2023.08.11 - [2023 물리학I 톺아보기] - 보어의 원자 모형(정상 궤도, 에너지 양자화)
보어의 원자 모형(정상 궤도, 에너지 양자화)
2023.08.08 - [2023 물리학I 톺아보기] - 전하와 전기력(쿨롱 법칙) 전하와 전기력(쿨롱 법칙) 물리학Ⅰ 전개도 아웃라인 목표 기출 문제 14년도 7월 학평 물리1 8번 답: 3번 1. 전기력 1) 전하와 질량 질량
gooseskin.tistory.com
물리학Ⅰ 전개도

판서 조직도

목표 기출 문제
18년도 9월 모평 물리 1 2번

답: 5번
13년도 3월 학평 물리1 8번

답: 5번
15년도 9월 모평 물리1 3번

답: 3번
1. 고체의 에너지띠
1) 고체의 에너지띠 이론

수소 원자엔 전자가 한 개 있습니다. 전자가 점유할 수 있는 궤도는 왼쪽 그림처럼 불연속적이에요. 고체는 수많은 원자들이 결합된 구조예요. 고체를 이루는 원자의 종류가 수소뿐이라는 극단적인 가정을 해봅시다. 수소 원자가 두 개 있든, 세 개 있든 당연히 각각의 수소 원자 내의 전자는 똑같은 궤도를 점해야 하므로 각각의 궤도가 한 위치에서 겹쳐져야겠죠? 그러나 그림에서 전자의 궤도는 한 위치에 겹쳐있지 않고 미세하게 벌어져 있습니다.

이를 설명하기 위해 파울리는 하나의 양자 상태에 하나의 전자만이 있을 수 있다는 '파울리 배타 원리'를 제안합니다. 파울리 배타 원리에 따르면 n개의 수소 원자가 서로 가까워질 때 에너지 준위는 한 곳에서 겹쳐지지 않고 미세하게 n개로 갈라집니다.

실제 수많은 원자들로 이루어진 고체 물질에서는 각각의 전자가 점할 수 있는 궤도들이 상당히 많이 밀집하여 하나의 띠를 형성하게 되는데, 이 띠를 '허용된 띠'라고 해요. 이 허용된 띠를 확대해 보면 수많은 궤도들 각각이 살짝씩 벌어져 있음을 볼 수 있습니다. '금지된 띠'란 전자가 있을 수 없는 영역을 의미합니다. 이처럼 고체의 에너지띠 간격과 에너지 띠에 전자가 채워진 정도가 복합적으로 작용하여 고체의 전기적 특성이 결정됩니다.
2) 고체의 전기 전도성과 에너지띠의 구조
①부도체=절연체

부도체란 어지간해서 전기가 통하지 않는 물체, 즉 전자가 이동하지 않는 물체예요. 고체의 전자들은 가장 낮은 에너지 준위부터 차례대로 채워지는데요. 이때 어떤 에너지 띠가 전자로 완전히 채워져 있다면 이 에너지띠를 '원자가띠'라 하고, 전자가 덜 차있거나 비어있는 띠를 '전도띠'라고 합니다. 이미 전자로 꽉 차 버린 원자가 띠 내에서는 전자가 이동하기 힘들겠죠? 만약 전자에 원자가띠와 전도띠의 에너지 간격(=띠 틈)을 뛰어넘을 수 있는 충분한 에너지를 공급한다면, 원자가띠의 꼭대기에 있는 전자는 전도 띠로 넘어갈 수 있으며 그 전자는 전도띠 내에서 자유롭게 이동할 수 있게 됩니다.
다이아몬드가 좋은 부도체인 이유는 다이아몬드의 띠틈이 5.5eV로 매우 넓기 때문입니다. 띠틈이 워낙에 넓기 때문에 전자의 원자가띠에서 전도띠로의 전이에 상온의 열에너지로는 택도 없습니다.
②도체


그림과 같은 에너지띠 구조를 갖는 고체를 '도체'라 합니다. 이 경우는 모두 상온의 열에너지로도 충분히 전자가 이동할 수 있는 경우이므로, 도체는 상온에서 전기가 잘 통하죠.
③반도체

반도체는 그림에서 보다시피 원자가띠와 전도띠 틈이 부도체의 경우보다는 좁기 때문에 상온에서 전자가 전도띠로 전이될 가능성이 부도체보단 높아요.

이때 전자가 원자가띠에서 전도띠로 전이하면 원자가띠에는 전자의 빈자리가 생기게 되는데 이를 '양공'이라 합니다.

