제1의 에너지, 불
제2의 에너지, 석유
제3의 에너지, 원자력
제4의 에너지, 신재생
제5의 에너지, 에너지 절약
태양광, 풍력, 수소와 같은 새로운 에너지를 개발하고, 더 깨끗한 에너지를 확보하기 위한 기술적 도전이 이어지고 있습니다. 하지만 새로운 에너지를 만들어내는 것보다 더 빠르고, 더 강력하게 변화를 이끌 수 있는 방법이 있습니다. 바로 에너지를 아껴 쓰는 것, 즉 에너지 절약입니다.
오늘의 물리학은 에너지를 절약한다는 것이 단순히 ‘덜 쓰는 일’에 그치지 않음을 일깨우며, 그 이치를 통해 삶을 보다 현명하게 조율하는 길을 귀띔해 줍니다.

물리학에서 다루는 대부분의 법칙들은 시간이 앞으로 가든 뒤로 가든 똑같이 성립합니다. 예를 들어 F = ma 같은 식은 시간을 거꾸로 돌린다고 해서 틀려지지 않아요. 어떤 물체가 위에서 아래로 자유 낙하하는 모습을 촬영했다고 해봅시다. 그 영상을 거꾸로 재생하면, 물체가 아래에서 위로 올라가는 장면이 보이겠죠. 그런데 우리는 그걸 보며 “아, 물체가 위로 던져졌네.”라고 생각할 뿐, 영상이 거꾸로 재생되고 있다는 사실을 눈치채기 어렵습니다. 즉, 힘과 운동의 법칙은 시간의 방향과 상관없이 똑같이 작동한다는 뜻이에요.

하지만 유리잔이 떨어져서 깨지는 장면을 촬영하여 거꾸로 재생하면 너무 이상하게 보일 겁니다. 그런 일은 현실에서 나타나지 않기 때문이죠. 사실 유리잔이 복원되는 과정은 뉴턴의 운동 법칙, 에너지 보존 법칙의 측면에서 보면 아무 문제없습니다. 그러나 단 하나의 물리 법칙을 위반해요. 바로 엔트로피 법칙입니다.
시간은 변화를 기술하기 위한 가상적 개념입니다. 시간은 변화에 있어서 무질서를 지향하는데요. 이러한 무질서를 추구하는 경향을 '엔트로피(=무질서도)'라고 합니다. 엔트로피 법칙은 시간을 비롯하여 모든 자연 변화의 방향성을 결정하는, 에너지 보존 법칙에 필적할 만큼 굉장히 근본적인 법칙입니다.

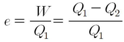
열기관은 고열원(=뜨거운 곳)에서 받은 열의 일부를 일로 바꾸고, 남은 열은 저열원(=차가운 곳)으로 버립니다. 자동차 엔진, 증기기관, 발전소의 터빈 같은 것들이 모두 열기관이에요. '에너지 보존 법칙'에 따라 열기관에 투입된 열 Q1은 열기관이 하는 일 W과 버려지는 열 Q2의 합과 같습니다.
사실 '에너지 보존 법칙'만 고려하면 열을 모두 일로 바꿀 수 있습니다. 버려지는 열 Q2가 0이 되어도 에너지 보존 법칙은 위배되지 않거든요. 왜냐하면 에너지 보존 법칙은 “에너지는 형태만 바뀔 뿐, 없어지지 않는다.”는 사실만 말해주기 때문이에요. 하지만 실제로는 그런 일이 절대 일어나지 않습니다. 아무리 정교한 기관이라도 공급된 열의 일부는 반드시 버려지게 되어 있어요. 그래서 열기관의 열효율은 100%가 될 수 없는 것입니다.

그 이유가 바로 '엔트로피 법칙'입니다. 엔트로피 법칙에 따르면 에너지는 시간이 흐르면서 점점 퍼지고, 정돈된 상태에서 흩어진 상태로 무질서해지는 성질을 가집니다. 정돈된 에너지는 우리가 원하는 일을 해낼 수 있지만, 한번 흩어져 버린 에너지는 더 이상 쓸모 있게 모으기 어렵습니다. 이렇게 흩어진 에너지가 바로 열에너지예요. 다시 말해 에너지가 여러 형태로 전환되는 과정에서 ‘일을 할 수 있는 능력’은 점점 줄어들고, 결국 남는 것은 여기저기 퍼져버린 저온의 열뿐입니다.
결국, 모든 에너지 전환은 완벽할 수 없습니다. 공급된 열의 일부는 언제나 저온의 열 형태로 흩어지고, 그 과정에서 일을 할 수 있는 에너지의 양은 점점 줄어들어요. 그래서 우리는 ‘얼마나 유용하게 에너지를 썼는가’를 판단할 기준이 필요합니다.

