2021.11.10 - [2021 물리학1] - 전반사와 광통신
전반사와 광통신
2021.11.08 - [2021 물리학1] - 파동의 굴절과 생각의 왜곡 (스넬의 법칙, 신기루) 파동의 굴절과 생각의 왜곡 (스넬의 법칙, 신기루) 2021.10.28 - [2021 물리학1] - 세상을 설명하는 다른 언어, 파동(진폭, 파
gooseskin.tistory.com


무지개떡은 층마다 다른 색소가 들어있기 때문에 층마다 색깔이 다르지만, 혼탁한 비눗물을 불어서 만든 투명한 비눗방울이 무지개색으로 보이는 이유는 무엇일까? 그 답은 파동의 '간섭'에 있다.
학습 목표
파동의 간섭이 활용되는 예를 찾아 설명할 수 있다.
핵심 키워드 조직도

※학습 목표 및 핵심 키워드 조직도 분석
이번 시간에는 굴절 외에도 파동만이 갖는 특성인 '간섭'에 대해 공부한다. 더불어 빛이 간섭하는 사례를 통해 빛의 파동적 정체성을 다시 한번 확인한다.
입자는 서로 마주하며 운동하면 충돌을 하게 된다. 그러나 파동은 입자와 다르다.
입자와는 다른 역학적 특성을 보여주는 파동의 상호 작용에 대한 결과가 '간섭'이고, 이를 설명하는 파동역학에 대해 알아본다.
1. 파동은 왜 sin함수의 형태로 표현할까?


파동을 수학적으로 기술하기 위해 만든 '파동 방정식'의 해가 'sin함수'이기 때문이다.
물결파든 지진파든 줄 파동이든 모든 파동은 '파동 방정식'을 만족하며, 방정식의 해는 'sin함수' 형태를 띤다.
2. 파동의 중첩과 독립성
파동은 입자가 갖지 못하는 고유한 성질 두 가지(중첩과 독립성)를 가지고 있다.
입자와 파동, 각각 서로 만났을 때 일어나는 일?
| 입자의 충돌 | 파동의 중첩 |
| 두 야구공이 서로 충돌하면, 충돌 후 각 야구공의 속력과 운동 방향이 바뀌거나 에너지가 변한다. | 두 파동이 한 지점에서 만나면 서로 겹쳐 있는 동안은 파형이 변하지만, 떨어진 후에는 다시 원래의 파형이 되어 진행한다. |

파동은 중첩되지만 철저히 독립적이다.
두 파동이 겹칠 때 매질의 변위(y)는 그 점을 지나는 각각의 파동의 변위(y1, y2)의 합과 같다. 파동이 중첩되어도 원래 파동이 갖던 각각의 파장과 주기는 변하지 않는다. 그 이유는 파동은 철저히 독립적이기 때문이다. 따라서 각 파동은 자신의 속력을 유지한 채 다시 원래의 파형으로 돌아와서 각자 가던 길을 간다.
정리하면, 서로 다른 방향으로 이동하던 두 파동은 만나면 중첩됐다가 상대 파동에게 영향을 주지 않은 채 독립적으로 다시 가던 길을 간다.
이 때문에 두 파동이 만나면 '간섭' 현상이 발생한다.
3. 파동의 간섭
파동이 중첩하기 때문에 일어나는 현상을 '간섭'이라고 한다. '간섭'이란 파동이 중첩돼서 생긴 합성파가 원래 파동보다 진폭이 커지거나 작아지는 현상을 의미한다. 간섭은 두 종류가 있다.

