해당 차시 학습지 파일
성취 기준
빛의 중첩과 간섭을 통해 빛의 파동성을 알고, 이를 이용한 기술과 현상을 예를 들어 설명할 수 있다.
물리학 전개도
판서 조직도

빛에 빛을 더해서 어둠을 만들어 낼 수 있다고 누가 상상할 수 있을까!
영의 평전을 쓴 프랑수아 아라고는 광학에 대한 영의 가장 유명한 공헌인 간섭의 법칙에 대해 다음과 같이 우아하게 묘사했습니다. "햇빛 속에서, 광명의 빛이 자유롭게 도달하는 지점에서 어둠을 발견하고 과연 놀라지 않을 사람이 있을까? 빛에 빛을 더해서 어둠을 만들어 낼 수 있다고 누가 상상할 수 있을까!"
빛이 어둠을 빚어낸다는 사실을 밝혀냈듯, 영은 냉담한 현실과 막막한 미래 속에서도 희망의 빛이 존재함을 증명해 냈습니다. 그의 드라마 같은 삶을 물리학으로 노래하는 시간입니다.
입자에 대비되는 파동

이전의 물리학은 질량과 전하, 입자에 대한 역학이었습니다. 입자는 그들이 가지고 있는 물리적 정보(=질량, 전하량, 운동량 등)를 에너지라는 그릇에 담아 힘을 매개로 전달합니다. 하지만 질량과 형태라는 입자적인 속성이 없는 무언가도 자신이 가지고 있는 정보를 에너지라는 그릇에 담아 전달할 수 있습니다. 그 무언가가 바로 파동입니다.
1. 파동의 간섭

마주 오는 입자끼리는 충돌하게 되면서 서로의 운동 정보(=운동량과 운동 에너지)에 영향을 주기 마련입니다. 하지만 파동의 경우에는 이와 다른 양상을 보입니다.
1) 파동의 성질
① 중첩

마주 오는 파동은 충돌하지 않고 중첩됩니다. 진폭이 yA인 파동 A과 진폭이 yB인 파동 B이 만나게 되면 진폭이 yA + yB인 파동이 되는데요. 이를 파동의 중첩이라 합니다.
진폭
진동 중심으로부터 매질의 최대 변위(= 마루 또는 골까지의 거리)
② 독립성


파동이 중첩될지라도 서로가 서로에게 영향을 주지 않기 때문에 원래 파동이 갖던 각각의 파장과 주기 그리고 진폭은 변하지 않아요. 따라서 각 파동은 자신의 속력을 유지한 채 다시 원래의 파형으로 돌아와서 각자 가던 길을 갑니다. 이처럼 파동은 독립적이에요.
이러한 파동의 성질, 중첩과 독립이 간섭이라는 파동만이 갖는 고유한 현상을 일으키는 원인입니다.
2) 간섭의 조건
① 위상차에 의한 간섭
파동이 중첩되면 원래 파동보다 진폭이 커지거나 작아집니다. 이에 따라 간섭은 두 종류로 구분돼요.

| 보강 간섭 | 상쇄 간섭 |
| 진동수와 파장이 같은 두 파동이 마루와 마루, 골과 골이 만나도록 중첩되어 합성파의 진폭이 커지는 현상 >두 파동이 같은 위상으로 중첩되는 경우 |
진동수와 파장이 같은 두 파동이 마루와 골, 골과 마루가 만나도록 중첩되어 합성파의 진폭이 줄어드는 현상 >두 파동이 반대 위상으로 중첩되는 경우 |
진폭과 위상의 차이
파동에는 진폭과 위상이라는 물리량이 있는데요. 얼핏 비슷한 개념 같지만 엄밀히 따지면 달라요. 진폭이란 진동 중심에서 마루 또는 골까지의 길이, 즉 공간 개념이고요. 위상이란 진동의 타이밍, 즉 시간 개념입니다.
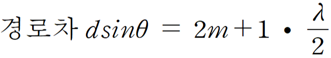
② 경로차에 의한 간섭


S2에서 p까지 빛이 한 파장 λ을 이동할 때, 위상이 같은 또 다른 빛이 S1에서 p까지 두 파장 2λ을 이동한다고 가정할게요. 이때 두 빛의 경로가 한 파장 λ만큼 차이가 나는데요. 이처럼 두 파동의 경로 차이 δ가 파장의 정수배(=반파장의 짝수배)에 해당되는 지점 p에선 두 파동이 같은 위상으로 만나기 때문에 보강 간섭이 일어납니다.


