해당 차시 학습지 파일
학습 목표
- 유도 기전력의 발생 원리를 설명할 수 있다.
- 유도 기전력의 크기를 구할 수 있다.
- 상호 유도 현상이 활용되는 예를 찾아 그 원리를 설명할 수 있다.
억까로 인해 고통을 받고 있는 여러분에게 해주고 싶은 말이 있어요.
건강한 사람은 건강을 의식하며 살아가지 않습니다. 몸이 아프고 나서야 건강한 삶에 대해 의식하게 되죠. 문벽에 발을 찧어 고통이 밀려올 때면 그전까지 자기 발에 이상이 없었음을 인식하게 되는 것처럼요. 우리의 인생 또한 평상시에는 내가 어디로 가고 있는지, 무엇이 되고자 하는지 본인 스스로 의식하지 못하다가 살아있음을 후회하게 만드는 그릇된 현실과 나를 고통스럽게 만드는 대상의 출현, 속된 말로 억까를 당할 때 내면에서 우러나오는 삶의 의지를 마주하게 됩니다. 억까를 토대로 삶의 의지를 다잡는 역설의 교훈, 오늘 공부할 물리학이 가르쳐 줍니다.
물리학의 흐름
문명의 발전(發展), 발전(發電)에 의한 에너지
인류의 삶은 불연속적인 계단형으로 발전하였고 그 중심에는 에너지가 있었습니다. 에너지 가공 방식에 따라 우리 삶의 질이 결정됐다고 말해도 과언이 아니에요. 우리는 지금 역사상 가장 세련된 형태의 에너지, 전기 에너지를 사용하고 있습니다.
https://www.youtube.com/watch?v=B69hV6YTdwQ
우리의 삶에서 전기 에너지가 사라진다면 어떨까요? 당장 이 땡볕의 여름날에 에어컨 작동은 고사하고, PC와 스마트폰 사용에 차질이 생겨 개인적인 업무라든지, 사회적 소통에 어려움이 생기게 됩니다. 이처럼 전기 에너지의 차단에서 비롯된 수많은 제약을 고려한다면, 전기 에너지는 우리의 삶과 떼려야 뗄 수 없는 필수 소비재입니다. 이번 시간에는 임의의 에너지를 전기 에너지로 가공하는 발전(發電)의 원리, 전자기 유도에 대해서 공부합니다.

패러데이는 자기가 전기를 유도하는 현상, 전자기 유도를 토대로 전자기 대칭성을 입증합니다. 중학교에서부터 고등학교에 이르기까지 패러데이의 전자기 유도를 숱하게 공부하는 이유는 전자기 유도가 물리학 서사에 굉장히 많은 함의를 갖고 있기 때문이죠.
전자기 유도는 전기와 자기가 서로 구별되는 다른 현상이 아니고, 전자기장이라는 하나의 현상에서 기인함을 함의합니다. 이를 토대로 맥스웰은 전기와 자기가 상호 작용하며 서로를 유도하는 과정에서 주고받는 신호인 전자기파란 존재를 예측하죠. 그러나 패러데이와 맥스웰의 발견이 대단한 이유는 따로 있습니다. 바로 전자기장이 전하와 관계없이 개별적으로 존재할 수 있는 독립적 개체임을 밝혔다는 것에 있죠. 패러데이와 맥스웰의 발견으로 말미암아 장(field) 이론의 초석이 다져지게 됩니다. 훗날 장(field) 이론은 아인슈타인으로 하여금 중력의 비밀을 파헤치는 데 큰 도움을 주고요.
1. 패러데이 법칙
1) 유도 기전력의 크기

패러데이는 코일 근처에서 막대자석이 움직일 때 회로의 검류계 바늘 역시 움직이는 걸 발견합니다. 검류계 바늘이 움직인다는 건 코일에 전류가 흐른다는 걸 의미해요. 이는 자기가 전기를 유도한 결과임에 틀림없어요. 이를 비롯하여 패러데이는 몇 가지 이상한 점을 발견합니다.
| ⓐ 자석과 코일의 상대적 움직임이 있을 때만 검류계 바늘이 움직임 ⓑ 자석(또는 코일)을 빨리 움직이거나, 코일을 많이 감거나, 센 자석을 이용하여 실험할 때 검류계 바늘이 큰 폭으로 움직임 ⓒ 자석이 코일에 들어갈 때와 나올 때 바늘의 움직이는 방향이 반대임 |
패러데이는 이 세 가지 상황을 종합하고 자신만의 직관을 발휘하여 다음과 같은 정량적인 식을 완성합니다.

