https://gooseskin.tistory.com/208
1도 없어
지구 역사의 거대 흐름을 보자면, 생명체는 평균적으로 130만 년쯤은 존재하다가 멸종했다. 호모사피엔스는 등장하고 지금까지 30만 년밖에 안 됐다. 그런데도 현재 생물이 멸종되는 속도가 워낙
gooseskin.tistory.com
우리는 현재 에너지의 사용 없이는 살아갈 수 없으므로 단순히 '에너지를 쓰지 말자'거나 '에너지를 아껴 쓰자'는 대안은 적절하지 않다. 에너지 사용 패턴을 점검하여 낭비되는 에너지를 줄이려는 노력은 필요하지만, 이와 더불어 같은 효과를 내면서도 에너지 자원의 소비를 줄이는 효율적인 방안을 개발하고, 이렇게 개발된 제품을 사용하는 것도 최선의 대안이 될 수 있다.
에너지 소비 효율 등급이 높은 제품일수록 같은 효과를 얻기 위해서 더 적은 에너지를 소비한다. 전기 에너지를 소비하는 과정에서 가전제품이 이산화탄소를 배출하지는 않지만, 전기 에너지를 생산하는 과정에서 배출되는 이산화탄소량이 줄어든다는 걸 감안하면 경제적인 측면에서나 환경적인 측면에서 등급이 높은 제품을 안 쓸 이유가 없다.
에너지 소비 효율 등급이 높은 제품의 장점
구분 | 내용 |
경제적 측면 | 효율 등급이 높은 제품은 사용량이 같아도 전기요금이나 연료비를 적게 낸다. 구입 비용을 퉁치고도 남음 |
환경적 측면 | 에너지를 적게 소비하므로 환경 오염 물질을 적게 배출한다. |
화석 연료가 연소될 때 배출되는 이산화탄소를 줄이기 위한 노력으로 인류 사회는 에너지 소비 효율 등급 제도를 실시했다. 이 제도를 통해 소비자는 에너지를 더 적게 쓰는 제품을 선택할 수 있다. 물론 에너지 효율이 높은 제품은 일반 제품보다 비싸다. 그럼에도 불구하고 에너지 효율이 높은 제품을 사용하도록 권장하는 까닭과 에너지를 효율적으로 사용하는 것이 사회적으로 어떤 의미가 있는지를 아래 그래프를 통해 추리해보자.
에너지 효율 향상 활동이 없었다면 실제 에너지 사용량과 에너지 효율 향상 활동이 없을 경우 예상되는 에너지 사용량과의 차이에 해당하는 에너지 자원을 더 소비했을 것이다. 이는 에너지 효율이 개선되지 않았다면 에너지 자원의 소비량이 점점 증가할 것임을 의미한다.
자연에는 빛 에너지, 전기 에너지, 화학 에너지, 역학적 에너지 등 여러 가지 에너지가 있다. 전기 에너지로 전등을 켜는 것처럼 우리는 에너지가 다른 에너지로 전환되는 과정에서 발생하는 빛이나 열, 동력 등을 이용한다. 우리 주변에서 일어나는 에너지의 전환에는 어떤 것이 있을까?
각각의 사례에서 공통으로 나타나는 에너지는 무엇이나? 바로 열에너지다. 이처럼 에너지 전환 과정에서는 항상 열에너지가 발생하며, 이 열에너지는 버려지게 된다.
에너지의 전환과 보존
우리가 이용하는 에너지는 기존의 다른 에너지가 전환된 것으로 에너지는 소멸되거나 새로 생겨나지 않는다. 따라서 에너지양은 전환 전후에 변함이 없고 일정하다. 이것을 '에너지 보존 법칙'이라 한다. 아래 그림과 같이 스마트폰에서는 전기 에너지가 빛, 소리, 역학적 에너지, 열에너지 등으로 전환되는데, 총량은 변하지 않는다.
자연이 선물한 열기관
ATP는 자발적인 골격근의 움직임뿐 아니라 심장이나 폐를 비롯한 여러 기관 등의 작동과 체온 유지 등에 쓰인다. ATP라는 화학 에너지가 골격근 수축이라는 기계적 에너지로, 혹은 체온이라는 열에너지로 전환되는 것이다. 생명체에서는 쉽게 볼 수 있는 이런 에너지 전환을 인간이 기계에 이용하기 시작한 것은 산업혁명 이후다. 열에너지로 물을 끓여 생긴 증기의 힘으로 배나 기차를 움직이는, 다시 말해 열에너지를 기계적 에너지로 전환시킨 증기기관이 나타났고, 그 트렌드 변화의 주역에는 바로 제임스 와트가 있었다.
