해당 차시 학습지 파일
성취 기준
열이 역학적 에너지로 전환되는 과정의 효율을 정성적으로 이해하고, 영구 기관이 불가능함을 사례를 통해 논증할 수 있다.
물리학 전개도

판서 조직도

중요한 것은 눈에 보이지 않아.

「어린 왕자」에서 여우는 이별을 앞두고 한 가지 중요한 말을 남깁니다. “중요한 건 눈에 보이지 않아.” 장미가 특별한 이유는 겉모습 때문이 아니라, 그 장미를 위해 들인 시간과 마음 때문입니다. 이처럼 중요한 것은 잘 드러나지 않아요. 이 시간에 살펴볼 물리학의 법칙도 이와 비슷합니다. 겉으로 드러난 움직임 뒤에서 작동하는, 보이지 않는 흐름과 축적 그리고 반드시 치러지는 대가들이 만들어 낸 관계의 역학을 학습하며, 삶을 대하는 우리의 태도를 돌아보는 열과 에너지 2편입니다.
3. 열역학 제2법칙

물리학에서 다루는 많은 법칙은 시간의 방향과 무관합니다. 예를 들어 뉴턴의 운동 법칙인 F = ma은 시간을 거꾸로 돌려도 여전히 성립해요. 물체가 떨어지는 영상을 생각해 봅시다. 이 영상을 거꾸로 보면, 물체가 위로 올라가는 것처럼 보입니다. 하지만 우리는 이를 이상하게 느끼기보다, “누군가 위로 던졌겠구나”라고 자연스럽게 받아들여요. 이처럼 힘과 운동의 법칙은 시간이 앞으로 흐르든, 뒤로 흐르든 동일하게 적용되는, 시간에 대해 대칭적입니다.



그러나 불을 피울 때 흩어지는 연기, 깨지는 유리잔, 왕복 운동하다가 정지하는 진자를 촬영한 영상을 거꾸로 재생하면 우리는 즉시 “뭔가 이상하다”라고 느끼게 됩니다. 즉, 시간에 대해 대칭적이지 않은 물리 법칙도 있어요.
1) 비가역 현상

추가 운동하는 동안 주변의 공기 분자들과 계속해서 충돌합니다. 이 과정에서 추의 에너지는 조금씩 공기 분자들에게 전달되어 공기 분자들은 더 빠르게 움직이게 돼요. 반대로 추의 에너지는 점차 줄어들어가며, 결국 추는 정지합니다. 그렇다면 이런 생각을 해볼 수 있어요. 만약 어느 순간 모든 공기 분자들이 약속이라도 한 듯이 같은 방향으로 움직여 추를 밀어준다면, 정지한 추가 다시 흔들리기 시작할 수 있지 않을까요? 이 가정은 운동 법칙이나 에너지 보존 법칙만 놓고 보면 특별히 틀린 것도 아닙니다.
하지만 현실에서 이런 일은 결코 일어나지 않죠, 퍼진 연기가 한 곳으로 모이고 깨진 유리잔이 스스로 복원되는 일이 없는 것처럼. 이처럼 자연 현상은 외부의 개입 없이 처음 상태로 되돌아갈 수 없는 경우가 대부분인데, 이러한 것을 '비가역 현상'이라고 합니다. 비가역 현상은 오직 한쪽 방향으로만 진행되며, 그 반대 방향으로는 자연스럽게 일어나지 않습니다. 이러한 자연 현상의 비가역성, 즉 변화의 일방통행을 설명하는 법칙이 바로 열역학 제2법칙입니다.
2) 열기관의 열효율

열은 스스로 고온에서 저온으로 이동하는 에너지의 흐름으로써, 열역학 제2법칙이 이러한 열의 일방통행을 설명합니다. 따라서 뜨거운 물체가 식어가는 건 자연스럽지만, 더 뜨거워지는 것은 부자연스럽죠.
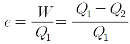
이러한 열의 이동을 활용한 장치가 열기관입니다. 열기관은 고열원에서 받은 열의 일부를 유용한 일로 사용하고, 남은 열은 저열원으로 버립니다. 자동차의 엔진이 열기관의 대표적인 예죠. 에너지 보존 법칙에 따라 열기관에 투입된 열 Q1은 열기관이 하는 일 W과 버려지는 열 Q2의 합과 같습니다.

