본문 바로가기
2023 물리학I 톺아보기

빛과 물질의 이중성 ② {물질파, 전자현미경}

by 사이언스토리텔러 2023. 11. 21.
728x90
반응형
728x170

2023.11.20 - [2023 물리학I 톺아보기] - 빛과 물질의 이중성 ① {광전효과}

 

빛과 물질의 이중성 ① {광전효과}

2023.11.08 - [2023 물리학I 톺아보기] - 빛의 파동적 성질 ② {빛의 간섭} 빛의 파동적 성질 ② {빛의 간섭} 2023.11.07 - [2023 물리학I 톺아보기] - 빛의 파동적 성질 ① {스넬의 법칙, 전반사, 광통신} 빛의

gooseskin.tistory.com

 

물리학Ⅰ 전개도

 

판서 조직도

 

목표 기출 문제

 

23년도 수능 물리학1 4번

답: 2번

 

2. 물질의 파동적인 성질, 물질파

 

빛은 전자기 진동으로 발생하기 때문에 태생적으로 파동이지만 동시에 입자이기도 한, 이중적인 무언가입니다. 어쩌면 빛이 입자성을 갖게 된 건 빛이 '전하'라는 입자의 운동에서 비롯된 전자기적 현상이어서 아닐까요? 입자의 운동에 의해 충돌이라는 입자적 성질이 발현되는 것처럼요.

 

1) 드브로이 관계식

 

드브로이

 

드브로이는 다음과 같은 대칭성을 눈여겨봅니다.

"전하가 만들어낸 빛이 이중성을 전제한다면, 그의 모체인 전하 역시 입자이기도 하면서 파동이지 않을까?"

 

이에 드브로이는 전자를 비롯한 입자들 역시 에너지와 운동량을 파동의 형태로 전달할 수 있음에 착안하여 입자의 파동적 성질, 물질파를 정의합니다.

 

 

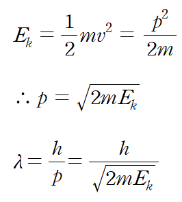
드브로이 관계식은 입자의 운동량 P와 입자의 물질파 파장 λ의 대응 관계를 가정한 것입니다. 오해하지 마세요. 물질이 파동처럼 넘실넘실 거린다기보다는 파장 λ만큼의 파동적 성질(굴절 및 간섭)을 보여주겠거니 생각해야 합니다.

 

운동에너지로 표현하는 드브로이 관계식

 

2) 입자의 파동성이 관찰되다.

 

①전자의 회절

 

회절 무늬

 

물질파의 존재에 대한 드브로이의 예측은 3년 후 실험으로 검증됩니다. 전자와 양성자, 중성자 심지어 전자보다 50만 배나 무겁고 복잡한 요오드 분자를 이용한 실험에서도 입자들이 파동만이 갖는 특성인 회절 무늬를 보였거든요

 

파동의 회절

회절 역시 파동만의 고유한 특성입니다. 사실 회절은 간섭의 일부로써 서로 다른 두 파동의 간섭이 아닌 자기 자신과의 간섭에 의해 나타나는 현상이에요.


 

②이중 슬릿에서 전자의 간섭 무늬

 

youtu.be/vqrDcBY3AOk?t=115

 

음극선은 전자의 흐름입니다. 정지해 있던 바람개비가 돌아가는 이유는 전자가 바람개비와 충돌하여 운동량을 전달하기 때문이죠. 이 현상은 전자가 질량을 가진 입자임을 입증합니다.

 

 

그러나 전자가 마냥 입자이기만 했다면 이중 슬릿을 통과한 전자는 스크린 상에 두 군데에만 도달했을 거예요. 하지만 실험 결과, 전자의 양이 많은 지점과 적은 지점이 번갈아 나타나는 소위 간섭무늬가 스크린에 나타납니다. 이는 전자가 파동처럼 행동했다고 봐야 설명이 되죠. 즉 전자는 파동적인 성질을 갖습니다.

 

간섭 무늬 간의 간격

 

 

드브로이 관계식으로 정의한  λ값을 이용해 예측한 전자 간섭 무늬 간의 간격(△x)은 소름 돋을 정도로 실제 관측값과 똑같습니다. 이를 통해 드브로이의  물질파 이론은 힘을 얻게 되었어요.