에너지 소비 효율 등급 표시 제도는 가전제품이나 기계가 에너지를 얼마나 효율적으로 사용하는지를 한눈에 알 수 있도록 표시하는 제도입니다. 제품은 에너지 사용 성능에 따라 1등급부터 5등급까지로 나뉘는데요. 1등급에 가까울수록 효율이 높습니다.
그렇다면 왜 이런 제도가 필요할까요? 그 이유는, 이 세상에 100% 에너지 효율이 존재할 수 없기 때문입니다. 모든 기계와 장치는 에너지를 사용하는 과정에서 일부 에너지를 반드시 열의 형태로 잃게 되며, 이 현상은 결코 피할 수 없습니다. 즉, 공급된 에너지의 일부는 언제나 흩어지고 버려지게 되어 있습니다. 이것이 바로 엔트로피 법칙이 말하는 자연의 원리입니다. 따라서 “에너지를 절약한다”는 것은 단순히 사용량을 줄이는 것을 넘어서, 불가피하게 흩어지는 에너지를 최소화하려는 노력을 의미합니다. 에너지 효율을 높이는 일은 곧 엔트로피의 확산을 늦추는 문명의 지혜이며,
새로운 에너지를 만드는 것만큼이나 중요한 지속 가능한 삶의 실천입니다.
https://www.youtube.com/watch?v=Jc-Pj9Ho0d0&list=RDJc-Pj9Ho0d0&start_radio=1
후라이는 다시 달걀로 돌아갈 수 없습니다. 에너지가 흩어지고, 질서가 무너진 뒤에는 그 상태를 완벽히 되돌릴 수 없다는 것이 바로 엔트로피 법칙이 말하는 진실입니다. 기후 위기도 마찬가지예요. 이미 엎질러진 온난화의 현실을 되감을 수는 없습니다. 우리가 할 수 있는 것은 잃어버린 질서를 한탄하는 것이 아니라, 그 안에서 새로운 질서를 만들어 가는 일입니다. 즉, 후라이를 달걀로 되돌리는 대신 그것을 닭의 모이에 넣고, 그걸 먹는 닭이 낳는 새 달걀을 기대하는 것처럼 말이죠. 이것이 바로 우리가 추구해야 할 지속 가능한 지혜의 방향입니다.
그 지혜의 방향 속에 있던 두 갈래의 길을 탐험해 보았어요. 하나는 국가와 사회가 이끄는 신재생 에너지의 개발과 확산, 다른 하나는 개인이 실천하는 에너지 효율이 높은 제품의 소비와 절약입니다. 두 길은 서로 다른 출발점에서 시작되지만, 결국 지구의 질서를 회복하려는 같은 목표로 이어집니다. 이처럼 우리는 과거를 되돌릴 수 없지만, 오늘의 선택으로 내일의 방향을 바꿀 수 있습니다.
난 차라리 흘러갈래, 내 물결 따라
에너지의 세계에서 완벽한 효율이 불가능하듯, 인생에서도 완벽한 효율은 존재하지 않습니다. 중요한 것은 흩어짐 속에서도 질서를 잃지 않는 것, 흘러가면서도 나를 잃지 않는 흐름을 선택하는 것입니다. 세상이 강요하는 질서 속에서
무리하게 더 높이 오르려 애쓰기보다, 내가 가진 에너지와 온도 안에서 조용히 그러나 꾸준하게 나의 리듬을 지켜가는 것, 그것이 어쩌면 후라이가 꾸는 꿈일지도 모릅니다. AKMU의 후라이의 꿈을 들으며, 오늘도 물리를 통해 인생을 배웁니다.
'사이언스토리텔링' 카테고리의 다른 글
| 태양물고기 - 윤하 {신재생 에너지} (0) | 2025.10.16 |
|---|---|
| 바코드 - 하온&빈첸 {보어 원자 모형} (2) | 2025.09.18 |
| Alien - 이수현 {물질파} (2) | 2025.09.17 |
| 답을 찾지 못한 날 - 윤하 {광전효과} (0) | 2025.09.16 |
| like JENNIE {도플러 효과} (1) | 2025.09.11 |