이때 열기관의 열효율은 다음과 같아요.

사실 에너지 보존 법칙만 고려하면 열을 모두 일로 바꿀 수 있습니다. 버려지는 열 Q2가 0이 되어도 에너지 보존 법칙은 위배되지 않거든요. 왜냐하면 에너지 보존 법칙은 “에너지는 형태만 바뀔 뿐, 없어지지 않는다.”는 사실만 말해주기 때문이에요. 하지만 실제로는 그런 일이 절대 일어나지 않습니다. 아무리 정교한 기관이라도 공급된 열의 일부는 반드시 버려지게 되어 있어요. 그래서 열기관의 열효율은 100%가 될 수 없는 것입니다.
그 이유가 바로 열역학 제2법칙이에요. 에너지는 시간이 흐르면서 정돈된 상태에서 흩어진 상태로 무질서해집니다. 정돈된 에너지는 우리가 원하는 일을 해낼 수 있지만, 흩어져 버린 에너지는 그렇지 못해요. 이 흩어진 에너지를 쓸모 있게 모으기 어렵습니다, 불 피울 때 흩어지는 연기를 다시 모으기 어려운 것처럼. 이렇게 흩어진 에너지가 바로 열에너지입니다. 다시 말해 에너지가 전환되는 과정에서 ‘일을 할 수 있는 능력’은 점점 줄어들고, 결국 남는 것은 여기저기 퍼져버린 저온의 열뿐이에요.
4. 영구 기관
외부에서 에너지를 추가로 공급하지 않아도 스스로 일을 계속할 수 있는 기계가 있다면 어떨까요? 이러한 기계를 영구 기관이라고 합니다. 만약 영구 기관이 가능하다면 인류의 에너지 문제는 단번에 해결되겠죠. 이처럼 영구 기관은 매우 매력적인 아이디어였기에, 예로부터 많은 사람들이 그 제작에 도전해 왔습니다. 그러나 모두 실패했죠. 그 실패의 이유는 단순한 기술적 한계에 있는 것이 아니라, 열과 관련된 물리 법칙, 열역학 법칙에 있습니다.
1) 제1종 영구 기관

자석에 끌린 쇠구슬이 빗면을 따라 올라간 뒤, 구멍 A를 통해 아래로 떨어지고, 다시 구멍 B까지 굴러간 후 자석에 의해 다시 끌려 올라가면서 쇠구슬이 영구적으로 순환 운동을 하는 것처럼 보이는 구조, 그럴듯해 보이지만 불가능한 구조예요. 쇠구슬이 빗면을 따라 위로 올라갈 수 있으려면, 자석은 쇠구슬에 작용하는 중력보다 훨씬 큰 자기력을 제공해야 하는데, 그 정도로 강한 자기력이라면 쇠구슬은 구멍 A에 도달하기 전에 이미 자석에 강하게 끌려 붙어 더 이상 운동을 계속할 수 없게 되기 때문입니다. 즉, 쇠구슬을 위로 끌어올릴 만큼 강한 자기력과, 쇠구슬이 자석에 붙지 않고 자유롭게 떨어지도록 하는 조건은 동시에 만족될 수 없어요.