ⓐ '자석과 코일의 상대적 움직임이 있을 때만 검류계 바늘이 움직임' 해설
건전지가 없음에도 전류가 흐른다는 건 뭔가가 건전지를 대신해 기전력의 역할을 하고 있음을 뜻합니다. 패러데이는 자석과 코일의 상대적 움직임이 기전력의 역할을 한다고 본 거죠. 그는 자기장과 공간의 기하학적 관계를 자속이란 개념으로 설명합니다. 자속Φ(=BA)이란 단위 면적을 지나는 자기력선의 수로써 자기장이 지나는 면적(A)에 자기장의 세기(B)를 곱한 값이에요.
자속(=자기 선속)
자기 선속을 자속이라 합니다. 전기 선속과 마찬가지로 자기 선속은 임의의 곡면을 통과하는 자기장 벡터와 면적 벡터의 스칼라 곱으로 정의돼요.



자석의 N극이 코일에 가까워지는 상황을 봅시다.

N극이 코일에 가까워지는 동안(△t) 코일의 면적 A를 통과하는 자기장의 세기가 변합니다. 처음에는 코일의 면적 A를 통과하는 자기력선이 두 개였지만, 나중에는 네 개로 증가합니다. 같은 면적을 통과하는 자기력선의 수가 많다는 건 그만큼 자기력선이 빽빽이 밀집해 있다, 다른 말로 자기력선간의 간격이 좁다는 걸 뜻하죠.
정리하면 코일에 N극이 가까이 오는 동안 코일 면적 A를 통과하는 자기장의 세기가 증가합니다. 따라서 자속 Φ이 커지게 되죠. 이러한 시간에 따른 자속 변화(=△Φ/△t)가 기전력의 역할을 합니다. 반대로 자석이 가만히 있고 코일이 움직이는 경우 또한 시간에 따른 자속 변화가 생긴다는 측면에서 같습니다. 그러나 코일과 자석이 모두 정지해 있거나, 코일과 자석 모두 같은 방향, 같은 빠르기로 움직이는 경우는 다릅니다. 이는 코일을 통과하는 자기장의 변화가 생길 수 없는 경우이기 때문이죠.
즉, 자석과 코일 간에 상대적인 움직임이 있어야만 코일을 통과하는 자속에 변화가 생겨요. 이처럼 변화하는 자속에 의해 만들어지는 기전력을 유도 기전력이라고 합니다. 그리고 유도 기전력에 의해서 흐르는 전류를 유도 전류라고 해요.
ⓑ '자석(또는 코일)을 빨리 움직이거나, 코일을 많이 감거나, 센 자석을 쓸수록 바늘이 큰 폭으로 움직임' 해설
바늘이 큰 폭으로 움직인다는 건 전류의 세기가 커졌다는 걸 의미합니다. 이는 유도 기전력이 커졌다는 뜻이에요. 일반적으로 자석(또는 코일)이 빨리 움직이면 자속의 시간 변화율(=△Φ/△t)이 커집니다. 예를 들어 자속이 10만큼 변화하는 데 걸리는 시간이 1초인 경우와 10초인 경우, 당연히 전자의 경우가 시간에 따른 자속 변화율이 큽니다. 달리 말하면 10초 걸릴 걸 1초로 단축시킨 만큼 자석(또는 코일)이 빨리 움직였다는 뜻이죠. 즉, 자석이 빨리 움직일수록 자속의 시간 변화율이 커져서 유도기전력의 세기가 커집니다.
V ∝ △Φ/△t
더불어 자석이 셀수록 자기장 B이 크기 때문에 센 자석을 쓰면 같은 시간 동안(△t) 자속 변화량(△Φ)이 커집니다. 따라서 센 자석으로 실험하면 더 큰 유도 기전력이 생깁니다. 또한 코일을 많이 감을수록 바늘이 큰 폭으로 움직였는데 이는 유도 기전력의 세기가 코일을 감은 횟수 N에 비례한다는 뜻입니다.
V ∝ N
위의 인과 관계를 종합하면 아래 식과 같아요.

그렇다면 패러데이 법칙의 부호 (-)는 무엇을 의미할까요? 이는 '자석이 코일에 들어갈 때와 나올 때 바늘의 움직이는 방향이 반대임'과 관련 있습니다.
뭐??! 패러데이는 수학을 잘하지 못했다고??!


