2024.09.24 - [2024 물리학I 톺아보기] - 전자기 유도 {자속, 유도 기전력, 렌츠 법칙}
전자기 유도 {자속, 유도 기전력, 렌츠 법칙}
2024.09.20 - [2024 물리학I 톺아보기] - 물질의 자성 {전자의 스핀, 상자성체, 반자성체, 강자성체} 물질의 자성 {전자의 스핀, 상자성체, 반자성체, 강자성체}2024.09.06 - [2024 물리학I 톺아보기] - 전류
gooseskin.tistory.com
물리학Ⅰ 전개도

판서 조직도

목표 기출 문제
19년도 7월 학평 물리1 1번

답: 4번
23년도 수능 물리학1 1번

답: 4번
23년도 6월 모평 물리학1 3번

답: 4번
"겁도 없이 너에게 뛰어들었고, 우린 함께 무지개를 만들었지"

영화 엘리멘탈에서 불과 만난 물이 무지개를 피어오르게 만드는 장면이 있습니다. 무지개, 분명 실재하지만 형태가 없는 역설적인 자연 현상입니다. 패러데이는 폭포수에서 피어나는 무지개를 바라보며 실재하지만 형태가 없는 전자기장의 아이디어를 떠올립니다. 그 덕분에 우리는 실재하지만 형태가 없는 무선 통신망이란 정보의 바다를 스마트폰이란 배로 항해하는 시대에 살고 있습니다. 물과 불의 우연이 필연이 되었듯이 우연처럼 얽히게 된 거장들의 전자기학적인 아이디어에서 무선 통신이라는 필연이 비롯되었던 배경에 자리하고 있는 전자기파에 대해 공부하는 시간입니다.
우연처럼 얽히게 된 아이디어로부터 전자기파의 존재가 드러나다


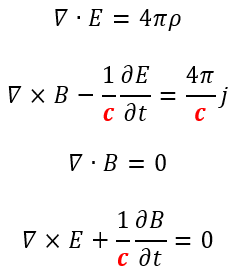
맥스웰은 눈에 보이지 않는 전자기장을 선으로 표현한 패러데이의 직관적 아이디어를 수학적인 언어로 재구성하는데, 그 산물이 바로 맥스웰 방정식입니다. 맥스웰 방정식의 해는 전자기장의 변형이 파동의 형태로 퍼져 나감을 시사합니다. 마치 선으로 이루어진 바닷물이 한 점에서 다른 점으로 점차 퍼져나가는 것처럼요. 더 나아가 맥스웰은 그 파동이 전기와 자기, 서로가 서로를 유도할 때 주고받는 신호임을 주장하죠. 맥스웰은 이 파동을 전자기파라고 명명합니다. 더불어 맥스웰 방정식의 해에 따르면 전자기파는 1초에 299,792,458m를 진행해야 했습니다.
그러나 맥스웰은 난관에 맞닥뜨립니다. 맥스웰 방정식에 따르면 전자기파는 파동입니다. 그 시기에는 파동이란 매질이 있어야만 진행할 수 있다는 주장이 공론화되던 때였습니다. 그러나 맥스웰 방정식에 따르면 전자기파는 매질이 없어도 진행할 수 있었거든요. 따라서 맥스웰은 매질 없이도 파동이 진행할 수 있음을 설명해야 했습니다. 그러나 그때 당시에는 그를 입증할 도리가 없었어요.


그로부터 20여 년의 시간이 지난 후 매질 없이 진행하는 파동의 증거가 등장합니다. 마이켈슨과 그의 조수 몰리가 기획한 실험의 결과였습니다. 사실 그들은 맥스웰의 바람을 이뤄주고자 실험을 한 게 아니었어요. 그들의 실험 목적은 빛의 매질, 에테르의 존재를 밝히는 것에 있었습니다. 과학자들은 예전부터 우주는 가상의 물질, 에테르로 가득 차있기 때문에 빛 파동이 에테르를 매질로 삼아 지구로 진행해 오는 것이라 생각했거든요. 하지만 마이켈슨과 몰리의 실험 결과로 인해 에테르라는 것은 애초에 없었다는 게 밝혀진 겁니다. 다시 말해 빛, 전자기파는 매질 없이도 진행할 수 있는 파동입니다.