원판이 회전하는 동안 그림과 같은 쇠구슬의 분포로 인해 원판의 무게 중심이 회전축에서 한쪽으로 치우쳐 있어 계속 회전할 것처럼 보입니다. 그러나 실제로는 이러한 장치도 지속적으로 회전할 수 없어요. 회전축을 기준으로 오른쪽과 왼쪽에 있는 쇠구슬들에 작용하는 중력이 만드는 돌림힘을 모두 고려하면, 시계 방향과 반시계 방향 돌림힘의 합은 서로 같아져 전체 돌림힘은 0이 되기 때문입니다. 따라서 중력만으로는 원판에 지속적인 회전을 일으킬 수 없으며, 이 장치는 영구 기관이 될 수 없어요.

높은 곳에서 떨어지는 물이 물레방아를 돌리고, 이 회전으로 연결된 장치가 물을 다시 위쪽으로 끌어올려 처음 위치로 되돌리는 구조입니다. 겉보기에는 물의 흐름이 끊임없이 순환하면서 장치가 계속 작동할 것처럼 보여요. 그러나 실제로는 이러한 장치도 지속적으로 작동할 수 없습니다. 그 이유는 마찰과 저항 때문에, 물이 아래로 떨어지면서 물레방아에 전달하는 에너지보다 물을 다시 높은 위치로 끌어올리는 데 필요한 에너지가 항상 더 크기 때문이죠. 따라서 외부에서 추가적인 에너지가 공급되지 않는 한, 이 장치는 점점 작동이 약해지다 멈추게 됩니다.
위 세 가지 사례들은 모두 외부에서 에너지를 공급받지 않으면서도 계속해서 일을 할 수 있다고 가정하고 있다는 공통점을 지닙니다. 그러나 앞에서 살펴봤듯이 자석·중력·물의 흐름 등 어떤 경우에도 계 내부에서 얻는 에너지의 양은 그 에너지를 만들어 내기 위해 필요한 에너지보다 클 수 없어요. 이러한 장치들은 에너지가 새로 생성되는 것처럼 보이지만, 이는 에너지 보존 법칙에 위배되는 가정에 기반한 것이었기에 실제로는 작동할 수 없어요. 이처럼 열역학 제1법칙을 위배하는 영구 기관을 제1종 영구 기관이라 합니다.
2) 제2종 영구 기관

앞쪽의 바닷물을 빨아들여 그 열의 일부로 엔진을 작동시키고 차가워진 물을 뒤로 내보내는 방식, 겉보기에는 주변의 바닷물에서 얻은 열만으로 선박이 계속 움직일 수 있을 것 같아요. 그러나 작동하는 엔진의 온도는 주변 바닷물의 온도보다 높을 수밖에 없고, 열역학 제2법칙에 따르면 열은 저온의 바닷물에서 고온의 엔진으로 저절로 이동하지 않습니다. 이처럼 열역학 제2법칙을 위배하는 영구 기관을 제2종 영구 기관이라 합니다.
중세에는 납을 금으로 바꾸는 게 불가능했지만, 이제는 수소를 헬륨으로 바꾸는 게 가능합니다. 바로 질량 에너지 등가 원리 덕분이죠. 이처럼 연금술은 과거에는 이해되지 않은 현상이었지만, 새로운 이론을 통해 자연법칙 안에서 검증되었습니다. 그러나 영구 기관은 다릅니다. 영구 기관은 열역학 법칙이라는 자연법칙을 벗어나는 경우죠. 따라서 영구기관은 아무리 과학이 발전한다고 해도 결코 가능한 개념이 될 수 없습니다. 그래서 영구기관과 관련된 것은 다 사기예요.

