2024.08.14 - [2024 물리학I 톺아보기] - 보어 원자 모형 {원자 모형의 종류, 궤도 양자화, 수소 원자 선 스펙트럼}
보어 원자 모형 {원자 모형의 종류, 궤도 양자화, 수소 원자 선 스펙트럼}
2024.08.05 - [2024 물리학I 톺아보기] - 전하와 전기력 ① {쿨롱 법칙} 전하와 전기력 ① {쿨롱 법칙}물리학Ⅰ 전개도 뉴턴의 역학은 산업혁명의 기초가 되었고, 아인슈타인의 특수 상대성 이론은
gooseskin.tistory.com
물리학Ⅰ 전개도

판서 조직도

목표 기출 문제
18년도 9월 모평 물리 1 2번

답: 5번
13년도 3월 학평 물리1 8번

답: 5번
15년도 9월 모평 물리1 3번

답: 3번
1. 고체의 에너지 띠
1) 파울리 배타 원리

고체는 수많은 원자들이 결합된 구조입니다. 고체를 이루는 원자의 종류가 수소뿐이라는 극단적인 가정을 해볼게요. 그림에서 각각의 수소를 색깔로 비유 및 구분했는데, 수소 원자의 색깔과 상관없이 수소의 정체성은 동일합니다. 다시 말해 "수소가 검든 빨갛든 파랗든" 전자가 점유할 "궤도 양자수에 따른 에너지 준위"는 모두 "동일"해야만 하며, 이는 검은 수소, 빨간 수소, 파란 수소의 에너지 준위가 한 위치에서 겹쳐져야 함을 의미합니다. 그러나 실제로는 그림과 같이 에너지 준위가 한 위치에 겹쳐있지 않고 미세하게 떨어져 있습니다.

이를 설명하기 위해 파울리는 하나의 양자 상태에 하나의 전자만이 있을 수 있다는 파울리 배타 원리를 제안합니다. 파울리 배타 원리에 따르면 n개의 수소 원자가 서로 가까워질 때 에너지 준위는 한 곳에서 겹쳐지지 않고 미세하게 n개로 갈라집니다.

수많은 원자로 이루어진 고체에서는 각각의 전자가 점할 수 있는 궤도들이 상당히 많이 밀집하여 하나의 띠를 형성하게 되는데, 이를 허용된 띠라고 해요. 이 허용된 띠를 확대해 보면 수많은 궤도들 각각이 살짝씩 벌어져 있음을 볼 수 있습니다. 금지된 띠란 전자가 있을 수 없는 영역을 의미합니다. 이처럼 고체의 에너지 띠 간격과 에너지 띠에 전자가 채워진 정도가 복합적으로 작용하여 고체의 전기적 특성이 결정됩니다.
2) 고체의 전기 전도성과 에너지띠의 구조
① 부도체(=절연체)

부도체란 어지간해서 전기가 통하지 않는, 즉 전자가 이동하지 않는 물체예요. 전자들은 가장 낮은 에너지 준위부터 차례대로 채워지는데요. 이때 어떤 에너지 띠가 전자로 완전히 채워져 있다면 이 에너지띠를 원자가 띠라 하고, 전자가 덜 차있거나 비어있는 띠를 전도 띠라고 합니다. 이미 전자로 꽉 차 버린 원자가 띠 내에서는 전자가 전이하기 힘들겠죠? 만약 전자에 원자가 띠와 전도 띠의 에너지 간격(=띠 틈)을 뛰어넘을 수 있는 충분한 에너지를 공급한다면, 원자가 띠의 꼭대기에 있는 전자는 전도 띠로 넘어갈 수 있으며 그 전자는 전도 띠 내에서 자유롭게 전이할 수 있게 됩니다.
다이아몬드가 좋은 부도체인 이유는 다이아몬드의 띠 틈이 5.5eV로 매우 넓기 때문입니다. 띠 틈이 워낙에 넓기 때문에 전자의 원자가 띠에서 전도 띠로의 전이에 상온의 열에너지로는 택도 없습니다.
전자의 사회학, 파울리 배타 원리
전자가 배타적이지 않고 친화적이었다면 어땠을까요? 한 궤도에 여러 개의 전자가 위치할 수 있으므로 원자가 띠는 존재할 수 없습니다. 따라서 도체를 비롯한 모든 물질의 에너지 띠가 전도 띠가 되어버려 우리는 24시간 전기에 감전되는 끔찍한 상황에 놓입니다. 이를 고려한다면 사회성 박살난 전자, 오히려 좋아.
② 도체


그림과 같은 에너지 띠 구조를 갖는 고체를 도체라 합니다. 이 경우는 모두 상온의 열에너지로도 충분히 전자가 전이할 수 있으므로, 도체는 상온에서 전기가 잘 통합니다.
③ 반도체

반도체는 원자가 띠와 전도 띠 틈이 부도체의 경우보다는 좁기 때문에 상온에서 전자가 전도 띠로 전이될 여지가 있습니다.

