2024.08.24 - [2024 통합과학 톺아보기] - 문명과 에너지 ② {전자기 유도에 숨어 있는 에너지 보존 법칙}
문명과 에너지 ② {전자기 유도와 에너지 보존 법칙}
2024.07.16 - [2024 통합과학 톺아보기] - 문명과 에너지 ① {에너지의 전환과 보존, 열기관의 열효율} 문명과 에너지 ① {에너지의 전환과 보존, 열기관의 열효율}에너지의 역사 네 발로 기어 다니던
gooseskin.tistory.com
판서 조직도

에디슨 vs 테슬라
https://www.youtube.com/watch?v=mCq4js9tf60
19세기, 전력 공급 체계를 두고 피터지게 싸웠던 에디슨과 테슬라. 에디슨의 거대한 자본력과 명성에도 굴하지 않고 테슬라가 승리를 거머쥘 수 있었던 가장 큰 이유가 무엇이었는지 공부하는 시간입니다.
2. 전기 에너지의 수송
1) 송전과 손실 전력
① 송전과 에너지 전환
발전소를 세울 수 있는 장소는 제한적입니다. 그러다 보니 발전소와 전력 소비량이 많은 대도시 간의 위치적 간극이 발생할 수밖에 없어요. 이 간극을 해소하려면 발전소에서 생산되는 전기 에너지가 소비지로 수송되어야 합니다. 따라서 전기 에너지 수송을 위한 통로가 필요할 수밖에 없어요. 그 통로가 바로 전선입니다. 이처럼 전기 에너지를 수송하는 것을 송전이라고 합니다.

전선을 통해 전류가 흐르면 전자가 이동하면서 주위의 원자들과 충돌하기 때문에 열 발생이 불가피합니다. 이때 전자가 갖는 운동 에너지(=전기 에너지)가 열 에너지로 전환돼요. 다시 말해 송전 과정에서는 전기 에너지가 열 에너지로 손실됩니다.
옴의 법칙


전압이 커지거나 전류의 흐름을 방해하는 정도인 저항이 작아진다면, 회로에 흐르는 전류는 세집니다. 이처럼 회로에 흐르는 전류는 전압에 비례하고 저항에 반비례해요. 이 관계를 옴의 법칙이라 합니다.
전력


전력이란 단위 시간 동안 전기 에너지의 전환 비율입니다. 저항 R에서는 전기 에너지가 열 에너지로 전환되는데 우리 입장에서는 전기 에너지가 손실되고 있는 것과 마찬가지이므로 이 전환 비율을 손실 전력이라 해요.
② 손실 전력을 줄이는 방법

손실 전력 공식에 따르면 "손실 전력을 줄이기 위해서 송전 전류를 약하게 흘려주거나 송전선 저항을 줄여주면" 됩니다.
ⓐ 전선의 저항을 줄이기


첫째, 전선을 두껍게 만들고 길이를 짧게 하면 됩니다. 하지만 이러한 방법은 사업상 수지타산이 맞지 않기 때문에 실현 가능성이 낮습니다. 그리고 저항 길이를 짧게 하는 것 자체는 더더욱 의미가 없죠. 우리는 발전소보다 먼 거리에서 전기 에너지를 공급받길 희망하거든요.
둘째, 송전선의 비저항 ρ을 줄이면 됩니다. 요즘엔 과학과 기술이 발달하여 비저항이 0에 수렴하는 물질을 활용하여 송전선을 만들 수 있습니다. 바로 초전도 물질이에요. 초전도 물질은 임계 온도 이하에서 비저항이 0이 됩니다. 실제로 제주 초전도 센터에서 초전도 케이블을 이용한 송전이 활용되고 있습니다.


결국 초전도 케이블의 상용화를 차치하고 손실 전력을 최소화하기 위해 저항을 줄이는 방안은 그다지 실용적이지 않습니다. 조금 더 현실적이며 효율적인 손실 전력의 최소화 방안을 강구해야 합니다. 그 고민에 대한 답 덕분에 테슬라는 에디슨을 이길 수 있었습니다. 바로 송전 전류의 세기를 줄이는 것입니다.
ⓑ 송전 전류를 줄이기
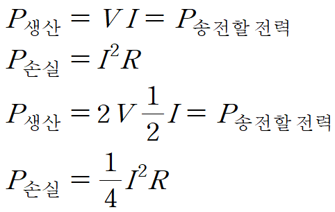
1억을 누군가에게 전달하고자 할 때 현찰보다는 모바일 뱅킹으로 송금하는 게 훨씬 안전하고 편합니다. 다시 말해 현금을 디지털 화폐로 가공 처리하는 거죠. 돈가방보다는 거대한 디지털 전산망이 안전하듯이, 송전하고자 하는 전기 에너지의 전압을 거대하게 증가시킴으로써 생산 전력을 가공 처리합니다.