이후에 헤르츠의 실험을 통해 전자기파의 실재가 드러나면서 빛(≒가시광선)이 전자기파의 한 종류임이 밝혀집니다. 그는 전자기적 상호작용으로 발생하는 전자기파를 눈으로 확인함으로써 맥스웰의 가설을 정설로 탈바꿈시킨 주역입니다.
1. 전자기파의 특징
1) 전자기파의 진행
전자기파는 횡파로 분류됩니다. 횡파란 매질이 진동하는 방향에 수직한 방향으로 진행하는 파동이에요. 그러나 전자기파는 매질이 없어도 진행하는 파동입니다. 그렇다면 전자기파는 무엇의 진동에 수직한 방향으로 진행할까요? 바로 전기장과 자기장의 진동 방향입니다.

전기장과 자기장, 서로가 서로의 다른 모습을 90º 인 곳에 남겨두었다는 말 기억난가요? 90º 를 이루는 전기장과 자기장은 각자의 진동 방향에 수직한 방향으로 진행하는 전자기파를 신호 삼아 서로를 유도합니다. 매질이 아니지만 무언가의 진동에 수직한 방향으로 진행하는 파동이다 보니 전자기파를 횡파로 분류하는 거죠.
일-에너지 정리와 광속 불변 원리


뒤에서 자세히 배우게 될 텐데 빛은 파동이면서도 입자이기도 합니다. 보어 원자 모형을 공부할 때 아인슈타인의 광양자론, E=hf을 배웠던 거 기억난가요? 광양자론은 빛이 광자라는 입자의 집합임을 전제로 합니다. 이때 전기력과 자기력이 광자라는 입자에 작용하는 힘과 광자(=전자기파)의 진행 방향이 수직입니다.
광속 불변 원리, 빛이 등속 운동을 한다는 거잖아요? 전기력과 자기력이 광자에 작용하는 힘은 광자의 진행 방향에 항상 수직합니다. 물체에 작용하는 힘과 물체의 이동 방향이 수직인 상황이라서 일의 정의에 따르면 광자가 받는 일의 양이 0이 되고, 일-에너지 정리에 따르면 광자(=빛)는 등속 운동을 할 수밖에 없습니다.
ps 사실 광자는 질량이 없는 입자라서 뉴턴 역학을 섣불리 적용할 수 없음. 따라서 위와 같은 논리 전개는 내 뇌피셜임. 그냥 비유적 창의로 여겨주길 바람.
2) 전자기파의 속력
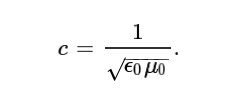
전자기파는 다른 파동과 달리 매질이 없는 진공 상태에서도 진행이 가능한 파동이며 진공에서의 전자기파 속력은 299,792,458m/s입니다. 왜요? 맥스웰 방정식의 해가 그렇게 가리키고 있거든요.


유전율 ϵ0, 투자율 μ0 모두 진공 상태에서의 값들입니다. 그 두 값의 연산에 의해 진공에서의 전자기파 속력이 결정됩니다. 이를 달리 말하면 진공 상태에서도 전자기파가 속력을 가지고 진행할 수 있음을 뜻하는 거죠.
맥스웰 방정식과 광속 불변 원리
진공에서의 유전율 ϵ0과 투자율 μ0 모두 관측자의 운동 여부와 관계없는 상수값이기 때문에 빛의 속도 역시 상수일 수밖에 없습니다.
2. 전자기파의 종류와 활용

