2021.09.23 - [2021 물리학1] - 물질의 자성(상자성체, 반자성체, 강자성체)
물질의 자성(상자성체, 반자성체, 강자성체)
2021.09.07 - [2021 물리학1] - 전류에 의한 자기 작용 전류에 의한 자기 작용 2021.08.26 - [2021 물리학1] - 반도체와 pn접합 반도체와 pn접합 https://gooseskin.tistory.com/214 고체의 에너지띠 이론 https:/..
gooseskin.tistory.com
학습 목표
일상생활에서 전자기 유도 현상이 적용되는 다양한 예를 찾아 그 원리를 설명할 수 있다.
핵심 키워드 조직도

※학습 목표 및 핵심 키워드 조직도 분석
외르스테드에 의해서 전기가 자기를 유도하는 현상이 발견된 후에 많은 과학자들은 이와 대칭되는 현상을 찾으려고 애썼다. 결국, 10년이 지나 패러데이에 의해서 자기가 전기를 유도하는 대칭적인 현상인 '전자기 유도'가 발견된다. 사실 '전자기 유도'에 대한 내용은 중학교 과학에서도 배웠고, 고1 통합과학에서 숱하게 다뤄왔었다. 이번 시간에는 대단원 '물질과 전자기장'에서 '파동과 정보통신'으로 넘어가는 길목에 위치해있는 '전자기 유도'가 물리학에서 어떤 의미를 갖는지 조명해보고자 한다.
1. 유도 기전력

패러데이는 코일에 막대자석을 넣었다 뺐다 했을 때 검류계 바늘이 움직이는 것을 확인했다. 검류계 바늘이 움직이는 이유는 전류가 흐르기 때문이다. 이는 자석의 자기장이 코일에 전류 흐름을 유도한 결과임에 틀림없다. 이를 비롯하여 패러데이는 몇 가지 이상한 점을 발견했다.
1. 자석이 움직일 때만 검류계 바늘이 움직임
2. 자석을 빨리 움직이거나, 코일을 많이 감거나, 센 자석을 이용하여 실험할 때 모두 바늘이 큰 폭으로 움직임
3. 자석이 코일에 들어갈 때와 나올 때 바늘의 움직이는 방향이 바뀜
패러데이는 이 세 가지 상황을 종합하여 자신만의 직관을 발휘하여 분석한 뒤 다음과 같은 '패러데이 법칙'을 완성한다.

①'자석이 움직일 때만 검류계 바늘이 움직임' 해설
전류가 흐른다는 건 회로에 전압이 생겼다는 걸 의미한다.
건전지가 없음에도 불구하고 전류가 흐르는 이유는 뭔가가 건전지 대신에 전압의 역할을 하기 때문이다. 자석을 움직였을 때 전류가 흐르는 상황에서 유추할 수 있는 인과 관계는 코일의 면적을 지나는 자기력선 수의 변화, 즉 '자기장의 변화'가 전압을 유도한다는 명제로 귀결된다. 자석의 N극이 코일에 가까워지는 상황을 보자.

자속 Φ 이란?
단위 면적을 지나는 자기력선의 수로써 자기장이 지나는 면적에 자기장의 세기를 곱한 값이다.
Φ=BA (B: 자기장의 세기, A: 자기장이 지나는 면적)

게다가, 자석을 가만히 두고 코일을 움직이는 과정에서도 코일을 지나는 자속에 변화가 생기기 때문에 코일에 전압이 생긴다. 그렇다면 코일과 자석이 같은 방향, 같은 빠르기로 움직인다면 어떨까?
이 경우에는 코일 입장에서 자석이 정지해있으므로 자속의 변화가 생기지 않아 전압이 안생긴다.
즉 자석과 코일 간에 상대적인 움직임이 있어야만 코일을 통과하는 자속에 변화가 생긴다. 이처럼 변화하는 자속에 의해 만들어지는 전압을 '유도 기전력[V]'이라고 한다. 그리고 유도 기전력에 의해서 흐르는 전류를 '유도 전류[A]'라고 한다.
②'자석을 빨리 움직이거나, 코일을 많이 감거나, 센 자석을 쓸수록 바늘이 큰 폭으로 움직임' 해설
바늘이 큰 폭으로 움직인다는 건 전류의 세기가 세졌다는 걸 의미한다. 이는 전압(유도 기전력)이 커졌다는 뜻이다.
자석을 빨리 움직일수록 코일을 지나는 자기장의 변화가 빨라진다. 이는 자속의 시간 변화율이 커진다는 뜻이다. 자석의 움직임이 빠를수록 전류 세기가 증가한다는 건, 유도 기전력의 세기가 자속의 시간 변화율에 비례함을 의미한다. V∝△Φ/△t (Φ: 자속)
코일을 많이 감을수록 바늘이 큰 폭으로 움직였다는 건 유도 기전력의 세기가 코일을 감은 횟수 N에 비례한다는 뜻이다. V∝N
위의 인과 관계를 종합하면 아래 식과 같다.

