해당 차시 학습지 파일
학습 목표
교류 회로에서 축전기와 코일의 용량 변화에 따라 공명 진동수가 달라짐을 설명할 수 있다.
진자의 주기에 영향을 주는 변인을 찾을 수 있다.
우리 대부분은 두 개의 삶을 살아갑니다. 하나는 나의 본래 모습, 또 하나는 세상이 기대하는 모습이지요. 이 두 모습을 오가며 균형을 맞추려 애쓸수록 오히려 점점 "나는 누구인가?"라는 물음이 짙어지고, 양쪽 모두에 충실하려고 할수록 정작 ‘진짜 나’는 어디에도 존재하지 않는 것 같은 느낌에 사로잡히곤 합니다. 이러한 불안과 혼란을 잠재우는 방법, 오늘 공부할 물리학이 가르쳐 줍니다.
1. 직류 vs 교류

건전지나 스마트폰 배터리의 전원은 대부분 직류 형태입니다. 직류 전원의 크기와 방향은 일정해요. 반면 교류 전원의 크기와 방향은 주기적으로 변합니다. 발전소에서 생산되는 교류 전원은 가정용 콘센트로 공급되어 텔레비전이나 냉장고와 같은 가전제품을 작동시켜요.
2. 교류 회로에서 코일(L)과 축전기(C)가 갖는 특징
교류를 사용하는 기기를 이해하기 위해서는 교류 전원에 연결된 코일, 축전기 등의 작동 원리를 알아야 합니다.
1) 교류 회로에서의 코일
코일에 직류 전원을 연결하는 순간, 전류의 변화로 인해 코일에 유도 기전력이 발생하지만 시간이 어느 정도 지나서 코일에 흐르는 전류의 세기가 일정해지면 자기장의 변화가 사라지므로 유도 기전력이 없어집니다. 반면 코일에 교류 전원을 연결하면 전류가 주기적으로 변하기 때문에 유도 기전력 또한 주기적으로 발생합니다.

유도 리액턴스는 비유하자면, 교류 회로에서 코일이 갖는 저항으로써의 역할입니다. 유도 리액턴스는 코일의 인덕턴스 L이 클수록, 교류 전원의 진동수가 클수록 커집니다.
2) 교류 회로에서의 축전기
축전기에 직류 전원을 연결하면 각각의 극판에 전하가 쌓이는 동안 회로에 전류가 흐릅니다. 하지만 축전기가 완전히 충전되면 전류는 더 이상 흐르지 않게 되죠. 반면 축전기에 교류 전원을 연결하면 축전기에 충전과 방전이 주기적으로 발생하게 되므로 회로에 전류가 계속해서 흐르게 돼요.

용량 리액턴스는 비유하자면, 교류 회로에서 축전기가 갖는 저항으로써의 역할입니다. 용량 리액턴스는 축전기의 전기 용량 C이 작을수록, 교류 전원의 진동수가 작을수록 커집니다.
3. LC 회로와 주기 운동
축전기와 코일이 연결돼 있는 회로를 LC 회로라고 합니다. 축전기가 완전히 충전된 상태에서 회로의 스위치를 닫으면 오른쪽 그림에서 볼 수 있듯이 전자기적 진동 현상이 발생합니다.


https://javalab.org/lc_oscillator/
LC 진동 회로 - 자바실험실
LC 진동 회로 충전시킨 커패시터(축전기)에 인덕터(코일)를 연결해주면 전기적인 진동이 일어납니다. 충전되었던 커패시터가 방전되면서 인덕터에 자기장의 변화가 생깁니다. 이 자기장의 변화
javalab.org
1) LC 회로의 진동수



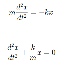
축전기의 전기 에너지와 코일의 자기 에너지가 서로 주기적으로 전환되는 전자기적 진동은 용수철의 탄성 퍼텐셜 에너지와 물체의 운동 에너지가 서로 주기적으로 전환되는 단진동과 매우 비슷합니다.

뉴턴 운동 법칙에서 비롯된 용수철에 매달려 있는 물체 m에 대한 운동 방정식은 다음과 같이 표현됩니다.

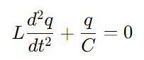
키르히호프 법칙에서 비롯된 축전기와 코일 각각의 양단 전위차 관계에 대한 회로 방정식은 다음과 같이 표현됩니다.


이처럼 고유 진동의 기본 형태는 다음과 같은 2차 선형 미분 방정식으로 나타나는데요.

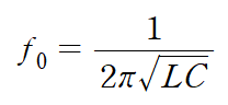
그래서 각 시스템에서의 고유 각진동수 w가 다음과 같이 정의되는 겁니다.



진자의 주기와 등시성
뭐?!! 심장의 두근거림에서 물리를 발견했다고?!!

