의 학문이 아니라 함께의 학문입니다. 우리의 인생 또한 마찬가지입니다. 함께의 우연에서 비롯될 필연은 무지개처럼 형태는 없지만 분명 우리의 삶에 실재합니다. 엘리멘탈 OST Steal the show를 들으며, 오늘도 물리를 통해 인생을 배웁니다.
'물리학II 클립' 카테고리의 다른 글
| 영의 이중슬릿 실험으로 알아보는 빛의 간섭 (0) | 2022.08.22 |
|---|---|
| 수면파의 간섭 (0) | 2022.08.18 |
| LC 회로의 특성 (0) | 2022.08.11 |
| 유도 기전력 및 상호 유도 (0) | 2022.06.21 |
| 전류에 의한 자기장 (0) | 2022.06.08 |