그렇다면 패러데이 법칙의 저 (-)는 무엇을 의미할까?
이는 해설하지 않은 나머지 항목 '③자석이 코일에 들어갈 때와 나올 때 바늘의 움직이는 방향이 바뀜'과 관련되어 있는 내용이다.
2. 렌츠 법칙

운동하는 물체는 계속 운동하려고 하고, 정지한 물체는 계속 정지해있으려고 한다. 변화를 거부하는, 본래의 운동 상태를 유지하려는 성질인 '관성'은 전자기 현상에서도 유효하다.
자석의 N극이 코일에 가까이 오면 코일은 N극이 접근하는 것을 거부하기 위해 코일의 윗방향으로 나가는 자기장을 유도한다. 따라서 자석과 코일 간에 척력이 발생한다. 반대로 N극이 코일에서 멀어지면 코일은 그러한 변화를 거부하기 위해 코일의 윗방향으로 들어오는 자기장을 유도한다. 따라서 자석과 코일 간에 인력이 발생한다.
코일은 자석의 움직임을 방해하는 방향으로 자기장을 유도한다. 이 자기장을 만드는 정체는 유도 전류이다. 정리하면 자속의 변화가 만드는 유도 기전력의 방향은 그 자속의 변화를 방해하는 방향으로 생기게 되고 그 방향에 따라 유도 전류가 흐르게 된다. 이를 간결하게 (-)로 표현했고 이를 '렌츠 법칙'이라고 한다.

1. N극이 가까이 접근 → 이를 거부(척력 필요) → 유도 전류가 코일 윗방향으로 나가는 자기장(N극) 유도
2. N극이 멀어짐 → 이를 거부(인력 필요) → 유도 전류가 코일 윗방향에서 들어오는 자기장 (S극) 유도
3. S극이 가까이 접근 → 이를 거부(척력 필요) → 유도 전류가 코일 윗방향에서 들어오는 자기장(S극) 유도
4. S극이 멀어짐 → 이를 거부(인력 필요) → 유도 전류가 코일 윗방향으로 나가는 자기장 (N극) 유도
코일 근처에서 자석을 움직이면 코일에 생기는 유도 전류에 의해 자석은 운동 방향의 반대 방향으로 자기력을 받는다. 그로 인해 자석은 점점 느려진다. 자석의 운동 에너지는 감소하게 된다.

마찰이나 공기 저항을 무시했을 때 손실된 운동 에너지(빨간 막대)는 어떻게 됐을까? 자석의 움직임이 느려지는 대신 코일에 전류가 흐른다. 즉 자석의 운동 에너지 일부가 전자기 에너지로 전환된다.
만약에 코일이 자석의 움직임을 방해하지 않고 반대로 환영했다면 어땠을까? 자석이 더 빨리 움직이므로 운동 에너지는 전보다 증가하고, 자속의 변화에 의해 생긴 전자기 에너지까지 고려하여 에너지 총량이 증가하게 된다. 이는 에너지 보존 법칙을 위배하는 기현상이다.

이러한 기현상을 방지하기 위해 자연은 변화를 거부해야만 했다. 즉, '렌츠 법칙'은 '에너지 보존 법칙'을 전자기적 현상에 맞게 각색한 방식이다.
3. 도선이 움직이는 상황과 전자기력

자기장의 세기가 B로 균일한 공간에 ㄷ자형 도선이 있고 그 위에 놓인 직선 도선이 등속 운동하고 있는 상황이다. 이 경우는 패러데이의 실험 상황과 비교하면 고리를 통과하는 자속이 시간에 따라 변화한다는 점에서 유사하다. 그러나 엄밀히 따지면 이 상황은 전자기 유도가 아니다.
도선을 움직였을 때 전류가 흐르는 이유는 '전자기력' 때문이다. '전자기력'이란 전류가 형성하는 자기장과 외부 자기장이 상호작용하여 생긴 힘이다.


이처럼 전자기력을 활용하여 회전하는 힘을 얻는 기계, 전동기는 세탁기, 헤어드라이어, 진공청소기, 전기차 등 전기 에너지를 역학적 에너지로 전환하는 대부분의 장치에 이용된다.
다시 본론으로 돌아오자. 도선이 움직일 때 도선 내의 전자가 도선과 함께 운동함에 따라 자기장에 의한 전자기력을 받아 이동하게 됨에 따라 전류가 발생한다.