| 보강 간섭 | 상쇄 간섭 |
| 진동수와 파장이 같은 두 파동이 마루와 마루, 골과 골이 만나도록 중첩되어 합성파의 진폭이 커지는 현상 >두 파동이 같은 위상으로 중첩되는 경우 |
진동수와 파장이 같은 두 파동이 마루와 골, 골과 마루가 만나도록 중첩되어 합성파의 진폭이 줄어드는 현상 >두 파동이 반대 위상으로 중첩되는 경우 |
'위상'이란 진동이나 파동처럼 주기적으로 반복되는 현상에서 한 주기 내에서 어떤 상태에 있는지를 나타내는 변수이다. 좀 더 쉽게 설명하면 파동이 전파할 때 위상이 같은 두 지점은 매질의 변위와 운동 상태가 동일하다. 더 쉽게 말하면 마루와 마루는 위상이 같고, 마루와 골은 위상이 반대다.
파동이 독립적인 이유를 수학적으로 증명 (TMI)


4. 소리의 간섭
어떤 지점에서 듣는지에 따라 소리의 크기가 달라진다. 소리의 크기는 파동의 진폭과 관련되어 있는 물리량이다. 즉 소리가 크게 들리는 곳은 진폭이 크므로 소리가 보강 간섭하는 지점이고, 소리가 작게 들리는 곳은 은 진폭이 작으므로 소리가 상쇄 간섭하는 지점임을 눈치채야 한다.
우리가 알기로는 위상이 동일한 두 파동은 보강 간섭을 일으키고 위상이 다른 두 파동은 상쇄 간섭을 일으킨다. 따라서 두 스피커에서 나오는 각각의 소리가 위상이 같다면, 보강 간섭만 일으켜야 한다. 그러나 두 개의 스피커에서 위상이 동일한 소리가 나온다고 보강 간섭만 하는 게 아니다. 상쇄 간섭도 한다.
그 이유는 무엇일까?

그 이유는 두 파원(스피커)으로부터의 경로차(두 파동이 한 지점에서 만날 때까지 이동한 거리의 차)에 따라 보강 간섭과 상쇄 간섭이 일어나기 때문이다. 아래 그림에서 확인할 수 있듯이 동일한 위상이었던 두 파동이 진행하는 이동 거리가 각각 다르면 한 지점에서 만날 때 위상이 다를 수 있다.

소음은 소음으로 지운다.

소리의 상쇄 간섭을 활용한 사례


5. 정상파

동일한 매질에서 진폭과 파장이 동일한 두 파동이 서로 반대 방향으로 진행하여 중첩된 결과, 어느 방향으로도 진행하지 않아 제자리에서 진동하는 것처럼 보이는 파동을 '정상파'라 한다.

보어 수소 원자모형의 정상 궤도
정상파의 마디 양 끝 부분은 역학적으로 차폐되어있기 때문에 공기나 외부 저항이 없는 이상적인 상황이라면 계속 같은 진동수와 진폭으로 진동하게 되는데, 이는 파동의 에너지가 소실되지 않는다는 것을 의미한다. 보어는 이러한 '정상파' 개념을 차용하여 수소 원자 모델을 비유했다.


관악기와 현악기에서의 정상파: 소리의 보강 간섭을 활용한 사례
팬파이프의 관이나 하프의 줄에서는 경계면에서 파동이 반사하여 관 내부나 줄에 정상파가 만들어진다. 이때 아래와 같은 경계면의 조건을 만족하는 파동만이 정상파를 이루므로, 정상파의 파장은 관이나 줄의 길이에 의해 결정된다.
| 팬파이프의 관 | 하프의 줄 |
| 경계면 끝이 열려 있어, 양 끝이 정상파의 배와 일치한다. | 경계면 끝이 고정되어 있어, 양 끝이 정상파의 마디와 일치한다. |
악기에 정상파가 발생하면 진폭이 커지므로 소리의 크기가 커진다. 따라서 악기는 소리의 보강간섭을 활용한 사례다.

