2024.11.23 - [2024 물리학I 톺아보기] - 빛과 물질의 이중성 ① {광전효과}
빛과 물질의 이중성 ① {광전효과}
2024.11.17 - [2024 물리학I 톺아보기] - 빛의 파동적 성질 ② {간섭} 빛의 파동적 성질 ② {간섭}2024.11.11 - [2024 물리학I 톺아보기] - 빛의 파동적 성질 ① {스넬의 법칙, 전반사, 광통신} 빛의 파동적 성
gooseskin.tistory.com
물리학Ⅰ 전개도

판서 조직도
목표 기출 문제
23년도 수능 물리학1 4번

답: 2번
1905년에 아인슈타인이 마지막으로 출판한 네 번째 논문에는 유명한 식이 등장합니다. 문제는 질량이 0인 빛이에요.

식의 첫 번째 항이 0이 되고, 뉴턴역학에서의 운동량 p은 움직이는 물체의 질량 m과 속도 v의 곱으로 정의되기에 두 번째 항도 0이 됩니다. 따라서 빛의 에너지 E는 0이 돼요. 그러나 빛은 c라는 속력으로 끊임없이 움직이는 에너지 덩어리임이 자명합니다. 따라서 에너지와 운동량이란 속성은 여전히 남아있습니다. 이러한 모순은 질량 에너지 등가 원리로 해결할 수 있는데요. 이에 따르면 질량은 더 이상 물질적인 것에 불과하지 않은 에너지의 한 형태이며 질량과 에너지는 서로 전환될 수 있습니다. 다시 말해 빛은 질량이 없어도 c라는 속력으로 끊임없이 움직이는 에너지 덩어리이며 그 에너지의 크기 E는 pc입니다. 그렇다면 빛의 운동량 p는 어떻게 정의해야 할까요?

다른 한편으로 광양자론은 빛 알갱이가 갖고 있는 에너지를 E=hf으로 표시해 주었습니다. 그렇다면 빛의 에너지를 표현하는 데는 두 가지 방식이 존재한다는 결론에 도달합니다.
E = pc 와 E = hf
만약 두 식이 동일한 빛 알갱이의 속성을 표현하는 서로 다른 방식에 불과하다면 어떤 일이 생길까요? 당연히 두 식은 동등해야 합니다. 여기서 마침 양변에 공통으로 등장하는 빛의 속력 c를 소거하고 나면 p=h/λ라는 관계가 남습니다.

가만히 생각해보면 이 식의 의미가 조금 알쏭달쏭합니다. 운동량은 뉴턴역학 이후로 줄곧 입자의 전형적인 속성으로 알려져 있었어요. 반면 파장은 파동의 전형적인 속성이었고요. 빛 알갱이에는 이 두 가지 속성이 공존합니다. 파동인 줄 알았던 빛에는 입자의 속성, 즉 운동량도 있습니다. 그 두 속성은 플랑크 상수를 통해 서로 연결된, 사실은 동일한 입자의 속성을 표현하는 서로 다른 언어일 뿐이었죠. 빛의 파장값을 토대로 빛의 운동량을 알 수 있게 됐습니다. 그렇다면 반대로 어떤 운동량을 갖는 입자에는 그에 해당하는 파장이란 파동적 속성이 있지 않을까란 생각을 할 수 있지 않았을까요? 그 장본인이 바로 드브로이입니다.
2. 물질의 파동적인 성질, 물질파
1) 드브로이 관계식


드브로이는 자연의 대칭성에 입각하여 다음과 같은 주장을 합니다. "전하가 만들어낸 빛이 이중성을 전제한다면, 그의 모체인 전하 역시 입자이기도 하면서 파동이지 않을까?" 이에 드브로이는 전자를 비롯한 입자들 역시 에너지와 운동량을 파동의 형태로 전달할 수 있음에 착안하여 입자의 파동적 성질, 물질파를 정의합니다.

드브로이 관계식은 입자의 운동량 P와 입자의 물질파 파장 λ의 대응 관계를 가정한 것입니다. 오해하지 마세요. 물질이 파동처럼 넘실넘실 거린다기보다는 파장 λ만큼의 파동적 성질(=굴절 및 간섭)을 보여주겠거니 생각해야 합니다.
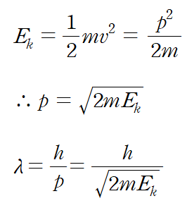
운동에너지로 표현하는 드브로이 관계식

2) 입자의 파동성이 관찰되다.
① 전자의 회절

물질파의 존재에 대한 드브로이의 예측은 3년 후 실험으로 검증됩니다. 전자와 양성자, 중성자 심지어 전자보다 50만 배나 무겁고 복잡한 요오드 분자를 이용한 실험에서도 입자들이 파동만이 갖는 특성인 회절 무늬를 보였거든요.
파동의 회절
회절 역시 파동만의 고유한 특성입니다. 사실 회절은 간섭의 일부로써 서로 다른 두 파동의 간섭이 아닌 자기 자신과의 간섭에 의해 나타나는 현상이에요.
② 이중 슬릿에서 전자의 간섭 무늬
음극선은 전자의 흐름입니다. 정지해 있던 바람개비가 돌아가는 이유는 전자가 바람개비와 충돌하여 운동량을 전달하기 때문이죠. 이 현상은 전자가 질량을 가진 입자임을 입증합니다.