가난한 대장장이 수습생의 아들로 태어난 패러데이는 정규교육을 거의 받지 못했기 때문에 수학적인 사고보다 무엇이든 시각화하는 것을 좋아했대요. 전기력과 자기력처럼 눈에 보이지 않는 물리적 실체를 선으로 시각화한 것은 수학을 못하는 패러데이의 성향이 탄생시킨 발명품입니다. 사실 위에서 학습한 패러데이 법칙은 패러데이가 아닌, 맥스웰의 작품입니다. 전자기 현상에 대한 패러데이의 직관적 이해를 맥스웰이 수학적 언어로 재구성한 거죠. 이 과정에서 맥스웰은 전기와 자기가 서로 얽힌 채 춤을 추면서 파동의 형태로 공간을 가로질러 나아간다는 사실을 예측합니다.
중요한 건 꺾이지 않는 마음입니다.
물론 수학은 중요한 도구예요. 하지만 그보다 더 근본적인 건 상상력과 포기하지 않는 자세입니다. 보이지 않는 것을 그릴 줄 아는 용기, 이해되지 않아도 계속 붙들고 있는 끈기. 그게 바로 패러데이가 보여준 ‘과학하는 자세’이자 '삶을 살아가는 자세'이죠.
2) 전지의 기전력 vs 유도 기전력


지구 주변의 중력장과 점전하 주위의 전기장은 수렴 및 방사의 형태입니다. 전기장의 분포는 중력장과 구조적으로 유사하기 때문에 중력의 역학이 고스란히 적용됐죠.

전지의 기전력은 전하의 이러한 역학적 특징에 기인합니다. 그러나 유도 기전력은 그렇지 않습니다.

(a)는 변하는 자기장 영역에 놓인 반지름 r인 구리 고리에 유도된 기전력으로 인해 반시계 방향으로 흐르는 유도 전류를 나타낸 그림입니다. 따라서 유도 전기장 또한 반시계 방향의 고리 모양을 띠고 있음을 나타낸 그림이 (b)입니다. 네. 유도 전기장의 형태 자체가 전하 주위의 전기장 형태와 아예 다르죠. 따라서 유도 전기장에서 비롯된 유도 기전력과 전하 주위의 전기장에서 비롯된 전지의 기전력은 다릅니다.
2. 렌츠 법칙
1) 유도 기전력의 방향
③ '자석이 코일에 들어갈 때와 나올 때 바늘의 움직이는 방향이 반대임' 해설

운동하는 물체는 계속 운동하려 하고, 정지한 물체는 계속 정지해 있으려고 합니다. 변화를 거부하는, 본래의 운동 상태를 유지하려는 성질인 관성은 전자기 현상에서도 유효해요. 자석의 N극이 코일에 가까이 오면 코일은 위쪽이 N극, 아래쪽은 S극인 하나의 자석이 되어 다가오는 자석을 척력으로 거부합니다. 반대로 자석의 N극이 코일에서 멀어지면 코일은 위쪽이 S극, 아래쪽은 N극인 자석이 되어 멀어지는 자석을 인력으로 거부합니다. 이처럼 코일은 자석의 움직임을 방해하는 방향으로 자기장을 유도하는데요.
이러한 자기장의 원인은 유도 전류이고, 유도 전류의 원인은 유도 기전력입니다. 즉 자석의 움직임을 방해하는 자기장의 방향은 유도 전류의 방향이 결정하고, 유도 전류의 방향은 유도 기전력의 방향이 결정하죠. 이처럼 자속의 변화를 방해하는 방향으로 유도 기전력의 방향을 결정하는 자연의 습성을 렌츠가 부호 -로 표현한 겁니다.
2) 에너지 보존 법칙

코일 근처에서의 자석의 움직임은 전자기 유도 현상, 정확히 말해 렌츠 법칙에 의해 점차 둔화됩니다. 손실된 운동 에너지(=빨간 막대)는 어떻게 됐을까요? 자석의 움직임이 느려지는 대신 코일에 전류가 흐르고 그 주변에 자기장이 생깁니다. 즉 자석의 운동 에너지 일부는 전자기 에너지로 전환되는 거예요. 만약에 코일이 자석의 움직임을 방해하지 않고 외려 환영했다면 어땠을까요? 자석이 더 빨리 움직이기에 운동 에너지는 전보다 증가한 데다, 자속의 변화에 의해 생긴 전자기 에너지까지 고려하면 에너지 총량이 증가하는 기현상이 발생합니다. 이는 에너지 보존 법칙을 위배하죠.

