해당 차시 학습지 파일
성취 기준
뉴턴 운동 법칙으로 등가속도 운동을 설명하고, 교통안전사고 예방에 적용할 수 있다.
물리학 전개도

판서 조직도

우리는 지난 시간에 관성을 배웠습니다. 변화를 거부하는 성질이 질량에 비례한다는 사실을요. 그런데 이 성질은 어떤 조건에서는 훨씬 더 크게 드러납니다. 이 단원은 그 원리를 통해 우리가 매일 마주하는 도로 위의 숫자들이 단순한 규정이 아닌, 자연법칙이 허락한 최소한의 약속임을 이해하게 됩니다. 그리고 그 이해는 우리에게 왜 때로는 천천히 가는 것이 더 많은 것을 지켜내는 길이 되는지 생각하게 할 거예요.
2. 운동의 표현
1) 변위와 이동거리

변위와 이동거리는 위치의 변화를 담고 있는 물리량으로 얼핏 보면 같아 보이지만 엄밀히 따지면 다릅니다. '이동거리'란 물체가 실제로 이동한 거리로써 단순히 크기만을 따지지만, '변위 d(displacement)=위치의 변화'란 물체의 처음 위치에서 나중 위치까지 잇는 직선거리로 크기와 방향을 모두 따집니다. 변위와 이동거리 모두 거리와 관련된 물리량이기 때문에 단위는 m입니다.

경로 A, B, C의 이동거리는 모두 다릅니다. 대소를 따지면 C>A>B 입니다. 그러나 A, B, C의 변위는 모두 동일합니다. 크기는 초록선 길이만큼이고, 방향은 북동쪽입니다.
2) 속도와 속력

위 공식의 '이동거리' 자리에 '변위'를 대신 넣으면 '속도 v(velocity)'를 구하는 공식이 됩니다. 크기와 방향을 갖는 '변위'를 시간으로 나눴기 때문에 '속도' 역시 크기와 방향을 갖습니다. 속도와 속력은 시간 대비 거리의 물리량이기 때문에 단위는 m/s입니다.

2초 동안 자동차의 변위는 동쪽으로 22m입니다. 편의상 동쪽을 (+)로 서쪽을 (-)로 정의할게요. 2초 동안 변위가 +22m이므로 자동차의 속도는 +11m/s입니다.
시간- 위치 그래프

'시간-위치' 그래프에서의 기울기가 의미하는 것은 일정 시간이 소요되는 동안의 위치 변화(=변위), 즉 속도입니다. 시간-거리 그래프에서는 기울기만이 물리적 의미를 갖습니다.
3) 가속도
'가속도 a(acceleration)'란 일정 시간이 소요되는 동안의 속도 변화를 나타내는 물리량입니다. 따라서 단위는 m/s² 입니다. 가속도도 방향 정보를 갖습니다. 아래 그림에서 물체의 가속도 방향(=속도 변화량 방향)은 (+)입니다.




시간-속도 그래프

'시간-속도' 그래프에서의 기울기가 의미하는 것은 일정 시간이 소요되는 동안의 속도 변화, 즉 가속도입니다. 시간-속도 그래프에서는 기울기 아래 면적 또한 물리적 의미를 갖는데요. 이 그래프의 기울기 아래 면적은 변위입니다. 그 이유는 시간-속도 그래프의 기울기 아래 면적은 속도(m/s)와 시간(s)의 곱으로 정의되는데, 이때 시간(s)이 소거되고 변위(m)만 남기 때문이죠.
3. 등가속도 직선 운동의 세 가지 공식
1) 가속도의 정의를 이용한 첫 번째 공식

2) 시간-속도 그래프를 이용한 두 번째 공식

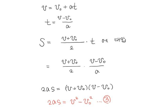
3) 연립방정식을 이용한 세 번째 공식

등가속도 직선 운동하는 물체의 그래프
① 가속도의 방향과 운동 방향이 같은 경우
등가속도 직선 운동하는 물체의 운동 방향과 가속도 방향이 오른쪽으로 동일한 상황입니다.

가속도가 양의 값으로 일정하기 때문에 시간-가속도 그래프는 상수 함수 형태입니다.

속도 v는 시간 t에 정비례하여 증가합니다.(=등가속도 직선 운동 첫 번째 공식) 시간-속도 그래프의 기울기(=가속도)는 일정합니다.

변위 s는 t의 제곱에 비례하여 증가합니다.(=등가속도 직선 운동 두 번째 공식) 시간-위치 그래프의 기울기(=속도)는 점점 가팔라지고(=속도 증가) 있습니다.
② 가속도의 방향과 운동 방향이 반대인 경우
등가속도 직선 운동하는 물체의 운동 방향과 가속도 방향이 반대인 경우로 물체가 t=0일 때 v라는 속도로 오른쪽으로 움직이고 있는 상황입니다.

가속도가 음의 값으로 일정하기 때문에 시간-가속도 그래프는 상수 함수 형태입니다.

속도 v는 감소하다가 정지하고 그 후에 음의 방향으로 점점 빨라지는 등 속도 변화가 다채롭지만, 시간에 따른 속도 변화는 일정합니다. 그 이유는 시간-속도 그래프의 기울기(=가속도)가 일정하기 때문이죠.

