728x90
반응형
728x170
우리가 알고 있는 지구의 원운동, 원자 내 전자 원운동의 물리학적 서술은 태양과 원자핵이 정지해 있다는 전제에서 시작된다. 그렇게 가정할 수 있었던 이유는 태양과 원자핵에 비해 지구와 전자의 질량이 한없이 작았기 때문이다.


환산질량을 쓰는 이유
그러나 질량이 대등한 물체들의 원운동은 어떨까? 이런 2체 역학을 하나의 운동으로 치환하기 위해 사용하는 도구가 '환산질량'이다.
두 물체의 원운동을 한 물체의 원운동으로

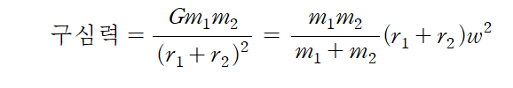
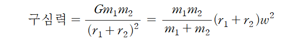
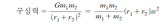
m1과 m2가 w라는 동일한 각속도로 등속 원운동하고 있다. 두 물체 간에 작용하는 만유인력이 두 물체의 구심력으로 작용하기 때문이다. 만유인력(구심력)의 크기는 다음과 같다.

이 복잡한 2체(물체1-물체2) 시스템을 질량중심(cm)을 축으로 회전하는 1체 시스템으로 치환하기 위해 다음과 같은 '환산질량'을 도입할 것이다.



위의 식이 의미하는 바는 다음과 같다.
서로의 만유인력을 구심력으로 각각의 물체들(m1, m2)이 원운동 하는 것은 환산질량을 가진 한 물체가 m1과 m2의 질량중심을 회전축으로 반경 r1+r2을 w라는 각속도로 등속 원운동하는 것과 같다.
반응형
그리드형
'대학물리학 조각' 카테고리의 다른 글
| 피타고라스 정리와 특수 상대성 이론 (1) | 2024.09.09 |
|---|---|
| [열역학] 카르노기관보다 높은 열효율을 갖는 열기관의 모순 (0) | 2023.04.25 |
| [일반물리학] 전자기학과 상대성 이론, 전기력과 자기력은 사실 같다. (2) | 2023.03.24 |
| [현대물리] 다른 각도로 접근하여 분석하는 고체의 에너지 띠 이론 (0) | 2020.08.01 |
| [현대물리] 고체의 형태가 유지되는 이유 (0) | 2020.07.31 |