18세기 초, 독일에는 오르피레우스라는 인물이 자동으로 돌아가는 바퀴를 만들었다고 주장하며 큰 주목을 받은 적이 있습니다. 그는 크고 작은 톱니바퀴와 추의 낙하를 교묘하게 연결해, 외부의 동력 없이도 바퀴가 영원히 회전할 수 있다고 설명했어요. 겉보기에는 매우 그럴듯한 장치였지만 실제로는 핵심 구조를 가린 채 장치 안에 숨어 있던 사람이 밧줄을 잡아당기는 방식으로 바퀴를 움직이는 속임수였습니다. 오르피레우스는 여러 나라의 귀족과 부유층으로부터 거액의 후원을 받으며 호사스러운 생활을 누렸어요. 그러나 결국 그의 속임수가 드러나면서 사기극은 막을 내리게 되었습니다.
이 사례가 보여 주는 핵심은 분명합니다. 겉보기에 동력이 없이 작동하는 것처럼 보일지라도, 실제로는 보이지 않는 곳에서 반드시 무언가가 일을 하고 있다는 사실.「어린 왕자」의 여우가 어린 왕자에게 건넨 말 한마디가 새삼스레 다가옵니다.
중요한 건 눈에 보이지 않아.
오르피레우스의 자동 바퀴를 비롯한 영구 기관은 “중요한 것은 눈에 보이지 않는다”는 사실을 잘 보여 줍니다. 이는 우리 삶에서도 겉모습보다 숨은 원리와 원인을 살펴야 함을 일깨워 줍니다.
Caffeine - 양요섭
https://www.youtube.com/watch?v=WA5up78Aypo&list=RDWA5up78Aypo&start_radio=1
카페인은 피로 사회를 살아가는 우리에게 활력을 불어넣어 주는 고마운 존재입니다. 아이스 아메리카노와 함께라면 활기찬 하루가 영원히 가능할 거 같지만 그건 어디까지나 느낌적인 느낌일 뿐, 보이지 않은 곳에서 자연의 법칙은 여전히 작동하고 있어요.

뇌는 활동하는 동안 아데노신이라는 물질을 만들어 내고, 이 아데노신이 뇌세포와 결합하면 우리는 피로를 느낍니다. 즉, 아데노신은 몸에 휴식을 요구하는 신호예요. 그런데 피곤할 때 커피를 마시면, 아데노신 대신 카페인이 뇌세포와 결합하면서 피로 신호가 일시적으로 차단됩니다. 그 결과 우리는 덜 피곤하다고 느끼지만, 실제로 피로가 사라진 것은 아니에요. 활동하는 동안 쌓인 피로는 그대로 남아 있습니다. 이는 에너지가 사라지지 않고 형태만 바뀐다는 에너지 보존 법칙과 비슷해요. 즉 카페인은 우리의 정신력과 체력의 총량을 늘려 주는 것이 아니라, 그 한계를 잠시 인식하지 못하게 가리기만 할 뿐입니다.
결국 쌓인 피로는 언젠가 반드시 되돌아와요. 그것은 피할 수 없는, 어떤 방식으로든 치러져야 하는 대가입니다. 그 대가는 충분한 수면과 잠깐의 휴식이라는 형태로만 정직하게 지불될 수 있어요. 피로를 속여 넘기는 빠른 길은 없습니다. 다만 피로를 다스리는 바른 길만 있을 뿐이죠. 이는 에너지가 한 방향으로만 흐르듯, 올바른 흐름을 따를 때에만 지속이 가능하다는 열역학 제2법칙이 우리 삶에 건네는 메시지이기도 합니다. 양요섭의 Caffeine을 들으며, 오늘도 물리를 통해 인생을 배웁니다.
강연
https://www.youtube.com/watch?v=uSq4lIKzp4g&t=1s
'2026 물리학' 카테고리의 다른 글
| 전기 에너지의 소모 {저항의 연결} (0) | 2026.01.20 |
|---|---|
| 전기력과 전기장 {전위} (2) | 2026.01.14 |
| 열과 에너지 ① {열의 일당량, 열역학 제1법칙} (2) | 2025.12.19 |
| 역학적 에너지 보존 (1) | 2025.12.05 |
| 뉴턴 운동 법칙 ③ {작용과 반작용의 법칙, 운동량 보존 법칙} (2) | 2025.11.27 |