728x90
반응형
728x170
2023.03.06 - [2023 물리학I 톺아보기] - 여러 가지 물체의 운동 ⓛ (변위, 속도, 가속도)
여러 가지 물체의 운동 ⓛ (변위, 속도, 가속도)
물리학Ⅰ 전개도 해와 달 - 조성모 https://youtu.be/iCunQ2esdK4 난 이제 가는 길이야. 널 또 못 본 체로 내가 떠나야 올 수 있는 넌데 늘 숨박꼭질 하듯 엇갈리잖아. 아마 세상이 끝나기 전에는 늘 이러
gooseskin.tistory.com
판서 조직도

목표 기출 문제
17년도 9월 모평 물리1 3번

답: 3번
3. 등가속도 직선 운동
가속도 정의와 그래프 분석으로 유도한 세 가지 식

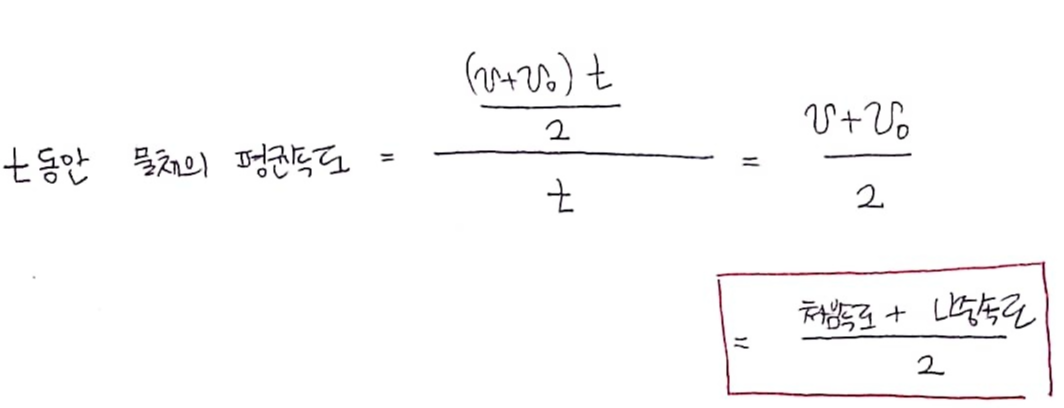
등가속도 직선 운동하는 물체의 평균 속도



Ordinary people - SG 워너비
https://www.youtube.com/watch?v=Nd5ocGArACE
세상 사람들 똑같은 얼굴하고
같은 꿈을 향해 외로운 길을 걷지

새 학기가 시작되면 대부분은 작년과는 다른 한 해를 보내겠다는 결연의 의지를 품게 된다. 하지만 쌓여가는 시간에 반비례하여 떨어져 나가는 의지와 체력에 흐지부지해지다가 연말이 되고 나서야 시간이 벌써 이렇게 갔냐며 스스로를 책망했던 적이 많았을 것이다. 거창한 미래, 그렇지 못한 지금의 초라함에 괜히 마음만 조급해져 되도록 빨리 이상향에 당도하고 싶지만, 인생은 그렇게 호락호락하지 않다. 처음(v0)과 나중(v)에만 포커스를 맞추지 말고, 시간(t)과 꾸준함(a)의 중요성을 항상 생각하자. 처음(v0)이 아무리 비루할지라도 꾸준함(a)을 유지한 채 시간을 공들인다면(t) 괄목할만한 나중(v)을 마주할 수 있다. 그게 평균적인 사람들의 성공 방식이다.
도전 기출 문제
19년도 수능 물리1 11번

답: 5번
반응형
그리드형
'2023 물리학I 톺아보기' 카테고리의 다른 글
| 자연의 이치, 뉴턴 운동 제3법칙(작용 반작용 법칙) (2) | 2023.03.14 |
|---|---|
| 뉴턴 운동 법칙 ②(힘의 평형 관계, 운동 방정식) (1) | 2023.03.10 |
| 뉴턴 운동 법칙 ① (힘, 관성과 질량, 작용-반작용 관계에 있는 두 힘) (0) | 2023.03.08 |
| 여러 가지 물체의 운동 ⓛ (변위, 속도, 가속도) (1) | 2023.03.06 |
| 2023 물리학I 프리뷰 (2) | 2023.03.04 |