산업혁명을 거치고 인류는 유사 이래 에너지를 가공해서 쓰기 시작했다. 과학자들은 식물이 태양 에너지를 가공하여 생명활동을 영위하는 광합성에서 힌트를 얻어 어떤 무형의 에너지를 인류에게 필요한 기계적 에너지로 가공할 아이디어를 얻는다. 그게 제임스 와트의 증기기관으로 실현됐다. 증기기관은 자동차의 엔진이나 발전소의 터빈으로 개량되었다. 이처럼 열에너지를 이용하여 일을 하는 장치를 '열기관'이라고 한다.
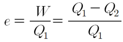
Q1은 열기관에 공급된 에너지이고, Q2는 버려지는 에너지다. 열기관은 이 두 에너지의 차이 Q1 - Q2 만큼의 일 W를 외부에 하는 것이다. 열기관에서의 연료 이용 효율을 열효율 e라 하며 다음과 같이 구한다.
열효율은 에너지 전환 과정에서 유용하게 사용되는 에너지양의 비율을 나타낸다. 열효율이 높을수록 손실되는 열에너지의 양이 적기 때문에 화석 연료를 덜 쓰고도 같은 효과를 낼 수 있다.
에너지는 없어지지 않기 때문에 언제나 그 총량은 보존된다. 이러한 사실만 보면 에너지는 영원히 쓸 수 있어 절약할 필요가 없어 보인다. 그러나 모든 에너지를 유용하게 쓸 수 있는 것은 아니다. 주변으로 흩어진 열에너지는 다시 모아서 쓰기 어렵다. 따라서 에너지의 총량은 일정할지라도 유용하게 사용 가능한 에너지의 양은 점점 줄어든다. 우리가 에너지를 절약해야 하는 이유가 여기에 있다.
열효율이 100%인 열기관을 만들 수 있을까? 이론상은 가능하다. 간단하다. Q2를 0으로 만들면 된다.
버려지는 열(Q2)을 0로 만들어서 투입한 열을 모두 일로 전환하겠다는 건 에너지 보존 법칙에도 위배되지 않는다. 그러나 버려지는 열에너지는 꼭 있어야 한다. 에너지가 보존되는 큰 틀 안에서의 열의 흐름에도 자연의 법칙이 있기 때문이다.
열에너지가 온도가 높은 곳에서 온도가 낮은 곳으로 자발적으로 이동해야 하는 일련의 법칙이 무너지지 않기 위해서는 버려지는 열이 꼭 있어야만 한다. 자세한 내용은 물리학 1에서 배운다.
돈을 향한 인간의 욕심은 예나 지금이나 끝이 없다. 단기간에 쉽게 부자가 되겠다는 욕심이 투기를 낳고, 그 과정에서 불법과 탈법이 난무했던 상황이 줄줄이 비엔나처럼 쏟아지고 있는 요즘이다.
정부나 지자체의 개발과 계획에 대한 정보를 독점하여 손쉽게 부를 일궜던 LH 내부 몇몇 직원들의 실태와 재계약 시 임대료를 올리지 못하도록 한 임대차법 시행을 주도한 김상조 전 청와대 정책실장이 관련 법 시행 이틀 전에 전세 계약 갱신을 하면서 전셋값을 올린 사건이 대한민국을 술렁이게 하고 있다.
부동산을 소유하거나 토지 개발 보상을 받은 이들의 ‘불로소득’이 과도하다는 것은 국민 모두가 이미 충분히 인식하고도 남는다. 일하지 않아도 돈이 굴러 들어오는 '불로소득' 자체가 나쁘다는 건 아니다. 다만, 권력을 남용하고 법 위에 놀아나면서 국민을 농간하는 것 자체가 잘못됐다.
'불로소득'에 대한 인류의 지대한 관심: 영구 기관
지금도 그렇지만, '불로소득'에 대한 관심은 옛날부터 뜨거웠다.
외부의 동력을 제공하지 않아도 작동하는 장치 제작에 많은 사람들이 관심을 가졌다. 물레방아나 풍차의 힘 없이, 사람 힘을 쓰지 않고, 석탄도 석유도 필요 없는 장치는 그야말로 '불로소득' 그 자체다.