우리가 흔히 말하는 빛, 가시광선은 전자기파의 극히 일부분이에요. 빛은 가시광선뿐만이 아니라 다양한 종류의 전자기파들이 영역대에 연속적으로 분포하고 있습니다. 이 전자기파들은 용도에 따라 구분하는데요. 하나하나씩 알아봅시다.
① Radio, 라디오파
라디오파 대역의 전자기파는 파장이 제일 길고, 진동수가 제일 작습니다. 파장이 길수록 파동의 전달성이 우수해지므로 라디오파 대역의 전자기파는 TV 및 라디오를 비롯한 무선 통신에 활용됩니다.
② Microwaves, 마이크로파
마이크로파 대역의 전자기파는 라디오파보다 파장이 짧은 편이지만 그럼에도 전달성이 우수하여 통신에 활용됩니다. 이외에도 마이크로파는 전자레인지에 활용이 되는데요. 마이크로파의 진동수가 물 분자의 진동수와 비슷하기 때문에 마이크로파에 노출된 물 분자는 더욱 격렬하게 진동합니다. 이를 공명 현상이라고 해요. 즉 전자레인지는 마이크로파에 의한 물 분자의 공명을 활용하여 음식물을 데웁니다.
③ Infra Red, 적외선(赤外線)
한자어 뜻 그대로 빨간 가시광선의 바로 바깥 영역의 적외선은 빨간 가시광선보다 파장이 깁니다. 주로 강한 열작용을 하기 때문에 열선이라고도 불러요. 적외선 카메라 및 리모컨에 활용됩니다.
④ Visible, 가시광선(可視光線)
한자어 뜻 그대로 눈에 보이는 전자기파입니다. 흔히들 빛이라 부르죠. 파장에 따라 다른 색으로 보입니다. 보통 빨간빛과 파란빛의 파장을 비교하는데, 빨간빛의 파장이 파란빛의 파장보다 깁니다. 이러한 가시광선은 디스플레이 및 조명에 활용됩니다.
⑤ Ultra Violet, 자외선(紫外線)
한자어 뜻 그대로 보라 가시광선의 바로 바깥 영역의 자외선은 보라 가시광선보다 파장이 짧습니다. 세균의 단백질 합성을 방해하여 살균 작용에 활용됩니다.
⑥ X rays, 엑스선
X선은 발견 당시 정체가 불분명한 전자기파라 붙여진 이름입니다. 자외선 대역의 파동보다 파장이 짧고 진동수가 큽니다. 진동수가 클수록 투과성이 우수해지므로 X선은 공항 수하물이나 신체 내부를 검사하는데 활용됩니다.
⑦ Gamma rays(=r선), 감마선
핵반응시 방출되는 감마선은 X선 대역의 파동보다 파장이 더 짧아 진동수가 더 큽니다. 따라서 투과성과 반응성이 매우 강한 감마선은 암 치료에 활용됩니다.
Steal the show - Lauv
우연과 필연
https://www.youtube.com/watch?v=AJsvGtGgI6M
지금 우리에게 없으면 안 되는, 어쩌면 너무나 당연한 필연처럼 여기고 있을 스마트폰과 같은 무선 통신은 전자기장을 떠올린 패러데이와 전자기장을 수학적으로 구상한 맥스웰과 에테르를 관찰하고자 했던 마이켈슨과 몰리와 전자기파를 확인했던 헤르츠, 그들의 아이디어가 우연처럼 얽힘으로써 빛(=전자기파)이 물리학에 편입되었기 때문에 가능한 것이었습니다.
이처럼 과학은 혼자만의 학문이 아니라 함께의 학문입니다. 우리의 인생 또한 마찬가지입니다. 함께의 우연에서 비롯될 필연은 무지개처럼 형태는 없지만 분명 우리의 삶에 실재합니다. 오늘도 물리를 통해 인생을 배웁니다.
'2024 물리학I 톺아보기' 카테고리의 다른 글
| 파동의 표현과 성질 ② {굴절} (0) | 2024.11.02 |
|---|---|
| 파동의 표현과 성질 ① {파장, 주기, 진동수, 속력} (0) | 2024.10.29 |
| 전자기 유도 {자속, 유도 기전력, 렌츠 법칙} (2) | 2024.09.25 |
| 물질의 자성 {전자의 스핀, 상자성체, 반자성체, 강자성체} (2) | 2024.09.23 |
| 전류가 만드는 자기장 {암페어 법칙} (2) | 2024.09.10 |