에너지의 역사

네 발로 기어 다니던 인류가 직립 보행을 하게 되면서 얻은 가장 큰 이점은 '손의 사용'입니다. 손과 뇌의 전두엽이 신경으로 이어져 있다 보니 손의 활발한 사용이 전두엽 발달을 촉진시켰고, 똑똑해진 인류는 도구와 불을 이용하기에 이르렀죠. 이때 인류는 불로 음식을 익혀먹기 시작하면서 생존 확률도 올라가게 되고, 날것을 소화시키는데 많이 사용되었던 에너지가 뇌의 발달에 쓰임으로써 생체에너지 효율이 올라감에 따라 인류 지능의 발전화에 가속이 붙었어요.


두 발로 걷기 시작한 구석기 시대의 인류와 네 발로 기어 다니는 영장류의 차이점은 무엇일까요? 눈을 자세히 보면 흰자위와 검은자위가 구분되는지의 여부입니다. 직립보행을 하며 네 발로 기어 다녔을 때보다 시야가 넓어진 유인원에게 어떤 진화적 기제가 작용하여 눈의 흰자와 검은자가 구분되기 시작했습니다. 보통 포유류는 검은자와 흰자가 구분이 잘 안 됩니다. 그렇기 때문에 시선이 어디를 향하는지 분간하기가 어렵죠. 정확한 시선의 분간이 의사소통의 시발점이 되었고, 의사소통이 되었기에 인간은 다른 포유류에 비해 서로 협력하기가 쉬웠습니다. 협업을 기반으로 수렵과 채집이 용이해졌고, 주거를 비롯한 생활을 하기 위한 공동체의 탄생과 함께 구석기 시대가 열렸습니다.


협업의 중요성을 터득한 인류는 협업의 규모를 조금 더 확장시킵니다. 농업 기술을 발명한 신석기 인류는 불안정적인 유목 생활을 청산하고 한 곳에 머물러 정착하는 삶을 꾸렸어요. 경작지에서 때마다 풍성하게 수확되는 곡물 덕분에 식량 공급이 불안정적이었던 삶으로부터 해방된 거죠. 농업이라는 혁신적인 기술을 통해 원하는 곡식을 재배해 풍성한 수확을 얻어낼 수 있어 이후로 인구의 수는 폭발적으로 증가하였고, 폭발적으로 증가하는 식량을 비축하는데서 사유재산이 등장함에 따라 물물 교환이 발생했고, 이는 숫자의 탄생도 야기하였습니다. 가히 신석기 혁명이라 불릴 만큼 의식주의 트렌드가 확 바뀌게 된 거죠. 게다가 인류는 효율적인 농작 활동을 위해서 야생의 동물을 가축으로 길들여 그들로부터 에너지를 얻는 법을 터득합니다.
판서 조직도

1. 에너지의 전환
1) 에너지 보존 법칙
가축을 이용한 농사 활동, 물과 바람의 흐름을 이용한 물레방아나 돛단배는 기계적 에너지 그 자체를 활용하는 단순한 형태입니다.

과학자들은 빛 에너지를 생체 에너지로 전환하는 식물의 광합성으로부터 임의의 에너지를 인류에게 필요한 기계적 에너지로 가공할 아이디어를 얻습니다. 더불어 한 형태의 에너지는 다른 형태의 에너지로 전환될 수 있고, 에너지가 전환되는 과정에서 에너지는 새로 생겨나거나 소멸되지 않으며 전체 양은 항상 일정하게 보존됨을 알아냅니다.
2) 열과 일의 관계

ATP는 골격근의 움직임뿐 아니라 심장이나 폐를 비롯한 여러 기관 등의 작동과 체온 유지 등에 쓰입니다. ATP가 갖는 화학 에너지가 골격근 수축이라는 기계적 에너지로, 혹은 체온이라는 열에너지로 전환되는 것이죠. 줄은 생체 내의 에너지 전환 과정을 실험으로 연출하는 과정에서 열과 일의 관계를 알아냅니다.

줄은 그림과 같이 회전할 수 있는 날개가 있는 용기에 물을 담고 외부에서 일을 하여 날개를 회전시키는 실험을 하였습니다. 그 결과 물의 온도가 올라가는 것을 확인하였고, 날개를 돌리는 데 해준 일과 물의 온도 증가로부터 열과 일 사이에 정량적으로 1cal = 4.18J의 관계가 성립한다는 것을 알아냈어요. 이를 토대로 줄은 일 W과 열 Q이 동등하다는 사실을 알아냈습니다.