그림처럼 전자의 이동으로 발생한 빈자리를 인접한 전자가 채우는데, 전반적으로 전자가 오른쪽으로 이동하는 추이를 보입니다. 반대로 빈자리는 왼쪽으로 이동하는 추이를 보입니다. 빈자리의 이동 방향이 전자 이동 방향에 반대다 보니 이를 양전하에 매칭하여 '양공'이라 부르는 거죠.
전기 전도도와 비저항
전류가 얼마나 잘 흐르는지를 나타내는 물질의 특성을 '전기 전도성'이라 하며, 물질의 전기 전도성을 정량적으로 나타내는 물리량을 '전기 전도도'라 해요. 전기 전도도(σ)는 비저항(ρ)의 역수와 같습니다.
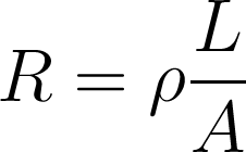
비저항(ρ)은 저항 R이 물체의 길이 L에 비례하고 단면적 A에 반비례하는 관계식의 비례 상수입니다.

아래 그림은 물질을 전기 전도도에 따라 분류한 것입니다.

이처럼 물질은 전기적 성질에 따라 도체, 반도체, 부도체로 분류되는데, 위에서 배운 '고체의 에너지띠 이론'이 왜 다이아몬드는 절연체, 구리는 도체, 실리콘은 반도체인지 설명하죠.
도체와 반도체의 온도와 전기 전도도

금속과 같은 도체는 온도가 증가할수록 비저항이 증가합니다. 그 이유는 온도가 높을수록 고체 내 원자 격자 진동이 격렬해져 전자 이동에 방해를 주기 때문이에요. 반면에 반도체는 온도가 증가할수록 비저항이 감소합니다. 온도가 높을수록 원자가띠의 전자가 전도띠로 올라가기 쉽기 때문이죠. 비저항과 전기 전도도는 역수 관계이기 때문에 도체는 온도가 증가할수록 전기 전도도가 낮아지고, 반도체는 온도가 증가할수록 전기 전도도가 높아집니다.
2. '원자 격자 구조'와 '에너지띠 구조'로 살펴보는 반도체
1) '원자 격자 구조'로 살펴보는 반도체
위에서는 순수 반도체를 에너지띠 구조로 살펴보았습니다. 여기선 원자 격자 구조로 반도체를 살펴볼게요.

규소 원자 내의 14개 전자는 왼쪽 그림과 같이 가장 낮은 에너지 준위부터 차례대로 차곡차곡 채워집니다. 가장 바깥쪽 궤도에 존재하는 4개의 전자는 비교적 원자핵으로부터 자유롭다 보니 화학 결합의 참여가 쉬운 상태인데요. 이런 전자를 '원자가전자'라고 합니다. 순수한 반도체인 저마늄(Ge), 규소(Si) 원자 모두 원자가전자를 4개 가지고 있습니다.

각각의 규소 원자들은 인접한 규소 원자의 원자가전자들과 공유 결합을 하여 결정을 이루게 되는데, 이 결정이 바로 순수한 반도체입니다. 순수한 반도체의 전기 전도도는 거의 부도체에 가까워요. 다시 말해 순수한 반도체는 전자 제품으로 이용하기에는 전기 전도성이 너무 떨어집니다. 어떻게 하면 반도체의 전기 전도성을 좋게 할 수 있을까요? 전기 전도성을 올린다는 것은 전하의 유동성을 늘린다는 걸 의미해요. 따라서 순수한 반도체에 다른 물질을 첨가함으로써 전하의 유동성을 늘리면 됩니다.
2) 불순물 반도체
①n형 반도체(전자가 양공보다 많음)

그림은 Si(규소) 결정에 원자가 전자가 5개인 Sb(안티모니)를 첨가한 건데, Sb의 전자 4개는 각각 이웃한 Si 원자가 전자와 공유 결합을 하고, 남은 1개의 잉여 전자는 결합할 짝이 없어서 자유롭게 돌아다닐 수 있는 자유 전자가 됩니다. 여러 개의 Sb 원자를 첨가하면 자유 전자의 수는 그만큼 많아지는 거고 그에 따라 전기 전도성이 좋아지겠죠?