그러나 전자가 마냥 입자이기만 했다면 이중 슬릿을 통과한 전자는 스크린 상에 두 군데에만 도달했을 거예요. 하지만 실험 결과, 전자의 양이 많은 지점과 적은 지점이 번갈아 나타나는 소위 간섭무늬가 스크린에 나타납니다. 이는 전자가 파동처럼 행동했다고 봐야 설명이 되죠. 즉 전자는 파동적인 성질을 갖습니다.
간섭 무늬 간의 간격

드브로이 관계식으로 정의한 λ값을 이용해 예측한 전자 간섭 무늬 간의 간격(△x)은 소름 돋을 정도로 실제 관측값과 똑같습니다. 이를 통해 드브로이의 물질파 이론은 힘을 얻게 되었어요.
물질의 이중성
빛이 이중적이듯 물질 또한 이중적이라서 물질 역시 어떤 때에 파동처럼 어떤 때에 입자처럼 행동합니다. 우리의 거시 세계에서는 물질의 파동성을 관찰하기 어렵죠. 그 이유는 드브로이 관계식으로 설명할 수 있습니다.


플랑크 상수 h가 워낙에 작다 보니 분모의 질량이 너무 커져버리면 물질파 파장이 0으로 수렴하여 물질의 파동성을 논하는 게 의미 없어집니다. 다시 말해 전자는 일종의 물질파이며 자기 자신과 간섭을 하지만 우리는 물질파가 아니며 자기 자신과 간섭을 할 수가 없습니다.
3) 물질파의 활용, 전자 현미경
① 현미경의 성능, 분해능

서로 떨어져 있는 물체를 구별하여 볼 수 있는 능력이 우수해야 현미경의 성능이 좋다고 말할 수 있습니다. 이러한 현미경의 성능을 분해능이라 하며 분해능이 좋을수록 미세한 물체까지 선명하게 볼 수 있어요. 현미경의 분해능은 렌즈의 크기가 클수록, 사용하는 파동의 파장이 짧을수록 좋아집니다.

빨간빛보다 파란빛으로 보았을 때 두 상이 잘 분리되어 보입니다. 이는 빨간빛보다 파란빛의 분해능이 우수하기 때문이에요. 이처럼 분해능은 파동의 파장이 짧을수록 좋아집니다. 따라서 광학 현미경으로 볼 수 없는 미시 세계, 가령 바이러스 등을 관찰하려면 가시광선보다 파장이 짧은 파동이 필요해요. 투박한 장갑을 낀 손으로 나뭇잎 표면의 미세한 돌기를 느낄 수 없는 것과 같죠. 가시광선보다 짧은 파동은 자외선이나 X선, 감마선 등이 있지만 이들은 세포를 파괴할 정도로 반응성이 좋기 때문에 살아있는 무언가를 관찰하는 데 부적합해요. 따라서 그 적임자는 전자의 물질파입니다. 전자의 속력을 조절하면 수 nm 수준의 좋은 분해능을 가질 수 있습니다.
② 광학 현미경과 전자 현미경의 원리

정리하면 E=pc와 E=hf 사이에 등가성이 성립되면서 입자의 파동적인 성질이 밝혀지게 되었고, 이로 인해 미시 입자의 확률적 거동을 설명하는 양자 역학의 발전이 비롯되었습니다. 양자 역학은 상대성 이론과 함께 20세기에 들어 이룩된 현대 물리학의 큰 토대입니다. 양자 역학과 상대성 이론은 우리의 감각을 넘어서는 시공간에 대한 이해를 도와주기도 했지만 거시 우주와 미시 세계의 실체에 대한 우리의 이해를 더욱 낯선 것, Alien thing으로 만들었습니다. 20세기 과학의 부적이라 할 수 있는 상대성 이론과 양자 역학은 인간에게는 다소 Alien하지만 이들은 우주의 설계도와도 같아서 외계인, Alien들도 알 수 있는 진리입니다.
Alien - 이수현
https://www.youtube.com/watch?v=UrsMx7Q_9IE
가끔 잘하고 있다가도 모든 것들이 낯설어질 때가 있습니다. 미래가 막연하기 때문이죠. 미래의 막연함은 인간의 마음에는 필연적으로 낯선 것이라서 그 필연적인 불안함에 방해받을 필요는 없어요. 미래는 아직 오지 않은, 본디 뜬구름 같은 시간입니다. 미래가 불확실하기에 내가 뭘 잘하고 있다 하더라도 낯설고 불안할 수밖에요. 그 불안함의 떨림을 아직 오지 않은 미래에 대한 설렘의 두근거림으로 승화시키는 특별한 힘은 여러분 안에 내재돼 있음을 기억하세요. 오늘도 물리를 통해 인생을 배웁니다.
도전 기출 문제
21년도 6월 모평 물리학 1 4번

답: 2번
'2024 물리학I 톺아보기' 카테고리의 다른 글
| 2024 물리학 I 에필로그 ② (9) | 2024.12.10 |
|---|---|
| 2024 물리학 I 에필로그 ① (2) | 2024.11.27 |
| 빛과 물질의 이중성 ① {광전효과} (2) | 2024.11.23 |
| 빛의 파동적 성질 ② {간섭} (1) | 2024.11.18 |
| 빛의 파동적 성질 ① {스넬의 법칙, 전반사, 광통신} (3) | 2024.11.12 |