S2에서 p까지 빛이 한 파장 λ을 이동할 때, 위상이 같은 또 다른 빛이 S1에서 p까지 1.5 파장 1.5λ을 이동한다고 가정할게요. 이때 두 빛의 경로가 반 파장 λ/2만큼 차이가 나는데요. 이처럼 두 파동의 경로 차이 δ가 반파장의 홀수배에 해당되는 지점 p에선 두 파동이 반대 위상으로 만나기 때문에 상쇄 간섭이 일어납니다.
2. 빛의 간섭
천재 소년, 언어로 세상을 읽다.
영은 어렸을 때부터 비범한 능력을 드러냈습니다. 그는 두 살 때 글을 유창하게 읽었고, 네 살 무렵에는 성경을 처음부터 끝까지 두 차례 완독했대요. 이처럼 놀라울 정도로 언어에 능숙했던 영은, 10대 시절에 성경의 일부를 열세 개 언어로 번역했다고 합니다. 이러한 타고난 언어적 재능은 훗날 시각과 청각을 넘나들며 자연을 해석하는 독창적인 학문적 감각으로 이어졌습니다. 그 감각은 서로 다른 현상 속에서 공통된 원리를 찾으려는 시선으로 이어졌고, 훗날 이중 슬릿 실험에서 꽃을 피웁니다.
1) 영의 이중 슬릿 실험


https://www.youtube.com/watch?v=WTARZHyxDXc
빛과 소리, 다른 언어 속 같은 진실
영은 이중슬릿 실험에서 나타난 무늬를 관악기에서의 간섭 현상에 비유하며, 빛 또한 소리처럼 파동의 한 종류임을 주장했습니다. 그는 소리에서는 파동의 간섭이 청각적으로 드러나는 반면, 빛에서는 그 간섭이 시각적으로 드러난다고 본 거예요. 따라서 이 실험에서 나타난 밝고 어두운 무늬는 빛도 소리처럼 서로 간섭하는 파동임을 보여주는 중요한 사례로 해석되었습니다. 영은 런던의 베이커 강연에서 이러한 실험 결과와 논리를 발표해요. 그 내용을 살펴봅시다.
영은 이중 슬릿을 통과한 두 빛이 밝은 무늬와 어두운 무늬를 번갈아 만든다는 걸 관찰합니다. 밝은 무늬가 나타나는 곳은 두 빛이 보강 간섭을 일으킨 지점이고, 어두운 무늬가 나타난 곳은 두 빛이 상쇄 간섭을 일으킨 지점입니다.

스크린의 한 지점 P는 중앙의 밝은 무늬로부터 두 번째 밝은 무늬가 생기는 곳입니다. 그리고 θ는 슬릿에서 스크린 중심 O을 향하는 기준선과 슬릿에서 P로 가는 선 사이에 끼인 각입니다. 즉, 기준선에서 얼마나 기울어져 있는지를 나타내는 각도예요. 이때 S1과 S2에서 스크린의 P까지 이동하는 두 빛의 경로 차이는 dsinθ로 근사됩니다.
① 중앙에 밝은 무늬가 생기는 이유
S1과 S2에서 출발한 두 빛이 스크린의 O까지 이동하는 거리가 같기 때문에 두 빛의 경로차는 0이 됩니다. 이는 차수 m이 0일 때의 보강 간섭 조건을 만족시키는 상황이기에, 스크린의 중앙에서는 밝은 무늬가 생깁니다.
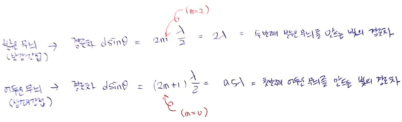
② 차수 m으로 두 빛의 경로차를 찾기
S1과 S2에서 스크린 상의 임의의 지점까지 두 빛의 이동 경로 차에 따라 간섭의 종류가 결정됩니다. 같은 위상의 두 파동의 이동 경로차가 반파장의 짝수 배인 지점에서는 보강 간섭이 나타나고, 반파장의 홀수 배인 지점에서는 상쇄 간섭이 나타납니다.
n번째 밝은(or 어두운) 무늬와 차수 m의 관계
| 밝은 무늬(보강 간섭) 차수 m | 어두운 무늬(상쇄 간섭) 차수 m |
| m=0 (중앙 밝은 무늬) | m=0 (첫 번째 어두운 무늬) - 중앙 밝은 무늬에 바로 이웃함 |
| m=1 (첫 번째 밝은 무늬) | m=1 (두 번째 어두운 무늬) |
| m=2 (두 번째 밝은 무늬) | m=2 (세 번째 어두운 무늬) |

두 번째 밝은 무늬의 차수 m은 2입니다. 따라서 두 빛의 경로차 dsinθ는 2λ예요.
첫 번째 어두운 무늬의 차수 m은 0입니다. 따라서 두 빛의 경로차 dsinθ는 0.5λ예요.