이처럼 회로를 움직였을 때 발생하는 기전력을 '운동 기전력'이라고 하고 이는 유도 기전력과는 다르다. 유도 기전력이 회로 내에 전기장을 만들어 전하를 이동시켰다면, 운동 기전력은 도선 내에 있는 자유 전하가 도선과 함께 운동함에 따라 자기장에 의한 전자기력을 받아 이동하기 때문이다.
그렇지만 이 현상을 자속의 변화에 따른 유도 전류 발생으로 보아도 큰 무리가 없다. 같은 결과가 나오기 때문이다. 도선이 오른쪽으로 움직이면 지면으로 들어가는 고리의 자속이 증가한다. 이를 방해하기 위해서 지면 앞으로 나오는 자기장이 유도되도록 고리의 전류는 반시계 방향으로 흐르게 된다. 따라서 도선의 윗방향으로 전류가 흐른다.

전류의 방향뿐만 아니라 전류의 크기마저도 '자속의 변화로 생긴 기전력'으로 결정된 값이라는 인과관계로 무리 없이 설명된다.

4. 전자기 유도의 활용
①하이브리드 차

②금속 탐지기

③교통 카드

④NFC

⑤마이크

⑥인덕션

⑦무선 충전

MRI 촬영 중 일어날 수 있는 화상
MRI 촬영 중 패러데이 법칙을 무시하면 환자가 심각한 화상을 입을 수 있다. 전선이 환자의 신체에 닿아 전류 고리가 형성되면 MRI 촬영 중 강하게 방출되는 자기장의 변화가 이 전류 고리에 기전력을 유도하고, 이때 전선을 흐르는 유도 전류는 열에너지로 변환된다. 이런 식으로 전선이 닿은 팔의 피부 부위가 화상을 입게 된다. MRI 관리자들은 탐침이 부착되는 한 군데 이외에는 모니터의 전선이 환자에게 닿지 않도록 철저히 교육받고 있다.

MRI 촬영 중 패러데이 법칙을 무시하면 환자가 심각한 화상을 입을 수 있다. 전선이 환자의 신체에 닿아 전류고리가 형성되면 MRI 촬영 중 강하게 방출되는 자기장의 변화가 이 전류고리에 기전력을 유도하고, 이때 전선을 흐르는 유도 전류는 열에너지로 변환된다. 이런 식으로 전선이 닿은 팔의 피부 부위가 화상을 입게 된다. MRI 관리자들은 탐침이 부착되는 한 군데 이외에는 모니터의 전선이 환자에게 닿지 않도록 철저히 교육받고 있다.
⑧발전기



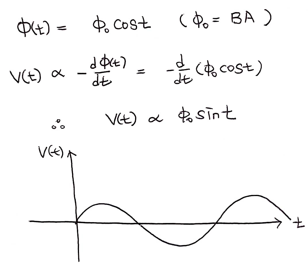
발전기의 구조는 전동기의 구조와 똑같다. 다만 전동기에서는 전기 에너지가 역학적 에너지로 전환되고, 그 원리는 '전자기력'이다. 이와 달리 발전기에서는 역학적 에너지가 전기 에너지로 전환된다는 것이고, 그 원리는 '전자기 유도'이다. 발전기에서 만들어지는 기전력을 살펴보자.


이처럼 발전기에서 생산되는 전압과 전류는 크기와 방향이 시간에 따라 주기적으로 변한다. 이러한 형태를 '교류'라고 한다. 이와 반대로 전류와 전압의 크기와 방향이 항상 고정되어 있는 형태를 '직류'라고 한다.


필요에 따라 교류를 직류로 변환해야할 때가 있는데, 이를 도와주는 장치가 바로 다이오드(pn접합)이다.
5. 기출문제 풀어보기
18년도 10월 학평 물리 1 2번/ 정답률 85%

답: 2번
14년도 7월 학평 물리1 11번/ 정답률 91%

답: 4번
13년도 10월 학평 물리1 8번/ 정답률 83%

답: 3번
15년도 수능 물리1 3번/ 정답률 60%

답: 2번
16년도 4월 학평 물리1 13번/ 정답률 67%

답: 1번
16년도 3월 학평 물리1 5번/ 정답률 66%

답: 5번
14년도 3월 학평 물리1 15번/ 정답률 52%

답: 1번
19년도 6월 모평 물리1 12번/ 정답률 65%

답: 3번
'2021 물리학I 톺아보기' 카테고리의 다른 글
| 파동의 굴절과 생각의 왜곡 (스넬의 법칙, 신기루) (0) | 2021.11.08 |
|---|---|
| 세상을 설명하는 다른 언어, 파동(진폭, 파장, 진동수, 매질) (72) | 2021.10.28 |
| 물질의 자성(상자성체, 반자성체, 강자성체) (1) | 2021.09.23 |
| 전류에 의한 자기 작용 (0) | 2021.09.07 |
| 반도체와 pn접합 (0) | 2021.08.26 |