 

행복 - 레드벨벳

 

https://www.youtube.com/watch?v=TAKj99QaxS8

 

 

 

youtu.be/OsliqfGWZzs

 

미시 양자 세계는 참 기묘합니다. 전자는 슬릿을 통과하여 스크린으로 가기까지 파동처럼 행동하다가 도착하여선 스크린과 입자적인 상호작용을 합니다. 이처럼 미시 양자 세계에선 입자인지 파동인지의 정체성이 불분명해요. 더 기묘한 건 마치 '관찰'이라는 행위를 의식하는 것 마냥 행동하는 미시 양자의 행동 패턴이에요. 즉, 전자의 정체성은 보려는 의지만으로도 결정됩니다.

 

우리는 세포로 이루어져 있고, 세포는 원자로, 원자는 원자핵과 전자를 비롯한 미시 양자로 이루어져 있습니다. 즉, 우리는 미시 양자로 이루어진 집합체예요. 미시 양자의 정체성 결정에 관찰이라는 행위가 큰 기여를 했다면, 그런 미시 양자로 이루어진 우리에게 '관찰'이라는 행위는 얼마나 큰 영향을 미칠까요?

 

행복하게 사는 방법

 

 

숲 속에 사는 한 강아지가 슬픔에 잠겨 있었어요. 하루는 우연히 거울의 집에 들어섰습니다. 그런데 이게 웬일입니까!  사방에서 슬픈 강아지들이 자신을 바라보고 있었습니다. "세상은 오로지 슬픔으로 가득한 곳이로구나!" 강아지는 아까보다 더욱 슬픈 얼굴로 어깨를 축 늘어뜨린 채 거울의 집을 나섰ㅅㅂ니다.

 

숲 속에 사는 두 번째 강아지는 세상에 대한 분노와 좌절로 가득 차있었어요. 하루는 우연히 거울의 집에 들어섰습니다. 그런데 이게 웬일입니까!  사방에서 분노와 좌절로 가득한 강아지들이 자신을 노려보고 있었습니다. "왜 나를 째려보고 있는 거야?" 강아지는 화가 치솟아 거울 속의 강아지들을 쏘아보았습니다. 그러자 거울 속의 강아지들도 지지 않고 더욱 화난 표정을 지었습니다. 강아지는 아까보다 더욱 분노에 가득한 얼굴로 거울의 집을 뛰쳐나왔ㅅㅂ니다.

 

숲 속에 사는 세 번째 강아지는 기쁨으로 가득 차 있었어요. 신이 나서 꼬리를 흔들며 거울의 집에 들어섰습니다. 그런데 이게 웬일입니까! 사방에서 수백 마리의 강아지들이 꼬리를 흔들며 자신을 반기고 있었습니다. "세상은 오로지 기쁨으로 가득한 곳이로구나!" 강아지는 자신이 세상에 태어난 것 자체가 축복이라고 생각했습니다. 자신을 반겨주는 강아지들이 가득하니 아무 걱정도 없었습니다. 아까보다 더욱 행복한 표정으로 거울의 집을 나섰습니다.

 

여기서 강아지는 누구일까요? 바로 나 자신입니다. 그리고 거울의 집은 바로 내 눈앞의 현실이고요.

내가 마음속에서 보는 모든 것들은 어김없이 내 눈앞의 현실로 투사됩니다.

행복은 환경, 운, 머리가 아니라 상황을 바라보는 시각으로 결정됩니다.

내게 주어진 상황을 항상 감사한 마음으로 바라본다면 내 인생은 정말로 행복한 일로만 가득 차게 돼요.

 

당신은 오늘 하루 어떤 이미지로 머릿속을 채우고 살아갈 것인가?

 

물질의 이중성

 

빛이 이중적이듯 물질 또한 이중적이라서 물질 역시 어떤 때에 파동처럼 어떤 때에 입자처럼 행동합니다. 

우리의 거시 세계에서는 물질의 파동성을 관찰하기 어렵죠. 그 이유는 드브로이 관계식으로 설명할 수 있습니다.

 

 

 

플랑크 상수 h가 워낙에 작다 보니 분모의 질량이 너무 커져버리면 물질파 파장이 0으로 수렴하여 물질의 파동성을 논하는 게 의미 없어집니다. 다시 말해 전자는 일종의 물질파이며 자기 자신과 간섭을 하지만 고양이는 물질파가 아니며 자기 자신과 간섭을 할 수가 없습니다.