관과 줄의 길이가 길수록 낮은 소리가 나는 이유를 댓글에 달아보자.
6. 빛의 간섭 - 영의 이중 슬릿 실험

만약 빛이 파동이 아니라 입자였다고 생각해보자. 그렇다면 빛은 입자처럼 직진만 하기 때문에 S1과 S2 광원과 수직으로 내려진 스크린 위치만 밝게 빛날 것이다. 하지만 실제 실험 결과 밝은 부분과 어두운 부분이 번갈아 나타나는 무늬가 나타났다. 이는 빛들끼리 간섭을 했다는 뜻이다. 영은 빛이 파동만이 갖는 특성인 '간섭'을 보인다는 걸 실험과 이론을 통해 증명함으로써 빛의 파동적 정체성에 힘을 실어주게 된다.
영의 이중 슬릿 실험을 파동의 간섭 관점에서 분석한다.
일단 하나의 슬릿을 지난 빛은 2개의 슬릿에 같은 위상으로 도달하게 된다. 즉 단일 슬릿은 빛을 결맞게 만든다. 이 빛들이 서로 중첩되면서 간섭하기 때문에 스크린에 밝은 무늬(보강 간섭)와 어두운 무늬(상쇄 간섭)가 규칙적으로 나타난다.

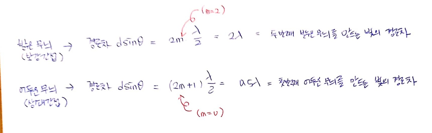
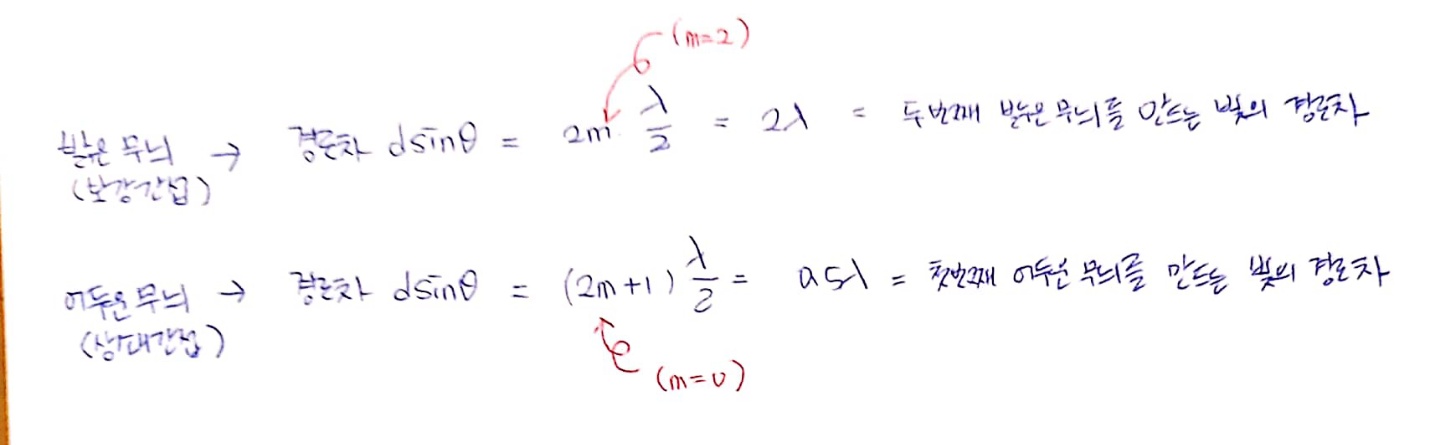
S1과 S2에서 나온 두 빛이 스크린 상의 한 무늬 지점(ex: m=2, 2차 밝은 무늬)까지 가는 데 이동한 경로의 차이가 'dsinθ'다. 이때 θ는 이중 슬릿의 중앙과 스크린 상의 한 무늬 지점(m=2, 2차 밝은 무늬) 간의 각도를 의미한다.
①차수 'm'으로 두 빛의 경로차를 찾기
S1과 S2에서 나온 두 빛이 스크린 상의 임의의 무늬까지 가는 데 이동한 경로의 차는 굉장히 다양할 텐데, 전에 공부했었듯이 같은 위상으로 진행하는 두 파동의 경로차가 반파장의 짝수 배일 때는 보강 간섭이 일어나고, 반파장의 홀수 배일 때는 상쇄 간섭이 일어난다.