이때 전자가 원자가 띠에서 전도 띠로 전이하면 원자가 띠에는 전자의 빈자리가 생기게 되는데 이를 양공이라 합니다.

전자가 이동하며 생긴 빈자리를 인접한 전자가 채우는 과정이 반복되며 전자들이 오른쪽으로 이동한다면 구멍은 그 반대, 왼쪽으로 이동하는 것과 같습니다. 구멍의 이동 방향이 "전자 이동 방향에 반대"이다 보니 이를 "양전하"에 매칭하여 양공(=양전하처럼 움직이는 구멍)이라 부르는 거예요.
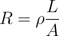
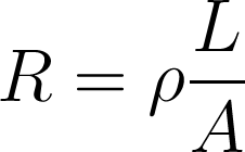
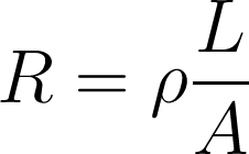
전기 전도도와 비저항의 관계
전류가 얼마나 잘 흐르는지를 나타내는 물질의 특성을 전기 전도성이라 하며, 물질의 전기 전도성을 정량적으로 나타내는 물리량을 전기 전도도 σ라 해요. 전기 전도도는 비저항 ρ의 역수와 같습니다. 비저항은 저항 R이 물체의 길이 L에 비례하고 단면적 A에 반비례한다는 관계식의 비례 상수입니다.

아래 그림은 물질을 전기 전도도에 따라 분류한 것입니다.

이처럼 물질은 전기적 성질에 따라 도체, 반도체, 부도체로 분류됩니다. 왜 다이아몬드는 부도체이고, 구리는 도체이며, 규소는 반도체인지 설명하는 건 고체의 에너지 띠 이론입니다.
전기 전도도와 온도의 관계

도체는 온도가 높을수록 비저항이 커집니다. 그 이유는 도체를 구성하는 원자의 진동이 온도가 높을수록 격렬해져서 전자가 이동하는 걸 방해하기 때문입니다. 반면 반도체는 온도가 높을수록 비저항이 작아집니다. 온도가 높을수록 열에너지가 커서 원자가 띠의 전자가 전도 띠로 전이하기 쉽기 때문이죠. 비저항과 전기 전도도는 역수 관계이기 때문에 도체는 온도가 높을수록 전기 전도도가 작아지고, 반도체는 온도가 높을수록 전기 전도도가 커집니다.
2. 원자 구조와 에너지 띠 구조로 살펴보는 반도체
1) 원자 구조로 살펴보는 반도체
위에서는 반도체를 에너지 띠 구조로 살펴보았습니다. 이제 반도체를 원자 구조로 살펴볼게요.

규소 원자 내의 14개 전자는 왼쪽 그림과 같이 가장 낮은 에너지 준위부터 차례대로 채워갑니다. "가장 바깥쪽 궤도"에 존재하는 4개의 전자는 "비교적 원자핵으로부터 자유"롭다 보니 "화학 결합의 참여가 쉬운 상태"인데요. 이런 전자를 원자가 전자라고 합니다. 순수한 반도체인 저마늄(Ge), 규소(Si) 원자 모두 원자가 전자를 4개 가지고 있습니다.

공유 결합
수소 분자 H2를 생각해봅시다. 이것은 두 개의 수소 원자가 결합한 것이에요. 수소 원자 두 개가 가까워지면, 두 개의 원자핵과 두 개의 전자가 만드는 새로운 양자 상태가 생깁니다. 쉽게 말해서 양자 역학으로 풀어봐야 안다는 말이죠. 비유하자면 수소 원자들이 충분히 가까워지면 두 수소 원자 사이에 순간이동 통로가 생깁니다. 그래서 사실상 두 수소는 하나의 수소가 되었다고 볼 수 있어요. 따라서 전자는 두 수소 모두에 존재하게 됩니다. 이렇게 두 원자는 하나가 되는 거예요. 이를 공유 결합이라 합니다. 나와 친구가 각각 수박을 하나씩 가지고 있는데, 서로 상대 수박을 가져오려 한다면 우리 두 사람은 수박 두 개를 공동으로 소유하게 되는 거와 같죠.
각각의 규소 원자의 원자가 전자는 인접한 규소 원자의 원자가 전자들과 공유 결합을 하여 결정을 이루게 되는데, 이 결정이 바로 순수한 반도체입니다. 순수한 반도체의 전기 전도도는 거의 부도체에 가까워요. 다시 말해 순수한 반도체는 전자 제품으로써 상품적 가치가 떨어집니다. 어떻게 하면 반도체의 전기 전도성을 좋게 할 수 있을까요? "전기 전도성을 올린다"는 것은 "전하의 유동성을 늘린다"는 걸 의미해요. 따라서 순수한 반도체에 다른 물질을 주입하면 전하의 유동성이 늘어납니다.
2) 불순물 반도체
① n형 반도체, 전자가 양공보다 많음

Si, 규소 결정에 원자가 전자가 5개인 안티모니 Sb를 주입하면, Sb의 전자 4개는 각각 이웃한 Si 원자가 전자와 공유 결합을 하고, 남은 1개의 잉여 전자는 결합할 짝이 없어서 자유롭게 돌아다닐 수 있는 자유 전자가 됩니다. 여러 개의 Sb 원자를 첨가하면 자유 전자의 수는 그만큼 많아지는 거고 그에 따라 전기 전도성이 좋아지겠죠?

