
'상도'의 주인공 임상옥은 어릴 때 노비로 팔려갔다. 집안의 몰락으로 빚을 갚지 못해 중국을 상대로 하는 무역 상인 밑에서 허드렛일을 했다. 그는 통역관을 꿈꿨던 아버지에게 중국어를 배운 덕에 남다른 재능을 발휘했다. 이를 눈여겨본 주인의 배려로 장사의 도(道)를 하나씩 익혔다.
청년이 된 그는 본격적으로 상업의 길에 몸을 담고 그 과정에서 국제 무역시장의 원리와 신용의 중요성을 몸으로 터득했다. 그는 사람의 됨됨이를 면밀히 살피는 신중함도 배웠다.
홍경래는 자신 밑에서 일하고 있었던 임상옥을 "물상 객줏집 서기로는 그릇이 넘친다"며 내보내 임상옥은 홍경래의 난과 같은 반란에 휘말리는 화를 면할 수 있었다.
그가 중국 상권까지 뒤흔들 정도로 거부가 될 기회는 42세 때 찾아왔다. 중국 상인들이 인삼 값을 낮추려고 불매 운동을 하자 그는 인삼을 불태우는 '역발상 전략'으로 맞서 몇 배나 비싼 값에 팔고 인삼 무역의 글로벌 승자가 됐다. 소설에서는 스님의 가르침에 따른 것이라고 했지만, 사실은 예전 사행길에 동행했던 추사 김정희의 조언 덕분이었다.
그는 재산이 늘어날 때마다 스스로 과욕을 경계했다. 그 증표로 ‘계영배(戒盈杯·넘침을 경계하는 잔)’를 곁에 두고 마음을 다잡았다. 계영배는 술이 70% 이상 차오르면 밑바닥의 작은 구멍으로 모두 새어나가게 만든 잔이다. 컴퓨터 단층촬영으로 들여다보면 잔 안에 둥근기둥이 있고 거기에 작은 구멍이 뚫려 있다
.

계영배는 과학적으로는 ‘사이펀(siphon)의 원리’를 이용한 것이다. 사이펀은 공기의 압력 차이로 액체를 이동시키는 원통형 막대를 말한다. 빈 컵에 구멍을 뚫고 구부러진 빨대를 끼운 뒤 물을 채워 보면 금방 확인할 수 있다. 어항의 물을 가는 고무관이나 변기의 물이 내려가는 것도 같은 사이펀의 원리로 설명된다.


이번 시간에는 사이펀의 원리와 관련된 현상의 분석을 통해 베르누이 방정식과 연속방정식을 알아보도록 하자.


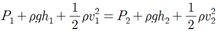
베르누이 방정식은 새로운 법칙이 아니라 이미 알려진 에너지 보존 법칙을 유체역학에 알맞게 재구성한 것이다. 식을 통해 알 수 있는 사실은 속력이 빠른 곳은 압력이 낮고 속력이 느린 곳은 압력이 높다는 것이다.

비행기를 띄우는 양력은 베르누이 공식을 통해 설명할 수 있는 힘이다. 상대적으로 날개 윗쪽의 유체 속력이 빠르고 날개 아래쪽의 속력이 느려 생기는 압력 차가 바로 양력이라는 것이다.
우리가 베르누이 방정식의 효과를 눈으로 보기 위해 실제로 비행기를 띄울 수 없는 노릇이다.
헤어드라이기와 탁구공만 있으면 간단하게 확인할 수 있다.
연속방정식이란 아래와 같이 좁은 면적을 지나가는 유체의 속력이 빠르고 넓은 면적을 지나는 유체의 속력은 느리다는 것이다. 여러분들은 충분히 직관적으로 이해할 수 있다.

이제 본격적으로 사이펀의 원리를 분석해보도록 하자.

그림과 같이 사이펀의 원리란 대기압과 중력을 이용하여 높은 곳의 액체를 낮은 곳으로 이동시키는 작용, 현상을 의미한다.
사이펀 원리가 작동하기 위해서는 구부러진 관안에 물이 가득차야 한다. 유체가 연속적으로 이동해야 베르누이 방정식과 연속 방정식이 유의미하기 때문이다.
∩관의 오른쪽은 중력때문에 아래로 떨어진다고 이해가 되지만 왼쪽은 도대체 어떤 힘에 의해 중력을 거스르고 올라오는 것일까?
일단 여러분들은 알 것이다. 유체는 압력이 높은 곳에서 낮은 곳으로 흐른다는 것을 말이다.

내려가는 물의 면적보다 올라가는 물의 면적이 훨씬 좁다는 것을 알 수 있다. 연속 방정식에 의해 위로 올라가는 물의 속도가 훨씬 빠르고 베르누이 방정식에 따라 좁은 관의 압력이 낮아짐을 알 수 있다.
따라서 이 압력차에 의해 물이 위로 끌어올려지고 ∩자관 오른쪽에 도달하면 중력에 의해 떨어지는 것이다.
이러한 일련의 과정이 연속적으로 이어지는 것이 '사이펀의 원리'인 것이다.


이처럼 계영배에 잔을 흘러 넘치게 따르면 사이펀의 원리가 작동하여 잔에 부은 액체의 대부분이 쏟아지는 결과가 나오는 것이다.

서양에도 계영배와 비슷한 원리로 작동하는 ‘피타고라스의 컵’이 있다. 기원전 6세기에 그리스 철학자 피타고라스가 만들었다. 물이 부족한 그의 고향 사모스 섬에서 물과 와인을 아끼기 위해 발명했다고 한다. 이 컵에 일정 수위 이상 물을 부으면 밑으로 다 새어버린다.
계영배를 고안한 사람은 19세기 실학자 하백원과 도공 우명옥이지만, 그 유래는 기원전 7세기 중국 제나라 환공의 ‘기기(器·기울어지는 그릇)’에서 찾을 수 있다. 비어 있으면 기울고, 절반쯤 차면 바르게 놓이고, 가득 차면 엎어지는 그릇이다.
이 신기한 그릇을 본 공자는 “가득 채우고도 기울지 않는 것은 없다”며 무릎을 쳤다. 제자가 ‘채우고도 지킬 수 있는 방법’을 묻자 “지혜로우면서도 어리석은 듯 지키고, 큰 공을 세우고도 겸양으로 지키고, 용맹하면서도 낮춤으로 지키고, 천하를 가질 정도로 부유하면서도 겸손으로 지켜야 한다”라고 일렀다.
‘소년 노비’의 설움을 딛고 조선 최고의 거상(巨商)이 된 임상옥에게 과유불급과 상도의 진정한 의미를 깨닫게 해준 것이 곧 계영배의 원리였다. 계영배에 새겨진 ‘가득 채워 마시지 말기를 바라며/ 죽을 때까지 너와 함께하길 원한다’는 글귀에 그의 인생이 압축돼 있다. 예나 지금이나 지나친 것은 모자람만 못하다. 권력도 인생도 마찬가지다.
'2020 물리학I' 카테고리의 다른 글
| [2015개정 물리학1] 보어의 원자모형과 수소 원자의 선 스펙트럼 (1) | 2020.07.21 |
|---|---|
| [2015개정 물리학1] 원자의 구조와 전기력 (0) | 2020.07.20 |
| [물리탐구교실] 토리첼리의 대기압 측정 실험 (0) | 2020.07.12 |
| [2015 개정 물리학1] 3. 시공간과 에너지 - 질량 에너지 동등성- (1) | 2020.07.10 |
| [2015개정 물리학1] 3. 시공간과 에너지 / 특수 상대성 이론 (0) | 2020.07.07 |