현찰 1억을 통장에 넣는다고 해서 1억이 줄어들거나 늘어나지 않아요. 마찬가지로 전력을 가공 처리한다고 해서 전력이 줄어들거나 늘어나지 않습니다. 그 이유는 에너지 보존 법칙 때문입니다. 따라서 전력이 일정한 상황에서 전압을 크게 해 주면 전류가 작아지게 됩니다. 이렇게 가공 처리된 상태에서 송전을 하게 되면 전류를 줄인 만큼 손실되는 전력이 줄어들게 됩니다.

정리하면 손실 전력을 최소화하기 위해서는 송전 전류를 줄여야 하고, 송전 전류를 줄이기 위해서는 전압을 높여야만 합니다. 따라서 송전 과정에서는 손실 전력의 최소화를 위해 고전압 전력이 필수입니다. 그러나 백만 볼트 정도의 고전압 전력이 우리 집에 그대로 들어온다는 건 어딘가 꺼림칙하죠. 따라서 송전 전력의 고전압은 집에 들어오기 전에 220V 정도로 줄여져야만 피카츄 돈까스가 되는 참사를 피할 수 있어요. 즉 전력을 보내고 받는 과정에서 전압의 크기는 자유자재로 변해야만 합니다. 이때 전압의 크기를 늘이고 줄이는 것을 변압이라 해요.
에디슨과 테슬라의 승패를 가른 '변압'


에디슨이 투자한 뉴욕의 직류 발전소는 0.8km 반경 내에서만 전기 에너지를 공급하기 쉬웠던데다, 전기 생산 단가 또한 비쌌기 때문에 소수의 부유층만이 전기의 특혜를 누릴 수 있었습니다. 그러나 테슬라의 교류 발전은 보다 먼 거리의 수요자에게 전기 에너지를 쉽게 공급할 수 있었고, 전기 생산 단가는 직류 발전에 비해 낮았기 때문에 누구나 전기 에너지를 값싸게 누릴 수 있었습니다. 그러니까 테슬라가 이겼죠. 그렇다면 교류 발전에서만 변압이 가능하고, 직류에서는 변압이 가능하지 않는 까닭은 무엇일까요? 그건 다음 시간에~
내 뜻대로 모든 게 다 이뤄지면 얼마나 좋을까요? 하지만 생각보다 노력은 배신할 때가 많고, 옳다고 생각하는 일에 사람들이 손들어주지 않을 때도 많습니다. 뭔가 세상이 내 논리대로 흘러가지 않을 때 문득 그런 생각이 들더라고요. 내 논리는 나만의 것이기에 우주가 그 논리를 따라야 할 이유는 없었다고. 어쩌면 내 논리대로 흘러가지 않는 삶이 더욱 이치에 맞는 법이기에 논리대로 흘러가지 않는 삶이라며 불평불만을 입에 달고 살 이유는 없겠다고.
반면 논리대로 흘러가지 않는 삶이라서 노력하지 않아도 우연으로부터 기회를 얻을 때가 있고, 불합리한 선택에 이득을 보며 살아가기도 해요. 그야말로 우스꽝스러운 모양입니다. 그렇기에 우리는 고통의 그늘에 매몰되기만 할 이유도, 행복의 밝음에 자만만 떨고 있을 이유도 없습니다. 그저 고통의 그늘에서 희망의 빛을 내다보려는 자세, 행복의 빛이 미치지 못한 그림자를 살피고자 하는 겸손의 자세, 그때그때 삶의 텐션을 조율하여 일상을 지켜가는 게 중요합니다. 이번 시간에는 조율의 물리학에 대해 공부합니다.
조율 - JK김동욱
https://www.youtube.com/watch?v=qYWslCdU77c
전압의 크기를 변화시켜가며 전기 에너지의 텐션을 조율함으로써 손실 전력을 줄이는 방법은 에너지의 총량을 지키는 자연의 진리에 기반한 것이었습니다. 우리의 인생 또한 우스꽝스러운 삶에 의해 손실되는 체력과 정신력을 최대한 줄이기 위해 삶의 텐션을 조율해야만 합니다. 그럼으로써 삶의 기반을 이루는 일상을 지켜나갈 수 있어요. 오늘도 물리를 통해 인생을 배웁니다.
'2024 통합과학 톺아보기' 카테고리의 다른 글
| 문명과 에너지 ⑤ {신재생 에너지} (5) | 2024.11.07 |
|---|---|
| 문명과 에너지 ④ {변압기} (2) | 2024.10.26 |
| 문명과 에너지 ② {전자기 유도와 에너지 보존 법칙} (0) | 2024.08.28 |
| 문명과 에너지 ① {에너지의 전환과 보존, 열기관의 열효율} (0) | 2024.08.12 |
| [전류 전압 저항 전력] 제발 알아야 될 내용 (6) | 2024.07.19 |