갈릴레이는 천장에 매달려 움직이는 램프의 진동 주기를 맥박과 비교함으로써 진동의 진폭이 크든 작든, 물체의 질량이 무겁든 가볍든, 일정한 맥박수에 맞춰 흔들림을 발견합니다. 진자의 주기는 진동의 진폭 크기 및 진자의 질량에 무관하다는 등시성을 발견한 거죠. 두근거림으로 물리적 현상을 발견한 갈릴레이의 심장은 얼마나 두근거렸을까요? 피사의 사탑에서 떨어트리는 물체의 낙하 시간이 질량에 무관하다는 물리적 현상을 발견했을 때만큼 두근거렸을까요?

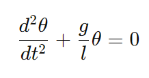
단진자에 작용하는 중력에 의한 돌림힘은 매달린 점을 기준으로 다음과 같이 정의됩니다.

음의 부호를 붙인 이유는 돌림힘의 방향이 평형 위치로 복원하려는 쪽을 향하기 때문이에요. 훅의 법칙을 상기해 보세요. 뉴턴 운동 제2법칙의 회전형 버전은 다음과 같습니다.


따라서 다음과 같은 식이 나와요.

sinθ를 θ로 근사하고, 양변을 정리하면 아까 보았던 2차 선형 미분 방정식의 형태가 유도됩니다.


이를 통해 진자의 주기는 줄의 길이와 중력 가속도에만 의존하지, 진자의 질량이나 진동의 진폭(≒각도)과는 전혀 무관하다는 사실을 알 수 있어요. 갈릴레이는 이를 '진자의 등시성'이라 정의했습니다.
2) LC 회로의 공명


공명이란 계에 가해지는 외부 힘의 진동수가 계의 고유 진동수에 가까워질 때, 즉 시간의 결이 맞을 때 진동의 진폭이 더욱 커지는 현상을 일컫습니다. 적절한 타이밍에 그네를 밀어줄 때 그네의 진폭이 더욱 커지는 까닭이 공명이예요. 이와 마찬가지로 LC 회로의 자체 진동수와 맞는 교류 전원을 연결해 주면 회로에 흐르는 전류값이 최대가 됩니다. 다시 말해 회로에 흐르는 전류가 최대일 때의 교류 전원 진동수를 공명 진동수라고 하고, 그 크기는 LC 회로의 진동수와 같습니다.

Golden - KPop Demon Hunters OST
https://www.youtube.com/watch?v=-NXmMj7RQUc&list=RD-NXmMj7RQUc&start_radio=1
I lived two lives, tried to play both sides. But I couldn't find my own place
축전기와 코일 사이에서 전자기 에너지가 진동하듯, 우리의 정체성도 두 세계 사이를 끊임없이 오갑니다. 하나는 있는 그대로의 나, 또 하나는 세상이 바라는 나. 그렇게 생겨난 내면의 갈등은 마치 축전기와 코일 사이를 오가는 에너지처럼 끊임없이 흔들리고, 부딪치고, 반복되며, 하나의 심리적 진동 회로를 만들어냅니다. 그 회로 속에서 우리는 자주 불안해지고, 때론 자신을 잃어버린 듯한 감각에 휘말리곤 하지요.
But now that's how I'm getting paid
하지만 외부의 진동수와 회로의 고유 진동수가 일치할 때 공명이라는 울림이 일어났듯, 진동은 단지 혼란만을 의미하는 것이 아닌 조율을 향한 반복입니다. 우리의 삶도 이와 다르지 않습니다. 지금 내 안에서 반복되는 흔들림이 어쩌면 나만의 고유한 진동수를 찾아가는 과정일지도 모릅니다. 그리고 언젠가 그 진동수와 맞닿는 사람, 일, 환경을 만나게 되었을 때 우리는 마침내 공명하며, ‘진짜 나’의 목소리로 세상에 울림을 낼 수 있게 되는 것입니다.
Gonna be, gonna be golden
그러니 너무 조급해하지 않아도 괜찮아요. 지금의 혼란도 흔들림도, 어쩌면 모두 울림을 위한 전조일 수 있습니다. 그 진동이 때로는 불안처럼 느껴지더라도 포기하지 않고 이어나간다면, 반드시 우리와 공명할 반짝거리는, Golden 세상이 찾아올 것입니다. 오늘도 물리를 통해 인생을 배웁니다.
'물리학II 클립' 카테고리의 다른 글
| 수면파의 간섭 (0) | 2022.08.18 |
|---|---|
| 전자기파의 발생과 수신 (1) | 2022.08.16 |
| 유도 기전력 및 상호 유도 (0) | 2022.06.21 |
| 전류에 의한 자기장 (0) | 2022.06.08 |
| 전기 에너지의 저장 {축전기} (1) | 2022.06.02 |