이러한 기현상을 방지하기 위해 자연은 변화를 거부해야만 했어요. 즉, 렌츠 법칙은 에너지 보존 법칙을 전자기 현상에 맞게 각색한 것에 지나지 않아요.
3) 전자기 유도의 활용




발전기는 전기 에너지를 생산하는 장치로써 회전 운동에 의해 코일을 지나는 자기장이 주기적으로 변화될 수 있는 구조입니다. 자속이 주기적으로 변화하는 삼각함수의 형태이기에 그의 미분형, 유도 기전력 또한 주기적으로 변화하는 삼각함수의 형태입니다. 이처럼 크기와 방향이 주기적으로 변하는 전원의 형태를 교류라고 하며 발전기에서 생산되는 전력은 교류입니다. 그렇다면 발전기에서 생산하는 전력이 직류가 아닌 교류인 까닭은 무엇일까요?
뭐?!! 에디슨과 테슬라는 서로 라이벌이었다고?!!
19세기, 전력 공급 체계를 두고 피 터지게 싸웠던 에디슨과 테슬라. 당시 에디슨은 직류 발전, 테슬라는 교류 발전을 고집했죠. 에디슨의 거대한 자본력과 명성에도 굴하지 않고 테슬라가 승리를 거머쥐게 된 이유는 무엇이었을까요?
답은 간단합니다, cheap 하고 chic 해서.
에디슨이 투자한, 직류 발전으로 생산한 전력은 발전소 0.8km 반경 내에서만 공급되기 쉬웠던 데다, 전력 생산 단가 또한 비쌌기 때문에 소수의 부유층만이 전기의 특혜를 누릴 수 있었습니다. 그러나 테슬라의 교류 발전은 보다 먼 거리의 수요자에게 전력을 쉽게 공급할 수 있었고, 전력 생산 단가가 저렴했기 때문에 누구나 전기의 특혜를 값싸게 누릴 수 있었죠. 그래서 테슬라가 이긴 겁니다. 하지만 무엇보다 테슬라의 시크함이 승리의 큰 몫을 차지했죠. 그렇다면 테슬라의 교류 전력이 cheap 한 이유 및 어떠한 면에서 테슬라가 chic 했는지에 대한 이야기, 다음의 상호 유도 파트에서 이어집니다.
3. 상호 유도
1) 상호 유도의 원리

한 코일에서의 전류 변화가 이웃한 코일에 유도 기전력을 만드는 현상을 상호 유도라 합니다. 1차 코일의 전류가 변하면 1차 코일이 만드는 자기장 B1이 변하고, 그에 따라 2차 코일을 지나는 자기선속이 변하여 2차 코일에 유도 기전력이 생성됩니다.

2) 상호 유도의 활용



변압기
변압기는 전압을 변화시켜 주는 장치로써 그 작동 원리는 상호 유도입니다.


그림과 같이 변압기는 ㅁ자 형태의 철심에 코일을 감은 구조입니다. 쉬운 이해를 위해 ㅁ자 형태의 철심을 오른쪽 그림처럼 일렬로 펴보겠습니다.

① 1차 코일에서의 생산 전력
발전소에서 생산되는 전력 P는 1차 코일에 걸리는 전압 V1과 1차 코일에 흐르는 전류 I1의 곱으로 정의됩니다. 비유하자면 발전소에서 생산되는 전력이 1차 코일에 머물러 있는 형태입니다. 이 머물러 있는 생산 전력을 송전하기 위해 가공 처리하는 작업이 2차 코일에서 일어납니다.

② 2차 코일에서의 가공 전력
1차 코일에 흐르는 전류 I1에 의해서 코일 내부에 자기장 B가 생성됩니다. 이 자기장 B는 철심을 따라 2차 코일에게까지 영향을 미칩니다.

이때 자기장 B가 변화한다면 2차 코일에서 상호 유도가 발생하기 때문에 2차 코일에 유도 기전력 V2가 생성됩니다.

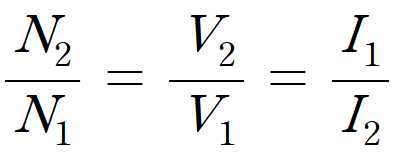
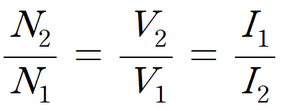
패러데이 법칙에 따라 유도 기전력의 세기는 코일을 감은 횟수에 비례합니다.


변압기에서 전력 손실이 없다면, 에너지 보존 법칙에 의해 1차 코일의 생산 전력과 2차 코일의 가공 전력이 같습니다.

따라서 변압기의 1차 코일과 2차 코일에서 각각의 물리량은 다음과 같은 관계를 만족합니다.