이로써 인류는 열에너지를 기계적 에너지로 전환하여 활용할 수 있는 단계에 이르렀습니다. 영국의 제임스 와트는 증기의 힘으로 기계를 움직이는, 증기기관의 개량과 상용화에 혁혁한 공을 세워 산업 혁명을 발흥시킨 주인공이죠. 산업 혁명을 계기로 인류는 유사 이래 에너지를 가공해서 쓰기 시작합니다.
2. 열기관

일반적으로 물리학 법칙, 가령 F=ma는 시간의 방향에 무관합니다. 시간을 -로 뒤집더라도 법칙 자체에 아무런 영향을 주지 않기 때문이죠. 자유 낙하하는 물체를 촬영해서 그것을 거꾸로 돌려도 그 장면을 보고 "연직 상방 운동하는 물체구나."하고 말아버리며 필름을 거꾸로 돌렸다는 사실을 알아차리지 못할 겁니다.

하지만 유리잔이 떨어져서 깨지는 장면을 찍어서 거꾸로 돌리면 너무 이상하게 보일 겁니다. 그런 일은 현실에서 나타나지 않기 때문이죠. 사실 유리잔이 복원되는 과정은 뉴턴의 운동 법칙, 에너지 보존 법칙의 측면에서 보면 아무 문제없습니다. 그러나 단 하나의 물리 법칙을 위반해요. 바로 엔트로피 법칙입니다.
1) 엔트로피 법칙
시간은 변화를 기술하기 위한 가상적 개념입니다. 시간은 변화에 있어서 '무질서'를 지향하는데요. 이러한 시간의 방향을 '엔트로피(=무질서도)'라고 합니다. 다시 말해 자연에서 시간의 방향을 정해주는 것이 바로 엔트로피예요. '엔트로피 법칙'은 시간의 흐름을 일으키는 원인으로 에너지 보존 법칙에 필적할 만큼 굉장히 근본적인 법칙입니다.

엔트로피 법칙은 열의 이동 방향을 고온에서 저온으로 정의합니다. 따라서 뜨거운 물체가 식어가는 건 자연스럽지만, 열이 저온에서 고온으로 이동하여 뜨거운 물체가 더 뜨거워지는 것은 너무나 부자연스럽죠.
2) 열기관의 열효율
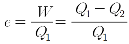
열기관은 고열원에서 저열원으로 이동하는 열의 일부를 일로 바꾸어주는 장치입니다. '에너지 보존 법칙'에 따라 열기관에 투입된 열 Q1은 열기관이 하는 일 W과 버려지는 열 Q2의 합과 같습니다.

이때 열기관의 열효율은 다음과 같아요.

사실 '에너지 보존 법칙'만 고려하면 열을 모두 일로 바꿀 수 있습니다. 버려지는 열 Q2가 0이 되어도 에너지 보존 법칙은 위배되지 않거든요. 그러나 실제 기관에서는 투입된 열의 일부만이 일로 바뀝니다. 그 이유는 바로 '엔트로피 법칙'때문이에요. 엔트로피 법칙에 따르면 에너지의 총량은 소멸하지 않지만 에너지의 유용성, 즉 유용한 일을 할 수 있는 능력은 사라지기 때문에 모든 에너지 전환은 결국 저온 열로 흩어지기 마련입니다.
선생님, 미지근한 사람이 되어주세요.

누군가 너무 차가워서 놀라거나, 너무 뜨거워서 데이지 않았으면 좋겠다며 미지근한 사람이 되어달라는 제자의 편지가 아직도 기억에 남습니다. 선생님이기에 필연적으로 많이 마주하게 될 학생들에게 최대한 덜 상처받기를 바라는 마음을 '열평형'으로 비유한 것이 고스란히 전달됐기 때문이죠. 제자의 그 예쁜 마음 덕분에 오히려 좋은 선생님이 되기 위한 제 열정은 더욱 뜨거워졌습니다.

열기관은 고온에서 저온으로 흐르는 열의 일부를 일로 바꾸어주는 장치입니다. 다시 말해 열기관이 일을 할 수 있는 이유는 열원의 온도차에 있어요. 뜨거운 열정이 차가운 현실에 식어가며 그 온도차가 0에 수렴하게 됨에 따라 나를 발전시킬 에너지의 흐름이 막혀버릴 때가 있습니다. 냉혹한 현실에도 열정(熱情)의 온도가 유지될 수 있었던 건 내 곁의 소중한 사람들이 지지해 주고 격려해 주는, 그 뜨거운(熱) 정(情)에 있었지 않나란 생각에 마음이 따뜻해집니다. 오늘도 물리를 통해 인생을 배웁니다.
Spicy - aespa
https://www.youtube.com/watch?v=DQWZ0kWwpfU
'2024 통합과학 톺아보기' 카테고리의 다른 글
| 문명과 에너지 ③ {송전과 에너지 보존 법칙} (1) | 2024.09.12 |
|---|---|
| 문명과 에너지 ② {전자기 유도와 에너지 보존 법칙} (0) | 2024.08.28 |
| [전류 전압 저항 전력] 제발 알아야 될 내용 (6) | 2024.07.19 |
| 신소재의 개발과 활용 (1) | 2024.06.10 |
| 충돌과 안전장치 ③ {운동량과 충격량의 관계} (1) | 2024.05.27 |