시간-위치 그래프의 기울기(=속도)는 완만해지다가(=감소) 0이 된 이후부터 다시 가팔라집니다.(=증가)
그래프에서 운동 방향과 힘의 방향이 바뀌는 지점 찾기



속도의 부호가 바뀌는 지점에서 운동 방향이 바뀌고, 가속도의 부호가 바뀌는 지점에서 물체에 작용하는 힘의 방향이 바뀝니다.
등가속도 직선 운동하는 물체의 평균 속도



4. 등가속도 운동과 교통안전사고 예방


도로 위의 숫자들은 단순한 규정이 아니라 ' v² - v₀² = 2as '라는 자연의 언어를 사람이 알아들을 수 있도록 번역해 둔 산물입니다.
1) 제동 거리

운전자는 위험을 감지한 순간 즉각 반응하지 못하기 때문에 브레이크를 밟기까지 일정한 시간 동안 달리던 속도로 계속 주행하게 됩니다. 이때 주행한 거리를 공주 거리라고 해요. 그리고 운전자가 브레이크를 밟은 이후에도 자동차는 일정한 거리를 이동한 후에 멈추는데 이 거리를 제동 거리라고 합니다. 공주 거리와 제동 거리의 합을 정지 거리라고 하고요.
2) 그래프 분석

브레이크가 작동하기 전까지 자동차는 등속 직선 운동을 하고, 제동이 시작되면 자동차의 운동 방향과 반대 방향으로 일정한 힘, 마찰력이 작용한다고 가정합시다. 따라서 자동차는 그래프와 같이 속도가 일정하게 느려지는 등가속도 직선 운동을 해요. 등가속도 직선 운동의 식 ' v² - v₀² = 2as '에서 나중 속도 v는 0이므로, 제동 거리 s는 자동차의 처음 속도 v₀의 제곱에 비례합니다.
질량이 변화를 거부하는 고집이라면, 속도는 그 아집을 제곱처럼 키워 작은 증가에도 멈출 거리를 크게 늘려 놓습니다. 그래서 운전자는 최소한 정지 거리만큼 앞차와의 간격을 두어야 하는 거예요. 제한 속도 또한 아무렇게나 정해진 숫자가 아니라 ‘지금 멈추라 하면 제대로 멈출 수 있는’ 가장 안전한 속도라는 점도 함께 기억해야 합니다.
그래서 천천히 가는 사람은 부딪히지 않기 위해 여백을 지키는 사람으로, 자신과 타인을 함께 살필 수 있는 넓은 시야를 가진 사람입니다. 그리고 이 느림의 태도는 도로를 넘어, 세상이 변하는 방식에도 그대로 이어집니다.
느림의 미덕

우리는 혁신이 언제나 빠르고 극적일 것이라 생각하지만, 실제 역사 속 변화는 대부분 느리게 스며들었습니다. 1910년대 포드 Model T가 등장했을 때 사람들은 곧 말이 사라질 것이라 예상했어요. 그러나 현실에서는 말의 수요가 1920년대 초반까지도 유지되며 농장과 일상 곳곳에서 오랫동안 사용되었습니다.

모빌리티 혁명이라 불리는 전기차는 사실 1800년대 중반, 즉 내연기관 자동차보다 먼저 등장했었어요. 그러나 낮은 효율과 부족한 충전 인프라 그리고 시장의 준비 부족 때문에 오랫동안 중심 기술이 되지 못했죠. 이처럼 기술은 먼저 등장할 수 있지만, 사회와 시장은 큰 관성을 지니고 있어 그 기술이 적용되는데 꽤 긴 시간을 필요로 합니다. 그래서 혁신은 단숨에 이루어지기보다, 느린 변화 속에서 완성됩니다.
Slow starter - 이승기
https://www.youtube.com/watch?v=IzSQsfhpJSU&list=RDIzSQsfhpJSU&start_radio=1
느리지만, 늦지는 않다.
인생도 다르지 않습니다. 계기와 다짐의 순간은 문득 찾아오지만, 변화와 성장은 언제나 서서히 이루어져요. 그렇기에 '나의 혁신' 역시 조급함이 아니라, 자신의 속도를 지키며 시간을 인내하는 태도에서 시작됩니다.
결국 천천히 가는 사람은 멈추지 않기 위해 자신의 속도를 지키고, 여백을 살필 줄 아는 넓은 시야를 가진 사람이에요. 그리고 그 시야는 우리를 빠른 성장보다 바른 성장으로 이끌며, 느림이 곧 늦음이 아님을 깨닫게 합니다. 이승기의 Slow starter를 들으며, 오늘도 물리를 통해 인생을 배웁니다.
강연
https://www.youtube.com/watch?v=sbl78-BW3kw
'2026 물리학' 카테고리의 다른 글
| 열과 에너지 ① {열의 일당량, 열역학 제1법칙} (2) | 2025.12.19 |
|---|---|
| 역학적 에너지 보존 (1) | 2025.12.05 |
| 뉴턴 운동 법칙 ③ {작용과 반작용의 법칙, 운동량 보존 법칙} (2) | 2025.11.27 |
| 뉴턴 운동 법칙 ① {힘과 운동} (0) | 2025.11.07 |
| 평형과 안정성 (0) | 2025.10.30 |