이 '불로소득'이 되는 기계를 '영구기관'이라 한다. 전기나 열, 또는 바람이나 물에 의해 일을 시키지 않고, 영구히 일을 할 수 있기 때문이다.
무동력 분수의 비밀
헤론의 분수 작동 원리

무동력 분수는 그럴듯하게 보이지만 눈에만 보이지 않을 뿐, 엄연히 외부의 동력인 공기의 힘으로 작동하는 장치였다.
"중요한 건 눈에 보이지 않아."
영구 기관이 언제부터 관심거리가 되었는지 분명하지 않지만 비슷한 생각은 그리스 시대에도 있었고, 16세기경에는 상당히 깊이 연구되었다. 연금술사가 어떻게든 금을 만들려고 노력한 것 못지않은 정력이 '불로소득' 장치 개발에 쏟아졌다. 그 결과 큰돈을 버는 사람이 나타났다. 영구기관이 만들어져서? 아니다. 영구기관을 미끼로 사기를 쳐서 그렇다. 그들은 영구기관을 만들었다고 하면 관심 있는 부자나 권력자들로부터 큰돈을 후원받을 수 있는 점을 노렸다.
18세기 초에 '자동 바퀴'를 만든 독일의 오르피레우스가 있다. 크고 작은 톱니바퀴와 추의 낙하를 교묘히 연결하여 바퀴를 영원히 돌릴 수 있다는 어이없는 장치였지만, 그는 장치의 중요 부분을 가리고 밑에 숨은 사람이 밧줄을 잡아당기는 속임수로 그것이 영구기관인 것처럼 보이게 했다. 오르피레우스는 여러 나라의 귀족과 부유층들로부터 거액의 지원을 받으면서 호사스러운 생활을 누렸지만, 사기극은 결국 들통나고 말았다.
얼핏 보기에 동력이 없어도 작동하는 것처럼 보일지라도 눈에만 보이지 않았을 뿐, 무언가가 일을 해주고 있었고 그 무언가가 한 일의 양만큼 기관이 움직이는 것이다. 오르피레우스의 자동 바퀴도 그렇고 헤론의 분수도 그렇다.
인간의 과욕은 '에너지 보존 법칙'을 잊게 만들지만, 자연은 어떻게든 그러한 인간에게 가르침을 안겨준다.
'이 세상에 공짜는 없다.'
에너지 총량은 보존된다. 이는 부정할 수 없는 당연한 자연의 섭리다. 영구기관은 이러한 자연의 섭리를 거스른다. 따라서 영구 기관은 존재할 수 없다.
하지만 과욕 때문에 눈이 멀어버린 인간은 이런 당연한 사실을 간과하기 십상이다. 오르피레우스는 그 점을 노리고 은밀하게 속임수를 쓴 것이다. 쉽게 보지 못하는 은밀한 곳을 공략한 것이다. 오르피레우스도 그랬고 부동산 투기에 가담했던 그들도 그랬다.
'어린 왕자'의 여우가 어린 왕자에게 건넨 말 한마디가 새삼스럽게 다가온다.
"중요한 건 눈에 보이지 않아."
에너자이저가 된 것만 같은 느낌적인 느낌
카페인과 알코올이 없는 세상을 감히 상상할 수 있을까? 피곤 사회를 살아가는 우리에게 활력을 불어넣어 주는 고마운 존재들이기 때문이다. 그들과 함께라면 영원히 에너자이저가 될 수 있을 것만 같다. 아이스 아메리카노와 함께라면 활기찬 낮이 가능하고, 술과 함께라면 밤이 영원해진다. 하지만 그건 어디까지나 느낌적인 느낌일 뿐, 보이지 않은 곳에서 '에너지 보존 법칙'은 무자비하게 작동하고 있다.
우리가 활동하고 있을 때 뇌는 끊임없이 아데노신을 만들어낸다. 이 아데노신이 뇌세포와 결합하면 우리는 피곤함을 느낀다. 그러면 우리는 피곤함을 느끼고 쉬어야겠다고 생각한다. 결국 아데노신은 우리 몸에 잠시 브레이크를 걸어주는 제동 장치인 셈이다.
그러나 피곤함을 느낄 때 커피를 마시면, 아데노신 대신에 커피의 카페인 성분이 뇌세포와 결합한다. 그래서 피곤함이 느껴지지 않는다. 뭔가 피곤함이 사라진 거 같지만 애석하게도 그렇지 않다. 아데노신은 사라지지 않고 계속 쌓인다. 언젠가 확 터트릴 피곤의 잠재력을 응축하고 있는 채 말이다.