| 밝은 무늬(보강 간섭) 차수 m | 어두운 무늬(상쇄 간섭) 차수 m |
| m=0 (중앙 밝은 무늬) | m=0 (첫 번째 어두운 무늬) -중앙 밝은 무늬에 바로 이웃함 |
| m=1 (첫 번째 밝은 무늬) | m=1 (두 번째 어두운 무늬) |
| m=2 (두 번째 밝은 무늬) | m=2 (세 번째 어두운 무늬) |

중앙 밝은 무늬로부터 두 번째 밝은 무늬가 생기는 지점(m=2, 밝음)은 두 빛의 경로차(dsinθ)가 '2λ'에 해당된다 말할 수 있다. 마찬가지로 첫 번째 어두운 무늬가 생기는 지점(m=0, 어두움)은 두 빛의 경로차(dsinθ)가 '0.5λ'에 해당된다.

②중앙에 밝은 무늬가 생기는 이유
중앙의 밝은 무늬가 나타나는 지점은 두 빛의 경로 길이가 같기 때문에 경로차가 0이 돼서 빛들끼리 보강 간섭을 일으킨다.
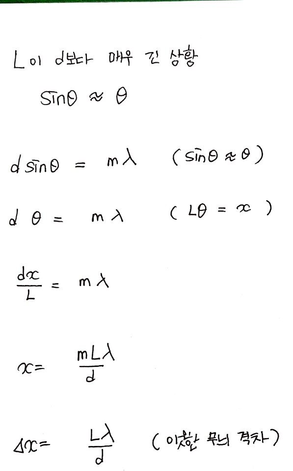
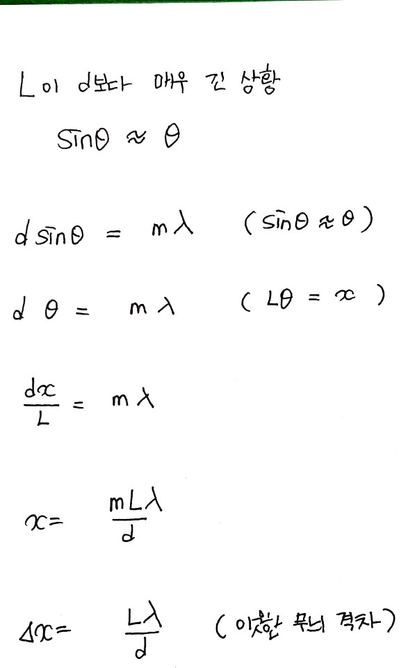
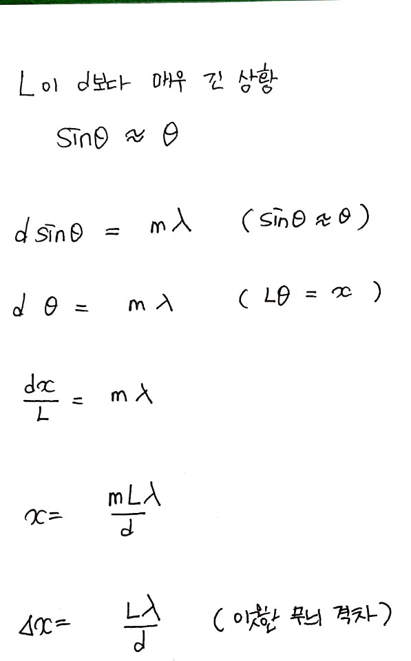
③이웃한 무늬 사이의 간격 구하기


식에 따르면 이웃한 무늬 간격은 이중 슬릿의 간격(d)과 스크린까지의 거리(L) 그리고 빛의 파장(λ)에만 영향을 받는다.
7. 빛의 간섭을 활용한 사례
①무반사 코팅 렌즈와 각도에 따라 색이 다르게 보이는 지폐의 홀로그램

