2024.02.20 - [2024 물리학I 톺아보기] - 운동의 표현과 종류 {변위, 속도, 가속도}
운동의 표현과 종류 {변위, 속도, 가속도}
물리학Ⅰ 전개도 판서 조직도 목표 기출 문제 19년도 9월 학평 물리1(고2) 1번 답: 4번 22년도 9월 모평 물리학1 1번 답: 1번 1. 운동의 표현 1) 변위와 이동거리 변위와 이동거리는 위치의 변화를 담고
gooseskin.tistory.com
판서 조직도

목표 기출 문제
17년도 9월 모평 물리1 3번

답: 3번
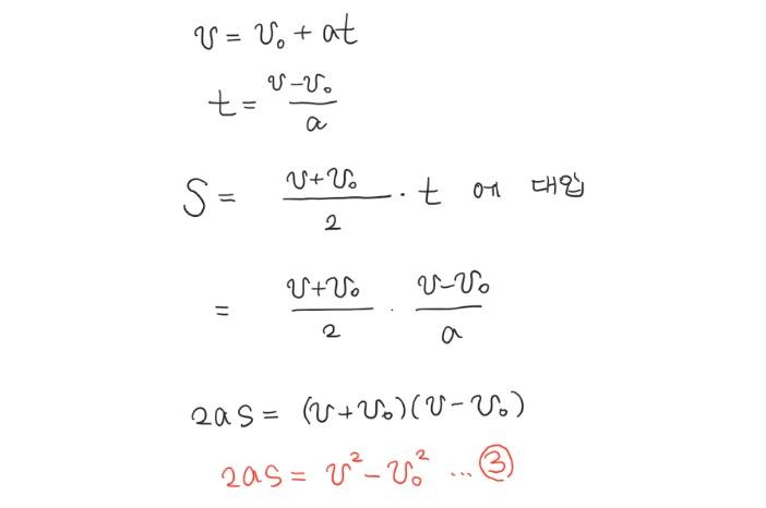
1. 등가속도 직선 운동의 세 가지 공식
1) 가속도의 정의를 이용한 첫 번째 공식

2) 시간-속도 그래프를 이용한 두 번째 공식

3) 연립방정식을 이용한 세 번째 공식

등가속도 직선 운동하는 물체의 그래프
① 가속도의 방향과 운동 방향이 같은 경우
등가속도 직선 운동하는 물체의 운동 방향과 가속도 방향이 오른쪽으로 동일한 상황입니다.

가속도가 양의 값으로 일정하기 때문에 시간-가속도 그래프는 상수 함수 형태입니다.

속도 v는 시간 t에 정비례하여 증가합니다.(=등가속도 직선 운동 첫 번째 공식) 시간-속도 그래프의 기울기(=가속도)는 일정합니다.

변위 s는 t의 제곱에 비례하여 증가합니다.(=등가속도 직선 운동 두 번째 공식) 시간-위치 그래프의 기울기(=속도)는 점점 가팔라지고(=속도 증가) 있습니다.
② 가속도의 방향과 운동 방향이 반대인 경우
등가속도 직선 운동하는 물체의 운동 방향과 가속도 방향이 반대인 경우로 물체가 t=0일 때 v라는 속도로 오른쪽으로 움직이고 있는 상황입니다.

가속도가 음의 값으로 일정하기 때문에 시간-가속도 그래프는 상수 함수 형태입니다.

속도 v는 감소하다가 정지하고 그 후에 음의 방향으로 점점 빨라지는 등 속도 변화가 다채롭지만, 시간에 따른 속도 변화는 일정합니다. 그 이유는 시간-속도 그래프의 기울기(=가속도)가 일정하기 때문이죠.

시간-위치 그래프의 기울기(=속도)는 완만해지다가(=감소) 0이 된 이후부터 다시 가팔라집니다.(=증가)
그래프에서 운동 방향과 힘의 방향이 바뀌는 지점 찾기



속도의 부호가 바뀌는 지점에서 운동 방향이 바뀌고, 가속도의 부호가 바뀌는 지점에서 힘의 방향이 바뀝니다.
2. 등가속도 직선 운동하는 물체의 평균 속도



Ordinary people - SG 워너비
https://www.youtube.com/watch?v=Nd5ocGArACE
세상 사람들 똑같은 얼굴하고
같은 꿈을 향해 외로운 길을 걷지

새 학기가 시작되면 대부분은 작년과는 다른 한 해를 보내겠다는 결연의 의지를 품게 됩니다. 하지만 쌓여가는 시간에 반비례하여 떨어져 나가는 의지와 체력에 흐지부지해지다가 연말이 되고 나서야 시간이 벌써 이렇게 갔냐며 스스로를 책망했던 적이 많았을 거예요. 거창한 미래, 그렇지 못한 지금의 초라함에 괜히 마음만 조급해져 되도록 빨리 이상향에 당도하고 싶지만, 인생은 그렇게 호락호락하지 않습니다. 올 한 해는 처음(v0)과 나중(v)에만 포커스를 맞추지 말고, 시간(t)과 꾸준함(a)의 중요성을 항시 상기했으면 좋겠습니다. 처음(v0)이 아무리 비루할지라도 꾸준함(a)을 유지한 채 시간을 공들인다면(t) 괄목할만한 나중(v)을 마주할 수 있어요. 그게 평균적인 사람들의 성공 방식입니다. 오늘도 물리를 통해 인생을 배웁니다.
도전 기출 문제
19년도 수능 물리1 11번

답: 5번
'2024 물리학I 톺아보기' 카테고리의 다른 글
| 운동 방정식 (5) | 2024.03.15 |
|---|---|
| 뉴턴 운동 법칙 ② {운동 3법칙, 힘의 평형} (1) | 2024.03.14 |
| 뉴턴 운동 법칙 ① {운동 1, 2법칙} (1) | 2024.03.12 |
| 운동의 표현과 종류 {변위, 속도, 가속도} (4) | 2024.03.07 |
| 2024 물리학 Ⅰ 프리뷰 (1) | 2024.02.29 |