 

 

거시세계에 속한 물질은 입자성을, 미시세계의 물질은 파동성을 띤다? 그렇다면 무엇을 기준으로 미시세계와 거시세계를 나누는 걸까요? 이 세계들의 중간에 높은 벽 같은 게 있는 걸까요? 

 

 

슈뢰딩거는 사유 실험을 통해, 거시 세계와 미시 세계의 중간에 놓인 벽 같은 것은 없으며, 미시 세계의 문제가 거시 세계에까지 영향을 미칠 수 있음을 피력합니다.

 

슈뢰딩거의 고양이

 

 

상자에 고양이, 독가스가 담긴 유리병, 알파 입자 가속기를 넣습니다. 알파 입자 가속기는 정확히 1시간 후에 50%의 확률로 알파 입자를 방출합니다. 경우의 수는 두 가지예요. 첫째, 1시간 후에 알파 입자가 방출되고 독가스 유리병이 깨지면 고양이는 죽을 것입니다. 둘째, 1시간 후에 알파 입자가 방출되지 않고 독가스 유리병이 깨지지 않으면 고양이는 죽지 않을 것입니다. 당신은 1시간 후에 천천히 뚜껑을 열어볼 예정입니다.

 

문제는 뚜껑을 열어보기 바로 직전입니다. 고양이는 어떤 상태일까요? 의례적인 대답은 이렇죠. "고양이는 죽어 있거나 혹은 살아 있을 것이다. 관찰자가 확인을 하든 하지 않든 고양이의 운명은 바뀌지 않는다." 그러나 슈뢰딩거는 이렇게 대답합니다. "고양이는 죽은 것도 아니고 살아 있는 것도 아닌 중첩된 상태로 존재한다."

 

 

 

이렇게 대답한 까닭은 알파 입자 때문입니다. 알파 입자는 미시적 존재이고, 미시적 존재는 관찰자의 관찰 여부에 따라서 상태가 결정되거든요. 관측하기 전까지는 확률적으로 중첩되어 있는 파동으로 존재할 뿐입니다.

 

이러한 슈뢰딩거의 대답은 바보 같아 보이지만, 오늘날의 과학은 그의 손을 들어주고 있습니다. 슈뢰딩거의 양자역학은 역사상 가장 성공적인 물리 이론이고, 양자역학의 여러 방정식에서 도출되는 예측들은 놀랍도록 정확한 값으로 들어맞습니다. 그렇기에 납득이 안 되더라고 어쩔 수 없어요. 이러한 상황을 잘 보여주는 멋진 말이 있는데요. 한 대학의 양자 물리학자가 한 명언입니다.

 

"입 닥치고 그냥 계산이나 해!"

 

3) 물질파의 활용, 전자 현미경

 

①현미경의 성능, 분해능

 

(좌)낮은 분해능 (우)높은 분해능

 

로 떨어져 있는 물체를 구별하여 볼 수 있는 능력이 우수해야 현미경의 성능이 좋다고 말할 수 있습니다.  이러한 현미경의 성능을 '분해능'이라 하며 분해능이 좋을수록 미세한 물체까지 선명하게 볼 수 있어요. 현미경의 분해능은 렌즈의 크기가 클수록, 사용하는 파동의 파장이 짧을수록 좋아집니다.

 

 

빨간빛보다 파란빛으로 보았을 때 두 상이 잘 분리되어 보입니다. 이는 빨간빛보다 파란빛의 분해능이 우수하기 때문이에요. 이처럼 분해능은 파동의 파장이 짧을수록 좋아집니다. 따라서 광학 현미경으로 볼 수 없는 미시 세계, 가령 바이러스 등을 관찰하려면 가시광선보다 파장이 짧은 파동이 필요해요. 투박한 장갑을 낀 손으로 나뭇잎 표면의 미세한 돌기를 느낄 수 없는 것과 같죠. 가시광선보다 짧은 파동은 자외선이나 X선, 감마선 등이 있지만 이들은 세포를 파괴할 정도로 반응성이 좋기 때문에 살아있는 무언가를 관찰하는 데 부적합해요. 따라서 그 적임자는 전자의 물질파입니다. 전자의 속력을 조절하면 수 nm 수준의 좋은 분해능을 가질 수 있습니다.

 

②광학 현미경과 전자 현미경의 원리

 

도전 기출 문제

 

21년도 6월 모평 물리학 1 4번

답: 2번

 

반응형
그리드형