1) 무반사 코팅 렌즈
렌즈에 코팅된 부분의 겉면에서 반사된 빛과 안쪽 면에서 반사된 빛의 경로차를 상쇄 간섭이 일어나는 두께로 코팅을 맞춰 제작하면 무반사 안경을 만들 수 있다.
2) 지폐 홀로그램
지폐를 보는 각도에 따라 잉크에서 반사되는 두 개의 빛의 경로차가 바뀌는데, 특정 경로차에서 보강 간섭을 일으키는 파장 값도 변하기 마련이므로 어떻게 보냐에 따라 숫자가 노란색으로 보이기도 하고(노란빛의 파장이 보강 간섭을 일으키는 경로차가 됨) 초록색으로 보이기도 한다.(초록빛의 파장이 보강 간섭을 일으키는 경로차가 됨)
②얇은 막에 의한 빛의 간섭


물 위에 뜬 기름막이나 비눗방울 막에서 보이는 무지개 색은 빛이 간섭하여 나타나는 현상이다. 이때 얇은 막의 겉면에서 반사된 빛과 안쪽 면에서 반사된 빛이 간섭하게 되는데, 막의 두께와 보는 각도에 따라 경로차가 달라지므로 보강 간섭하는 빛의 색깔이 달라진다.
③깃털과 같은 구조물에 의한 빛의 간섭


모르포 나비의 황홀한 푸른색은 어느 염료로도 구현할 수 없다. 이 유니크한 푸른빛의 비밀은 빛의 간섭에 있기 때문이다. 모르포 나비의 날개는 얇은 막들이 여러 겹으로 쌓여 있는 구조로 되어 있다. 이 격자 구조에서 빛들이 보강 간섭한 결과, 나비 날개를 보는 각도에 따라 푸른 빛의 명도와 채도가 바뀐다.
④분광기


모르포 나비에서 아이디어를 얻은 과학자들은 빛을 파장별로 분리하는 분광기를 발명했다. 여러 파장이 섞인 빛을 분광기에 통과시키면 빛의 파장과 보는 각도에 따라 보강 간섭 조건이 달라지므로, 빛이 분리되는듯한 현상을 볼 수 있다.

원자는 눈에 보이지 않을 정도로 매우 작지만, 분광기를 활용한다면 시각적으로 쉽게 구별할 수 있다.
각 원자마다 원자핵의 전하량이 다르고, 그에 따라 전자의 수도 제각각이다. 그러다 보니 원자마다 정상 궤도들의 상태가 천차만별이다. 따라서 원자마다 전자 궤도 전이 시 방출되는 빛이 해당 원자의 정체성을 시각적으로 여실히 드러내는 속성이 될 수 있다. 다시 말해 원자는 빛을 방출함으로써 자신의 정체성을 드러낸다.
다양한 원자가 방출하는 빛들을 솎아내고 정렬할 수 있어야 물질을 구성하는 원자의 종류를 판별할 수 있다. '분광기'가 그 역할을 하며, '간섭'을 통해 빛들을 솎아내고 정렬한다.

이처럼 원자의 선 스펙트럼을 통해 물질을 구성하는 다양한 원자의 종류들을 식별할 수 있다. 이를 활용해 신소재나 신약의 분자 구조, 별의 구성 물질 등을 연구할 수 있게 됐다.
8. 기출문제 풀어보기
22년도 9월 모평 물리 1 4번

답: 4번
22년도 6월 모평 물리1 15번

답: 2번
18년도 6월 모평 물리 2 15번/ 정답률 64%

답: 4번
21년도 9월 모평 물리 1 13번

답: 1번
'2021 물리학I 톺아보기' 카테고리의 다른 글
| 빛의 이중성과 광전효과 (8) | 2021.11.17 |
|---|---|
| 전자기파의 역사와 전자기파 스펙트럼 (0) | 2021.11.16 |
| 전반사와 광통신 (2) | 2021.11.10 |
| 파동의 굴절과 생각의 왜곡 (스넬의 법칙, 신기루) (0) | 2021.11.08 |
| 세상을 설명하는 다른 언어, 파동(진폭, 파장, 진동수, 매질) (72) | 2021.10.28 |