잉여 전자들은 전도 띠 바로 아래의 에너지 준위(=주개 준위)를 점하기 때문에 전도 띠로 쉽게 전이할 수 있습니다. 그러다 보니 전도 띠에 전자의 개수가 많아져요. Si의 원자가 띠에서 넘어온 전자에 Sb의 잉여 에너지 주개 준위에서 넘어온 전자를 포함한 만큼 많죠. 이렇게 불순물 주입으로 인해 양공보다 전자가 많은 반도체를 n형 반도체라고 합니다.
② p형 반도체, 양공이 전자보다 더 많음

Si, 규소 결정에 원자가 전자가 3개인 붕소 B를 주입하면, B의 전자 3개는 각각 이웃한 Si의 원자가 전자 3개와 공유 결합을 합니다. 그러나 나머지 Si의 원자가 전자 1개는 공유 결합할 전자가 없기 때문에 양공이 생기죠. 양공을 주변의 전자가 채워가는 과정은 곧 양전하의 이동과 같고, B를 많이 주입할수록 양공의 수가 많아지기에 전기 전도성이 좋아집니다.

양공이 많으려면 구조적으로 원자가 띠 바로 위에 에너지 준위(=받개 준위)가 생겨야 합니다. 그래야만 원자가 띠의 전자가 쉽게 전이하면서 원자가 띠에 양공을 남겨둘 수 있죠. Si의 전자가 Si의 전도 띠로 이동하면서 남긴 흔적에 Si의 전자가 B가 만든 원자가 띠 바로 위의 에너지 받개 준위로 이동하면서 남긴 흔적이 추가된 만큼 양공이 많아집니다. 이렇게 불순물 주입으로 인해 전자보다 양공이 많은 반도체를 p형 반도체라고 합니다.
바람의 빛깔 - 오연준

아메리카를 개척하기 위해 바다 건너온 영국인과 아메리카 원주민 포카혼타스의 사랑. 다소 부침을 겪지만 그들의 사랑은 이주민과 원주민을 화합으로 이끌게 되고, 이야기는 해피엔딩으로 마무리돼요.
https://www.youtube.com/watch?v=RDtvoUZ4kD0
혼자 가면 빨리 가고, 함께 가면 멀리 간다
반도체는 전자 기기에 들어가는 부품이다 보니 전류가 흘러야 될 거 같긴 하고, 뭔가 이름이 '반'도체라서 도체에 비해 전류가 약하게 흐르거나 절반만 흐를 거 같은 느낌입니다. 하지만 규소처럼 순수한 반도체의 전기 전도도는 거의 부도체에 가까워요. 그렇기 때문에 순수한 반도체는 그 자체만으로는 상품의 가치가 없습니다. 순수한 반도체는 다른 것과 섞이고 나서야 가치를 발휘합니다. 이처럼 서로 다른 것들끼리 어우러져 하나가 된다는 것은 순수 그 이상의 가치를 누릴 수 있음을 뜻합니다.


서로 다른 것들끼리의 화합이 낳은 반도체. 그로 인해 탄생한 IT 기술은 초연결 네트워크 시대를 열었습니다. 그렇기에 현대 사회는 우리에게 경쟁을 통한 생존보다는 협업을 통한 공존을 요구합니다.

무한한 정보와 기술에도 불구하고 효과적으로 대처하기 어려운 불확실성이 커져가는 시대입니다. 인류에게는 대유행 감염병, 대규모의 재난, 기후변화, 환경오염 등 수많은 도전이 기다리고 있습니다. 서로 의심하고 증오하기보다 신뢰하고 나누는 공동체 의식으로 연대할 때 인류는 생존하고 번영할 수 있습니다.
'2024 물리학I 톺아보기' 카테고리의 다른 글
| 전류가 만드는 자기장 {암페어 법칙} (2) | 2024.09.10 |
|---|---|
| 에너지 띠 이론과 반도체 ② {pn접합, 전기 회로 분석} (4) | 2024.08.27 |
| 보어 원자 모형 {원자 모형의 종류, 궤도 양자화, 수소 원자 선 스펙트럼} (2) | 2024.08.19 |
| 전하와 전기력 ② {기출문제 풀이} (1) | 2024.08.13 |
| 전하와 전기력 ① {쿨롱 법칙} (0) | 2024.08.08 |