③ 이웃한 무늬 사이의 간격


가상 실험으로 확인하는 이웃한 무늬 사이의 간격
https://javalab.org/youngs_double_slit/
영의 이중 슬릿 - 자바실험실
슬릿들의 간격과 위치를 조절할 수 있습니다. 영의 이중 슬릿 실험 Young의 간섭 실험은 다음과 같습니다. 스크린 A의 작은 구멍 S 0 에서 회절된 빛이 스크린 B에 있는 작은 구멍 S 1 과 S 2 를 지나
javalab.org
2) 빛의 간섭 사례
① 보강 간섭
ⓐ 비누막


비누막의 무지갯빛은 빛이 간섭하여 나타나는 현상입니다. 비누 막의 겉면에서 반사된 빛과 안쪽 면에서 반사된 빛이 간섭하게 되는데, 막의 두께와 보는 각도에 따라 두 빛의 경로차가 달라지므로 보강 간섭하는 빛의 색깔도 달라지게 돼요.
ⓑ 지폐의 홀로그램

지폐를 어떤 각도로 보냐에 따라 잉크에서 반사되는 두 빛의 경로차가 바뀝니다. 어떻게 보냐에 따라 숫자가 노란색으로 보이기도 하고(≒노란빛의 파장이 보강 간섭을 일으키는 경로차가 되어서) 초록색으로 보이기도 합니다.(≒초록빛의 파장이 보강 간섭을 일으키는 경로차가 되어서)
ⓒ 모르포 나비의 날개


모르포 나비의 푸른빛은 어느 염료로도 구현할 수 없습니다. 이는 빛의 간섭으로 인한 색깔이기 때문이죠. 모르포 나비의 날개는 얇은 막들이 여러 겹으로 쌓여 있는 구조로 되어 있습니다. 이 격자 구조에서 빛들이 보강 간섭한 결과, 나비 날개를 보는 각도에 따라 푸른빛의 명도와 채도가 바뀌게 됩니다.
모르포 나비의 날개 구조를 차용한 분광기


과학자들은 모르포 나비에서 얻은 아이디어를 통해 빛을 파장별로 분리하는 분광기를 발명했습니다. 여러 파장이 섞인 빛을 분광기에 통과시키면 빛의 파장과 보는 각도에 따라 보강 간섭 조건이 달라지므로, 빛이 분리되어 보입니다.
ⓓ 카멜레온의 변색

카멜레온의 변색은 격자 구조와 같은 피부 세포에서 빛이 간섭을 하기 때문에 나타나는 현상입니다. 피부 세포의 간격은 혈압과 근육의 긴장과 같은 생리적 요소를 통해서 조절된다고 합니다. 이러한 변색을 통해 카멜레온은 위장은 물론 동료끼리 커뮤니케이션까지 할 수 있다고 합니다.
② 상쇄 간섭

코팅재의 바깥쪽 면에서 반사된 빛과 안쪽 면에서 반사된 빛의 경로차를 상쇄 간섭이 일어나는 두께로 코팅재를 맞춰 제작하면 무반사 안경을 만들 수 있습니다.
어둠 안의 빛
런던의 베이커 강연에서 영은 이중 슬릿 실험을 근거로 선언합니다. “빛도 소리처럼 간섭한다. 빛은 입자가 아니라 파동이다!” 그러나 당시 과학계를 지배하던 것은 뉴턴의 입자설이었어요. 그의 주장은 받아들여지지 않았고, 강연장에는 박수 대신 차가운 침묵이 흘렀습니다. 결국 영은 광학 연구를 내려놓고 다시 의학으로 돌아가게 돼요.
영이 마주한 현실은 어둠과 같았습니다. 그러나 그의 실험이 보여주었듯, 어둠은 그저 어둠이 아닌, 밝은 빛들이 서로 만나 만들어 낸 간섭의 흔적이었어요. 바로 프레넬이 영의 이론에 드리워졌던 어둠 속에서 그 빛을 밝혀냈습니다. 이후 이어진 연구를 통해 영의 이론은 19세기 광학을 세운 기념비적인 발견으로 자리 잡게 돼요.
빛 - H.O.T
https://www.youtube.com/watch?v=cZrh4mRr-Ig&list=RDcZrh4mRr-Ig&start_radio=1
우리의 삶도 이와 비슷할지 모릅니다. 세상이 어둠처럼 느껴질 때가 있더라도, 그 속에는 아직 보이지 않는 질서와 가능성이 숨어 있을지 모릅니다. 어둠에 둘러싸인 세상이 우리를 가로막고 있다고 해도, 우리는 다시 시작할 수 있는 굳은 용기를 가질 수 있어요. 결국 중요한 것은 어둠 속에서도 빛을 발견할 수 있는 우리의 시선일지 모릅니다. H.O.T의 빛을 들으며, 오늘도 물리를 통해 인생을 배웁니다.
'2026 물리학' 카테고리의 다른 글
| 빛과 물질의 이중성 ① {광전효과} (1) | 2026.03.20 |
|---|---|
| 빛의 파동적 성질 ② {빛의 굴절과 포토 리소그래피} (1) | 2026.03.17 |
| 전자기 유도와 전자기파 (3) | 2026.03.05 |
| 물질의 자성 (1) | 2026.03.05 |
| 물리학 프리뷰 (1) | 2026.03.02 |