③ 교류 발전에서만 변압이 가능한 이유
변압의 원리는 전자기 유도의 한 갈래, 상호 유도입니다. 전자기 유도란 변화하는 자기가 전기를 만드는 현상이에요. 여기서 포인트는 변화하는 자기장입니다. 즉, 2차 코일에 자석을 넣었다 뺐다 하는 효과가 나타나야 한다는 것이고, 그러기 위해선 1차 코일에 흐르는 전류의 방향과 크기가 바뀌어야 한다는 걸 의미합니다. 이러한 전류 형태는 교류 발전에서만 가능합니다.

반면 직류 발전에서는 전류의 크기와 방향이 고정되어있다 보니 아래 그림처럼 자석이 정지해 있는 형태입니다.

따라서 변압을 이용한 송전 과정은 에디슨의 직류 발전에서는 가능하지 않았고, 테슬라의 교류 발전에서는 가능했습니다.
④ 교류가 cheap 한 이유


송전 과정에서 손실 전력을 최소화하기 위해서는 송전 전류를 줄여야 하고, 송전 전류를 줄이기 위해서는 전압을 높여야만 합니다. 상호 유도를 활용한 변압기가 그 수요를 충족했고, 직류가 아닌 교류만이 변압기를 작동시킬 수 있었습니다. 반면 직류는 전압을 쉽게 바꿀 수 없어 손실이 커집니다. 이 때문에 직류로 전기를 보내려면 더 많은 설비와 비용이 필요하게 되고, 결과적으로 생산 단가가 교류에 비해 비싸지는 것입니다.
수많은 억까에 굴하지 않고 chic 했던 테슬라의 깡
직류 발전에서의 송전 효율을 높일 수 있는 기술이 필요했지만 이를 개발하는 것이 불가능하다고 판단했던 에디슨은 결국 테슬라의 교류 발전에 대한 마타도어를 구사하는, 속된 말로 억까 시전을 합니다.

에디슨은 교류 발전이 직류 발전보다 위험하다는 것을 강조하기 위해 개와 고양이를 교류 전기로 감전시켜 죽이는 것을 대중들에게 스스럼없이 보여주는가 하면 더욱 극적인 장면을 연출하기 위해 사형수를 전기의자에 앉혀 죽이기도 했습니다. 게다가 고전압 송전으로 손실 전력을 줄이는 교류 발전의 장점을 원천적으로 차단해 버리기 위해 송전압을 800V 이하로 제한하는 법을 만들기 위한 로비활동까지 펼칩니다.

이런 에디슨의 꼼수에 가만히 당하고만 있을 테슬라가 아니었어요. 그는 몇 백만 볼트의 교류 발전기 옆에 앉아 시크하게 책을 읽고 있는 장면을 연출함으로써 교류 발전의 위험성에 대한 주장을 일축합니다.

이후에 교류 발전에 대한 여러 박람회를 성공적으로 마친 테슬라는 기세를 몰아붙여 나이아가라 발전소 사업 수주에 뛰어듦으로써 에디슨과의 전면전을 준비합니다. 결국 테슬라는 에디슨을 꺾고 계약을 따내는 데 성공합니다. 이를 계기로 교류 발전 체계가 전력 공급의 표준이 되었어요.
시차 - 우원재
니들이 꿈을 꾸던 그 시간에 나도 꿈을 꿨지. 두 눈 똑바로 뜬 채로

지평선 너머 져내리는 태양은 또 다른 누군가에게는 떠오르는 태양입니다. 남들이 꿈을 꾸던 그 시간에 두 눈을 똑바로 뜬 채로 꿈을 키워가는 사람들의 chic 함, 내 삶이 머물고 있는 시간이 남들과는 다소 다를지라도, 그 시차의 억까에도 불구하고 내 삶을 강단 있게 꾸려가는 chic함, 그 모두는 지금의 내 시간은 남들이 돈 주고 가는 파리의 시간과 다를 바 없이 소중하다는 역발상에서 비롯된 게 아닐까요? 그러한 역발상이 있었기에 동방의 소음은 전국을 울려대는 히트곡이 되었죠.
이처럼 역발상은 숨어있던 가치를 드러나게 해 줍니다. 전기와 자기의 관계에 대한 역발상에서 비롯된 전자기 유도 덕분에 우리가 편리하고 세련된 전기 에너지의 가치를 누릴 수 있는 것처럼요. 오늘도 물리를 통해 인생을 배웁니다.
'물리학II 클립' 카테고리의 다른 글
| 전자기파의 발생과 수신 (1) | 2022.08.16 |
|---|---|
| LC 회로의 특성 (0) | 2022.08.11 |
| 전류에 의한 자기장 (0) | 2022.06.08 |
| 전기 에너지의 저장 {축전기} (1) | 2022.06.02 |
| 전기 에너지의 증폭 {트랜지스터의 원리} (0) | 2022.05.30 |