잉여 전자들은 전도띠 바로 아래에(=대략 0.5eV로 매우 작음) 생긴 에너지 준위(=주개 준위)를 점하기 때문에 전도띠로 쉽게 이동할 수 있습니다. 그러다 보니 전도띠에 전자의 개수가 많아져요. Si의 원자가띠에서 넘어온 전자에 Sb의 잉여 에너지 주개 준위에서 넘어온 전자를 포함한 만큼 많죠. 이렇게 불순물 첨가로 인해 양공보다 전자가 많은 반도체를 'n형 반도체'라고 합니다.
②p형 반도체(양공이 전자보다 더 많음)

반대로 그림은 Si 결정에 원자가 전자가 3개인 B(붕소)를 첨가한 건데, 이때 B의 전자 3개는 각각 이웃한 Si의 원자가 전자 3개와 공유 결합을 합니다. 그러나 나머지 Si의 원자가 전자 1개는 공유 결합할 전자가 없기 때문에 자리 공백(=양공)이 생기죠. 이 빈자리를 주변의 전자가 이동하면서 채우고, 또 그 자리가 비게 되면 다른 전자가 채우는 과정이 반복되는데, 여러 개의 B를 첨가한 만큼 양공의 수가 많아지면서 전기 전도도가 높아지는 결과가 나타납니다.

이때는 원자가띠 바로 위의 에너지 준위(=받개 준위)로 전자가 이동하면서 원자가띠에 양공이 많이 만들어집니다. Si의 전자가 Si의 전도띠로 이동하면서 남긴 흔적에 Si의 전자가 B가 만든 원자가띠 바로 위의 에너지 받개 준위로 이동하면서 남긴 흔적이 추가된 만큼 많아지죠. 이렇게 불순물 첨가로 인해 전자보다 양공이 많은 반도체를 'p형 반도체'라고 합니다.
바람의 빛깔 - 오연준

아메리카를 개척하기 위해 바다 건너온 영국인과 아메리카 원주민 포카혼타스의 사랑. 다소 부침을 겪지만 그들의 사랑은 이주민과 원주민을 화합으로 이끌게 되고, 이야기는 해피엔딩으로 마무리돼요.
https://www.youtube.com/watch?v=RDtvoUZ4kD0
"혼자 가면 빨리 가고 함께 가면 멀리 간다"
반도체는 전자 기기에 들어가는 부품이다 보니 전류가 흘러야 될 거 같긴 하고, 뭔가 이름이 '반'도체라서 도체에 비해 전류가 약하게 흐르거나 절반만 흐를 거 같은 느낌입니다. 하지만 규소처럼 순수한 반도체의 전기 전도도는 거의 부도체에 가까워요. 그렇기 때문에 순수한 반도체는 그 자체만으로는 상품의 가치가 없습니다. 순수한 반도체는 다른 것과 섞이고 나서야 가치를 발휘합니다. 이처럼 서로 다른 것들끼리 어우러져 하나가 된다는 것은 순수 그 이상의 가치를 누릴 수 있음을 뜻합니다.


서로 다른 것들끼리의 화합이 낳은 반도체. 그로 인해 탄생한 IT 기술은 초연결, 네트워크 시대를 열었습니다. 그렇기에 현대 사회는 우리에게 경쟁을 통한 생존보다는 협업을 통한 공존을 요구합니다.

무한한 정보와 기술에도 불구하고 효과적으로 대처하기 어려운 불확실성이 증대하고 있는 시대입니다. 인류에게는 대유행 감염병, 대규모의 재난, 기후변화, 환경오염 등 수많은 도전이 기다리고 있습니다. 서로 의심하고 증오하기보다 신뢰하고 나누는 공동체 의식으로 연대할 때 인류는 생존하고 번영할 수 있습니다.
2023.08.20 - [2023 물리학I 톺아보기] - 에너지띠와 반도체 ② {p-n접합, 전기회로 분석}
에너지띠와 반도체 ② {p-n접합, 전기회로 분석}
2023.08.16 - [2023 물리학I 톺아보기] - 에너지띠와 반도체 ① {고체의 에너지띠, 불순물 반도체} 에너지띠와 반도체 ① {고체의 에너지띠, 불순물 반도체} 2023.08.11 - [2023 물리학I 톺아보기] - 보어의
gooseskin.tistory.com
'2023 물리학I 톺아보기' 카테고리의 다른 글
| 규석기 시대의 반도체 (2) | 2023.08.29 |
|---|---|
| 에너지띠와 반도체 ② {p-n접합, 전기회로 분석} (0) | 2023.08.20 |
| 보어의 원자 모형 {정상 궤도, 에너지 양자화} (8) | 2023.08.11 |
| 전하와 전기력 {쿨롱 법칙} (3) | 2023.08.08 |
| 인류의 다음 도약, 컴퓨터 (자연을 통제하고 활용한 인류②) (0) | 2023.08.08 |