술이 쭉쭉 들어가면 언제까지 어깨춤을 출지 모를 정도로 파이팅이 넘친다. 일과 사람에 치여 힘들고 피곤한 하루를 보냈어도 술과 함께라면 텐션이 올라가 밤이 영원해진다. 술로 인해 '무'에서 '유'가 창조되는 것만 같은 느낌이 들겠지만 그것도 어디까지나 느낌적인 느낌일 뿐, 여기에도 에너지 보존 법칙이 칼같이 작동하고 있다.
우리 몸은 알코올이 들어오면 다음 날 낮에 쓸 에너지를 대출받아 오기 때문에 술자리에선 에너자이저가 된다. 그래서 다음 날이 되면 에너지가 고갈되어 반송장 상태가 된다. 이때 따라오는 숙취라는 이자는 덤이다.
욕망에 가려진 진실
블롱들로라는 과학자는 X선을 프리즘에 쏘는 실험 도중 미세한 빛을 감지했다. 그는 여러 번 실험을 반복했을 때 매번 희미한 빛이 느껴져서, 이 빛을 X선이 아닌 또 다른 방사선 'N선'이라 정의하였다. 유럽 전역은 N선 발견에 열광했다. 너도나도 N선을 감지했다는 보고가 잇따랐다. 사람들은 블롱들로가 노벨 물리학상을 받을 거라 확신했다.
하지만 우드라는 과학자가 N선에 의문을 제기하면서 분위기가 급반전되었다. 몰래 프리즘을 제거하고 "N선이 감지되냐?'라고 블롱들로에게 물었고, 블롱들로는 우드의 속임수를 알아채지 못하고 "감지된다"라고 말했다. 이를 학술지에 공개하자 블롱들로를 칭송하던 사람들이 입장을 바꾸며 "사실은 N선을 보지 못했다"라고 고백하기 시작했다. 사실 N선의 정체는 다른 이들보다 예민한 블롱들로의 눈이 만들어낸 착시일 뿐이었다.
블롱들로는 N선을 주장하기 전까지는 많은 과학적 업적을 이룬 덕분에 큰 존경을 받았다. 그랬던 그가 N선의 존재를 맹신했다고 비웃고 싶겠지만, 사실 비판받아야 할 사람들은 N선을 봤다고 동조한 과학자들이다. 그들은 왜 보이지도 않는 N선으로 수백 편의 논문을 써낸 것일까? 그 이유는 당시 첨단 과학이었던 방사선 분야에서 N선 연구를 통해 명성을 얻고자 했던 그릇된 욕망 때문이었다.
욕망이 키우는 거품은 결국 아스러지게 되었다. 부동산 투기, 영구기관 사기 모두 보이지 않는 곳을 비춰주는 이성의 빛으로 인해 거품이 걷어지고 나서야 돈의 자연스러운 흐름과 에너지의 자연스러운 흐름이 거슬러졌다는 씁쓸한 사실을 직시하게 됐다. 결국 욕망에 눈이 멀어 자연의 기본 섭리를 기만하려는 자들은 이 세상에 공짜가 없다는 쓰디쓴 교훈을 맛보게 됐다.
부디 보이지 않는 곳을 꿰뚫어 볼 수 있는 냉철한 이성의 눈을 갖춰 기만하려는 자들에게 당하지 않길 바라고, 그러기 위해 과욕을 경계하길 바란다.
자연은 언제나 '에너지 보존 법칙'을 상기시켜주는 고배를 마련해놓고 있다.
「참고자료 및 문헌」
금성출판사 - 2015 개정 통합과학
[광주일보 칼럼] 채희종 - 작법 자폐
[광주일보 칼럼] 윤현석 - 다시, 우트와트
유정식 - 빌게이츠는 왜 과학책을 읽을까?
Kisti의 과학향기 - 실현 불가능한 인류의 오랜 꿈 - 영구기관(Perpetual Mobile)
'사이언스토리텔링' 카테고리의 다른 글
바코드와 선 스펙트럼 (0) | 2021.09.07 |
---|---|
전자기력으로 구현하는 태양의 핵융합, 토카막 장치 (0) | 2021.08.20 |
1도 없어 (17) | 2021.08.09 |
경계에 대한 오해(Ni zzo daero salara) (1) | 2021.07.14 |
규석기 시대의 키워드, 반도체 (98) | 2021.07.05 |